Материал: Russian Journal of Building Construction and Architecture

Внимание! Если размещение файла нарушает Ваши авторские права, то обязательно сообщите нам

Russian Journal of Building Construction and Architecture

The aim of this paper is to validate the use as a concrete filler of the waste from the drying process of the aggregate used in the manufacture of hot-mix asphalt (HMA). According to the standard NF P 98-728-1 [7], this material is called recovery filler (RF). After the drying process of the aggregate in a rotating drum with the temperature generally in the range of 150 °C to 180 °C, RF is retained by bag house filters to control its emission [8, 9]. It should be noted that a part (3––4 %) of this RF is stored in a silo for later use in the manufacturing of HMA [7, 10] because the asphalt mixture is a combination of aggregate, asphalt binder, and filler [11]. The majority of the RF, however, is introduced into water to prevent its dispersal into the air because the official journal of the Republic of Algeria No. 24 limits dust values in the manufacture of HMA to 100 mg/m3. In addition, if the production plant has their own quarry, RF may be deposited as illegal filling, resulting in environmental and health problems [10]. In 2017, 3 million tonnes of asphalt mix was produced in Algeria, with an estimated generation of RF of over 120.000 tonnes. These facts have guided us to reflect on the use of RF in the manufacture of concrete.

1. Existing studies. Several research programs have been carried out to study the properties of concrete and HMA mixtures using the mineral filler. The mineral filler is comprised of particles with a physical size that passes through a sieve with a pore diameter of "75µm" [12]. Researchers [3, 11, 13] have demonstrated that the use of filler in foam concrete improves the compressive strength and increases the stiffness modulus of HMA mixtures. Several studies [3, 4, 14] have demonstrated that the type of filler material used can influence properties of both fresh and hardened concrete. Joudi-Bahri et al. [4] have demonstrated that limestone filler gives composite a more homogeneous bond. Bederina et al.’s [15] research has indicated that adding limestone fillers improves the workability and mechanical strength of concrete and reduces dimensional variations. It has also been reported [16] that a higher strength is obtained with the use of filler, as the resulting mix has smaller air voids. Researchers [17] have found that the use of 7––10 % of mineral filler improves the properties of concrete. Al Shamaa et al. [18] have concluded that the use of limestone filler increases the swelling of concrete.

On the other hand, researchers [19] have shown that when the sand grading is kept nearly invariable, the filler properties are important factors for concrete workability. The study of [8] investigated the effect of RF from HMA plants on the mechanical behavior of selfcompacting concrete. The studies [19] reported that the use of RF decreases the compressive strength, flexural strength, splitting tensile strength, and static modulus of elasticity of selfcompacting concrete due to the large particle size of the RF.

However, in [10] it was found that it was possible to obtain a high durability of selfcompacting concrete with RF in terms of resistance to attack of aggressive agents such as car-

60

Issue № 3 (43), 2019

ISSN 2542-0526

bonate ions, sulfate, and chloride. Other authors [20, 21] have reported that the use of superplasticizers in concrete reduced water demand and improved slump, thus increasing the mechanical strength of the concrete. This could be explained by the stabilities of ettringite varying in the presence or absence of superplasticizers [22].

Several studies [23, 24] have examined the freeze-thaw resistance of concrete produced with fine recycled aggregates. Their findings show that freeze-thaw resistance is affected more by the water/cement (W/C) ratio than by the type of aggregate used and that air entrainment has a positive effect on improving concrete resistance.

2. Characterization of Materials

2.1. Cement. This study used commercial Portland (CEM II) class 42.5 MPa cement from the Hamma Bouziane factory (Constantine, Algeria). The chemical and physical characteristics of this cement are presented in Table 1. The potential mineralogical composition of the cement was calculated according to the empirical formula of Bogue [25].

 

 

 

 

 

 

 

 

 

 

 

 

Table 1

 

 

Chemical and physical characteristics of Portland cement CEM II 42.5

 

 

 

 

 

 

 

 

 

 

 

 

 

 

 

 

Chemical composition

 

 

 

Bogue composition

 

 

 

 

 

 

 

 

 

 

 

 

 

SiO2

Al2O3

 

Fe2O3

CaO

 

SO3

MgO

C3S

C2S

C3A

 

C4AF

27.83

6.21

 

3.12

57.22

 

2.02

0.94

56.6

22.98

9.87

 

8.25

 

 

 

 

 

 

 

 

 

 

 

Insoluble

residue =

2.28 %; Loss on ignition = 2.41 %; Fineness

= 3891 cm2/g; Specific

density

= 3824 kg/m3

2.2. Water.This study used tap water from a civil engineering research laboratory at the University of Constantine 1. Its quality conformed to the requirements of standard NFP 18-404. The chemical compositions of the water are presented in Table 2.

Table 2

 

Chemical compositions of water

 

 

 

 

Concentration in water (mg/l)

 

 

 

Insoluble residue

 

neglected

 

 

 

Dissolved salts

 

1469

 

 

 

Sulfates (SO4-2 )

 

411.68

Chlorides (Cl- )

 

299.01

pH

 

7.8

 

 

 

Calcium (Ca+2)

 

36

Magnesium (Mg+2)

 

60

Bicarbonates (HCO3 -)

 

26

Carbonates (CO3-2)

 

3.4

61

Russian Journal of Building Construction and Architecture

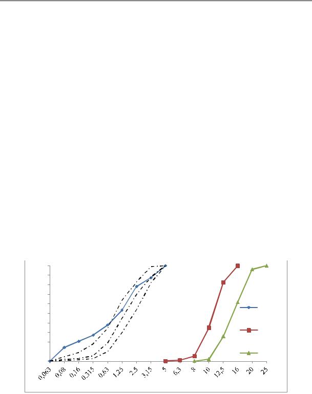
2.3. Crushed Sand. The crushed sand used (0/5 mm) in this study was from Constantine (ENG de Khroub). The chemical and physical properties of the sand are presented in Table 3 (they were measured using the standards of NF P18-553, NF P18-555, NF P18-560, NF P18-597, and NF P18-598). The grading curves of the different sands are given in Fig. 1.

 

 

 

 

 

 

 

 

 

 

 

Table 3

 

 

 

Chemical and physical properties of sand

 

 

 

 

 

 

 

 

 

 

 

 

 

 

 

 

 

 

 

 

Chemical composition

 

 

 

 

 

 

 

 

 

 

 

 

 

 

 

 

SiO2

Al2O3

Fe2O3

 

CaO

SO3

MgO

 

K2O

TiO2

 

Na2O

0.05

0.03

0.02

 

56.03

0

0.19

 

0.03

0.008

 

0.06

 

 

 

 

 

 

 

 

 

 

 

Loss on ignition = 43 %; Specific density = 2500 kg/m3; Apparent density = 1810 kg/m3;

 

 

Sand equivalent = 65 %; Fines content = 14 %; Fineness modulus = 2.8

 

 

 

 

 

 

 

 

 

 

 

 

 

2.4. Gravel. We used fractions of crushed stone (8/16 and 16/25 mm) from Constantine (National Company of Aggregates: ENG) with the apparent density of 1558.5 kg/m3, specific density of 2550 kg/m3, and coefficient of Los Angeles of 26.84% (hard). The properties were measured using standards NF P18-560, NF P18-554, and NF P18-573. The grading curves of the gravel used are given in Fig. 1.

Fig. 1. Grading curves of gravel and crushed sand compared with the normalized curve

2.5. Superplasticizer. The superplasticizer used in this study belonged to the polycarboxylate group and was supplied in liquid form. Superplasticizer was added at the dosage of 1.6 % of the cement mass. This proportion was determined to be the optimal dosage after comparison of concrete mixes with others dosages (0.8 %, 1.2 %).

62

Issue № 3 (43), 2019

ISSN 2542-0526

2.6. Recovery Filler. We used fine particles which are available at HMA plants. In our case the fines were obtained from the HMA plants of El-Djzira and El-Arabiya. This RF is obtained from drying of sand and stone in a rotating drum at the temperatures between 150 °C and 180 °C. The chemical composition, physical properties and grading curve of the RF are presented in Table 4 and in Fig. 2.The significant findings to note are the presence of high percentages of SiO2 and CaO, which exceeds 20 % and 44 %, respectively.

 

 

 

 

 

 

 

 

 

 

 

 

Table 4

 

 

Chemical and physical properties composition of recovery filler (%)

 

 

 

 

 

 

 

 

 

 

 

 

 

 

 

 

SiO2

Al2O3

 

Fe2O3

 

CaO

K2O

SO3

Cl

 

Na2O

 

MgO

20.53

7.32

 

1.53

 

44.67

0

1.66

0.05

 

0.1

 

1.88

 

 

 

 

 

 

 

 

 

 

 

Loss on ignition

= 14.42 %; Apparent density = 1180 kg/m3; Specific density = 2290 kg/m3;

 

 

 

 

 

Concentration of zinc = 52.64 mg / l

 

 

 

 

 

 

 

 

 

 

 

 

 

 

 

 

 

 

Fig. 2. Comparison of the grading curves of the crushed sand (CS) and recovery filler (RF) and comparison with the normalized curve

3. Characterization of RF with Aphelion Lab 4.4 and Astra 1.6 Software Packages. The present section assesses the output values that characterize the RF (compactness, elongation, fill ratio and average diameter) obtained with the Aphelion Lab 4.4 and Astra 1.6 software packages. The microscopic morphology of the RF particles from a scanning electron microscopy (SEM) image is displayed in Fig. 3. After opening the SEM image with Aphelion Lab 4.4, output values characterizing the RF were obtained. These are presented in Fig. 4 and 5 as well as in Table 5. We also used the Astra 1.6 software package for segmentation and measurement of average diameters. These results are given in Fig. 6.

63

Russian Journal of Building Construction and Architecture

Fig. 3. Scanning electron microscopy image displaying the morphology of different recovery fillers

Fig. 4. Calibration and segmentation with Aphelion Lab 4

Fig. 5. Object extraction with Aphelion Lab 4.4

 

 

 

 

Table 5

 

Aphelion Lab 4.4 output values that characterize the recovery filler

 

 

 

 

 

Fill ratio

 

Compactness

Elongation

 

 

 

 

0.02227792

Minimum

0.00271151

0

 

 

 

 

 

1

Maximum

1

1

 

 

 

 

 

0.67028283

Mean

0.74014221

0.46348306

 

 

 

 

 

0.17674155

Std. Dev.

0.24593266

0.36963823

 

Analysis of the measurement file obtained with Astra 1.6 allowed us to determine the average diameters to be 1.22 μm. The results also showed that the RF had excellent compactness and a good fill ratio despite the poor state of the particle shape. This was attributed to the small diameter of the grain.

64