Материал: Preparaty_-_proizvodnye_tsiklopentanpergidrofenantrena__1

Внимание! Если размещение файла нарушает Ваши авторские права, то обязательно сообщите нам

 

 

Окончание табл. 6

1

2

3

 

Гестагены

 

Прогестерон

241

535

Медроксипрогестерона

241

426

ацетат

 

 

Ципротерона ацетат

282

414

 

Кортикостероиды

 

Дезоксикортикостерона

240

450

ацетат

 

 

Кортизона ацетат

237

395

Гидрокортизон

241,5

448

Гидрокортизона ацетат

241

395

Преднизон

238

425

Преднизолон

243,5

415

Дексаметазон

238,5

394

Бетаметазон

238,5

395

Триамцинолон

238

380

 

Эстрогены

 

Эстрадиола бензоат

231

500

Широкое применение в фармацевтическом и биоклиническом анализе стероидных гормонов находит фотоколориметрия, которая до использования в анализе стероидов хроматографии была единственным достаточно селективным и чувствительным методом анализа стероидных гормонов.

В количественном анализе кетостероидов (андрогены, анаболики, гестагены, кортикостероиды) используют два важнейших метода.

1. Метод с использованием гидразида никотиновой кислоты

(ГИНК) основан на реакции конденсации препарата в растворе метанола, содержащем хлористоводородную кислоту. Для стероидов, содержащих 4- 3-кетогруппы, реакция протекает в течение 20 мин при комнатной температуре. 1,4-3-кетостероиды менее реакционно-способны, поэтому определение проводят при нагревании до 50 °С в течение 1 часа или повышают концентрацию ГИНК.

Преимущества данного метода заключаются в том, что окраска раствора не зависит от природы используемого растворителя (этанол, хлоро-

46

форм и др.) и только для низкодозированных масляных растворов необходимо отделять масло на хроматографической колонке с флорисилом.

Метод ГИНК является унифицированным методом определения кетостероидов в лекарственных формах. ГФ IX использует данный метод для количественного определения преднизолона и гидрокортизона в мазях (ФС

42-3305-96 и ФС 42-1961-96 соответственно).

2. Метод Циммермана основан на взаимодействии 17-кетогрупп стероидных гормонов (эстрон, метаболиты тестостерона) с 1,3-динитро- бензолом в щелочной среде.

Необходимым условием протекания реакции является удобное стерическое расположение кетогруппы по соседству с метиленовой группой. В реакцию не вступают 4-3-кетостероиды и 21-незамещенные-20-кетосте- роиды. Метод Циммермана широко применяется в клиническом анализе для определения 17-кетостероидов в моче.

При фотоколориметрическом анализе эстрогенов находят применение цветные реакции на фенольное кольцо А:

реакция азосочетания с диазотированными сульфаниловой кислотой, 3-нитроанилином, сульфатиазолом и другими ароматическими амина-

ми (λ = 540–550 нм);

реакция нитрования ароматического кольца (λ = 400–435 нм);

реакция восстановления молибдовольфрамофосфата (реактив Фолина) до окрашенного в синий цвет комплекса ((λ = 760 нм);

реакция образования индофенолового красителя с реактивом Гиб-

бса (λ = 540 нм).

Гораздо большее значение в фармацевтическом фотоколориметрическом анализе эстрогенов имеет более чувствительный метод Кобера и его модификации, основанный на взаимодействии препаратов с минеральными

47

кислотами, в основном серной, или их растворами в различных растворителях (вода, этанол, метанол).

Основная роль кислоты заключается в дегидратации молекулы эстрогена с образованием двойной связи (связей), которые мигрируют к фенольному кольцу А. В ходе этого процесса метальная группа при С13 мигрирует в положение С17, кроме того, происходит сульфирование кольца А при С2. Окраска образующихся продуктов может возникать вследствие протонирования в сильно кислой среде, что приводит к образованию ионов карбонила, способных к резонансу. Вторая стадия метода Кобера носит окислительновосстановительный характер. В результате удлинения π-электронной системы в спектре окрашенного комплекса наблюдается батохромный сдвиг.

Данный метод широко применяется в анализе низкодозированных гормональных препаратов, содержащих этинилэстрадиол и местранол, так как эстрон, эстрадиол и гестагены не вступают в реакцию с серной кислотой в этих условиях.

Несмотря на удовлетворительную чувствительность и селективность реакции с участием реагентов, содержащих серную кислоту, разбавленную этанолом, а также простоту методики, в биофармацевтическом анализе чаще применяют более длительные двухстадийные реакции, обладающие еще более высокой чувствительностью и селективностью, с участием реагентов, содержащих серную кислоту, воду и различные добавки.

Первая стадия основана на классической методике Кобера – пробу лекарственной формы, содержащей эстроген, смешивают с 65 % раствором серной кислоты с добавкой фенола и нагревают – образуется продукт желтого цвета (λ = 450–500 им). На второй стадии смесь разбавляют водой до 40–50 % концентрации серной кислоты и вновь нагревают, окраска переходит в розовую (λ = 560 нм). Вместо фенола можно использовать гидрохинон. Другим важным вариантом метода Кобера является методика Хенни, предложившего реактив, содержащий, помимо серной кислоты, фенола и воды, еще и сульфат железа (III). Присутствие ионов Fe+3 повышает скорость развития окраски и ее стабильность. Метод Хенни включен в Фармакопею США для анализа эстрогенов и их конъюгатов в биожидкостях.

Для фотоколориметрического анализа кортикостероидов предложено множество методик, но основными в фармацевтическом анализе являются следующие.

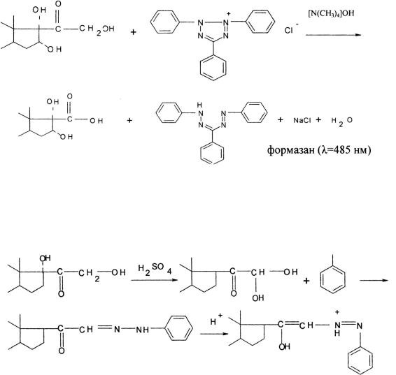
1.Метод с использованием солей тетразолия рекомендован МФ III

иявляется основным методом анализа субстанций и лекарственных форм глюкокортикоидов и минералокортикоидов.

Ниже представлено уравнение химической реакции между α-кетоль- ной группой кортикостероидов и хлоридом трифенилтетразолия с образованием окрашенного формазана (Е1%1см = 400–405). Реакция 21-эфиров кор-

48

тикостероидов с солями тетразолия протекает медленно, поэтому необходимо провести предварительный гидролиз в щелочной среде. 11-кетопроиз- водные более реакционно-способны, чем 11β-производные. Основным недостатком реакции с солями тетразолия является влияние кислорода воздуха, вследствие чего ее следует проводить в атмосфере азота.

ЕФ рекомендует использовать данный метод для количественного определения флюоцинолона ацетонида в субстанции.

2. Метод Портера – Зильбера используется для анализа глюкокортикоидов в моче и других биопробах, так как в реакцию окисления фенилгидразином в присутствии серной кислоты вступают только 17α-гидрокси- производные:

Для всех классов стероидных гормонов известны методики спектрофлюориметрического количественного определения. В связи с высокой чувствительностью этот метод чаще всего используется для анализа содержания стероидных гормонов и их метаболитов в биологических объектах.

Из всех классов стероидных гормонов собственной флюоресценцией обладают только эстрогены, в структуре которых присутствует ароматическое кольцо А. Максимум возбуждающего излучения эстрогенов и их про-

49

стых эфиров находится около 284 нм, а максимум испускания лежит в области 310–327 нм. Низкая интенсивность флюоресценции эстрогенов и малые длины волн возбуждения и испускания ограничивают возможности данного метода. Как правило, эстрогены переводят во флюоресцирующие производные с помощью химических реакций, например, с дансилхлоридом в щелочной среде:

У образующегося дансил производного максимум возбуждающего излучения находится в области 346–366 нм, а максимум спектра испускания – 502–525 нм. Данный метод рекомендован Британской фармакопеей (1980) для количественного анализа этинилэстрадиола в таблетках.

Появление окраски при взаимодействии стероидных гормонов с сильными минеральными кислотами (серной, фосфорной, трихлоруксусной и др.) обычно сопровождается флюоресценцией, это явление используется как для качественного, так и для количественного анализа. Флюоресценция под действием серной кислоты в присутствии этанола применяется для определения эстрогенов в низкодозированных лекарственных формах.

В основе флюориметрического определения метилтестостерона и метандиенона в таблетках лежит реакция с серной кислотой и 80%-ной фосфорной кислотой с добавлением трихлоруксусной кислоты соответственно.

Известны методики спектрофлюориметрического определения глюкокортикоидов в биопробах, основанные на образовании флюоресцирующих производных в присутствии серной кислоты и этанола. Максимумы возбуждения кортикостероидов находятся при длинах волн 470–780 нм, а максимумы испускания – 530–540 см.

5.2.3. Поляриметрия

Все стероидные гормоны являются оптически активными веществами, и их растворы в различных растворителях (этанол, диоксан, пиридин, хлороформ и др.) имеют характерную величину удельного вращения (см. приложение). Измерение величины угла вращения растворов стероидных гормонов проводят как для оценки их чистоты, так и для определения его концентрации в растворе. Однако метод поляриметрии включен только в

50