Таблица 3
Окраска продуктов реакции препаратов стероидных гормонов концентрированной серной кислотой (МФ и ЕФ)
|
После добавления концентриро- |
||
Лекарственное |
ванной серной кислоты |
||
вещество |
окраска |
флюоресцен- |
|
|
ция |
||
|
|
||
Дексаметазон |
красно-коричневая |
нет |
|
Гидрокортизон |
красно-коричневая |
зеленая |
|
Кортизона ацетат |
желтая |
нет |
|
Преднизон |
желтая |
синяя |
|
Преднизолон |
красная |
красно- |
|
коричневая |
|||
|
|
||
|
|
|
|
Дезоксикортикор- |
желтая |
нет |
|
тона ацетат |
|||
|
|
||
Этинилэстрадиол |
оранжево-красная |
зеленая |
|
|
|
|
|
Местранол |
красная |
зеленовато- |
|
желтая |
|||
|
|
||
|
|
|
|
Ципротерона ацетат |
красная |
нет |
|
После добавления воды
окраска
нет
нет
нет
нет
серый хлопьевидный осадок
голубая
фиолетовая
розовая, розовый или фиолетовый осадок
фиолетовая
флюоресценция
нет
нет
нет
нет
желтая
красная
нет
нет
нет
Таблица 4
Окраска продуктов реакции препаратов стероидных гормонов концентрированной серной кислотой (ГФ XI)
Лекарственное |
После добавления концентри- |
После добавления воды |
|||
рованной серной кислоты |
|
|
|||
вещество |
|
|
|
|
|
окраска |
флюорес- |
окраска |
флюорес- |
||
|
|||||
|
ценция |
ценция |
|||
|
|
|
|||
Этинилэстрадиол |
оранжево- |
желто-зеленая |
оранжево- |
желто- |
|
|
красная |
|
красная |
зеленая |
|
Метандриол |
желто- |
зеленая |
желто- |
слабо |
|
оранжевая |
оранжевая |
зеленая |
|||
|
|
||||
Метилтестостерон |
оранжевая |
нет |
желто- |
зеленая |
|
оранжевая |
|||||
|
|
|
|
||
Метандиенон |
красная |
нет |
– |
– |
|
Кортизона ацетат |
желтая |
желтая |
– |
– |
|
Преднизон |
зеленовато- |
желто- |
– |
– |
|
желтая |
зеленая |
||||
|
|
|
|||
Преднизолон |
|
нет |
– |
– |
|
Гидрокортизона ацетат |
желтая → |
зеленая |
– |
– |
|
|
красная |
|
|
|
|
|
|
36 |
|
|
|
Таблица 5
Окраска продуктов реакции препаратов стероидных гормонов с концентрированной серной кислотой в хлороформе по ГФ XI
|
После добавления воды |
После добавления хлоро- |
|||
Лекарственное |
форма |
||||
|
|
||||
|
|
|
|
||
вещество |
|
|
|
|
|
окраска |
флюоресцен- |
нижний слой |
верхний |
||
|
|||||
|
|
ция |
|
слой |
|
Прогестерон |
желтая |
зеленая |
б/цв |
б/цв |
|
|
|
|
|
|
|
Этистерон (прегнин) |
малиновая |
зеленая |
оранжевый |
б/цв |
|
|
|
|
|
|
|
Дезоксикортикортона ацетат |
вишневая |
зеленовато- |
желтый |
зеленый |
|
коричневая |
|||||
|
|
|
|
||
|
|
|
|
|
|
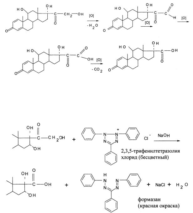
Характерной реакцией идентификации 3-кетогруппы андрогенов, гестагенов и кортикостероидов служит реакция присоединения – элиминирования при взаимодействии с аминами в кислой среде с последующим измерением температуры плавления выделившегося осадка или образованием окрашенного продукта реакции. В качестве реактивов ГФ рекомендует использовать:
–гидроксиламина гидрохлорид (образуются осадки белого цвета)
–оксим этистерона – tпл = 226–232 °С
–оксим тестостерона пропионата – tпл = 166–171 °С
–оксим метилтестостерона – tпл = 210–216 °С;
–2,4-динитофенилгидразин (образуются осадки оранжево-красного
цвета)
–3,20-бис-2,4-динитрофенилгидразон прогестерона – tпл =
= 270–275 °С;
–2,4-динитрофенилгидразон метандиенона;
–фенилгидразин (образуются осадки желтого цвета)
–фенилгидразон преднизолона
–фенилгидразон преднизона.
Фенольное кольцо А эстрогенов обнаруживают по реакции этерификации с бензоилхлоридом, например, этинилэстрадиола бензоат имеет температуру плавления 199–202 °С.
Из цветных реакций на фенольный гидроксил чаще всего используется реакция азосочетания с солями диазония, полученными на основе сульфаниловой кислоты, 3-нитроанилина, сульфатиазола и др.
37
Полученный азокраситель в щелочной среде имеет вишнево-красную окраску, а в нейтральной или слабокислой среде этот продукт представляет собой оранжево-красный осадок.
Для идентификации эстрадиола или эстрадиола бензоата (ЕФ) по 1 мг препаратов смешивают с 0,5 мл свежеприготовленного раствора молибдата аммония в концентрированной серной кислоте (реактив Фреде), появляется голубое окрашивание с интенсивной зеленой флюоресценцией в УФ-свете или желтовато-зеленое окрашивание с интенсивной зеленой флюоресценцией соответственно. После добавления 1 мл концентрированной серной кислоты и 9 мл воды окраска растворов изменяется в розовую с желтоватой флюоресценцией.
Этинильный фрагмент в структуре этинилэстрадиола, прегнина и норэтистерона обнаруживается по реакции солеобразования с ионами серебра за счет подвижного атома водорода:
При использовании в качестве реактива аммиачного раствора нитрата серебра (ЕФ) и нагревании на водяной бане выпадает белый осадок ацетиленида серебра, который при дальнейшем нагревании переходит в серый, а затем на стенках пробирки образуется «серебряное зеркало».
38
α-Кетольная группа (20-кето-21-гидроксигруппа) кортикостероидов проявляет восстановительные свойства и идентифицируется с помощью реактивов Фелинга, Несслера и Толленса, реакция протекает по схеме:
Реакция с 2,3,5-трифенилтетразолия хлоридом и тетразолиевым синим в щелочной среде также основана на восстановительных свойствах α-кетольной группы. ФС и ЕФ рекомендуют использовать ее для идентификации и количественного фотоколориметрического определения флюоцинолона ацетонида и триамцинолона в субстанции и лекарственных формах:
39
Глюкокортикоиды можно определить также реакцией с фенилгидразином в присутствии серной кислоты по появлению желтой окраски раствора.
Ковалентносвязанный фтор фторкортикостероидов (дексаметазон, бетаметазон, триамцинолон и др.) открывают по реакции с ализаринатом циркония после минерализации молекулы со спекающей смесью (KNО3-, Na2CО3).
40