Материал: Preparaty_-_proizvodnye_tsiklopentanpergidrofenantrena__1

Внимание! Если размещение файла нарушает Ваши авторские права, то обязательно сообщите нам

2) синтетические стероиды

Часто в названии стероидов используют разные приставки.

Нор- или гомо- обозначают уменьшение или увеличение углеродного скелета соединения на один углеродный атом.

Дегидро- применяется для соединений отличающихся от исходного стероида наличием одной дополнительной двойной связи или карбонильной группы.

Дезокси- или дезоксо- применяется для соединений, отличающихся от исходного стероида отсутствием одной гидроксильной или карбонильной группы.

Дигидро- применяется для соединений, отличающихся от исходного стероида наличием двух дополнительных атомов водорода.

Эпи- обозначает иную пространственную ориентацию функциональной группы по сравнению с исходным стероидом.

2. ОСОБЕННОСТИ СТРОЕНИЯ И СТЕРЕОХИМИИ СТЕРОИДНЫХ СОЕДИНЕНИЙ,

ВЗАИМОСВЯЗЬ С ИХ ФИЗИОЛОГИЧЕСКОЙ АКТИВНОСТЬЮ

Единство полиморфного по строению и функциям класса стероидных соединений определяется наличием в молекулах всех его представителей общего строительного блока – полициклического стеранового скелета. Стерановое ядро имеет компактную, довольно жесткую трехмерную структуру с несколькими асимметричными атомами углерода. Для циклогексанового скелета колец АВС характерна конформация кресла, а для циклопентанового кольца D – полукресла или конверта. Для всех биологически активных природных стероидных гормонов характерно транс-сочленение всех углеродных колец в стерановом скелете. При этом конформация колец В и С стабильна при введении любых заместителей, структура кольца D может варьировать от 3β-конверта до 13β,14α-полукресла в зависимости от заместителей в нем.

Угол сочленения колец А и В зависит от ориентации атома водорода у С5-углеродного атома, в этой связи принято выделять 5α- и 5β-стероиды. Обозначение «5α» говорит о том, что атом водорода в положении С5 нахо-

6

дится ниже общей плоскости колец. Как правило, высокая биологическая активность стероидных гормонов связана с отсутствием α-заместителей в положениях 1, 9, 11, 13, 17 и отсутствием β-заместителей в положениях 4–8, 14, 15.

Известно, что первой стадией в биологическом действии стероидных гормонов является их влияние на специфический транспорт белков. Предполагают, что с белками стероиды взаимодействуют плоской нижней стороной (α-поверхность) молекулы.

Для 5β-стероидов известны другие типы биологической активности, например, лекарственный препарат «Предион», по структуре близкий к кортикостероидам, оказывает снотворное и наркотическое действие.

Введение двойной связи в положение С4, как в природных 4-3-кето- стероидах (андрогены, гестагены, кортикостероиды), превращает кольцо А в 1α,2β-полукресло. При этом кольцо становится относительно гибким и данная конформация может инвертироваться под влиянием заместителей в конформацию 1β,2α-полукресла.

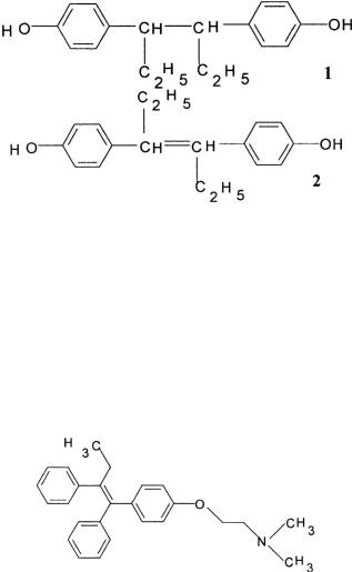
Из всех стероидных гормонов наименее жесткие требования к структуре предъявляют к соединениям, обладающим эстрогенной активностью. При условии ароматизации кольца А и наличии кислотной гидроксильной группы в положении С3 строение остальной молекулы имеет второстепенное значение. В 1938 году появились простые высокоэффективные бензольные аналоги стероидных эстрогенов: синестрол и диэтилстильбэстрол – эффективные при лечении злокачественных новообразований, например, для лечения рака предстательной железы. Форма молекул этих соединений не похожа на молекулы эстрогенов, но у них наблюдается примерно одинаковое расстояние между атомами кислорода: 1,2 нм у мезо-формы синестрола, 1,21 нм у транс-изомера диэтилстильбэстрола и от 1,07 до 1,11 нм в стероидных эстрогенах. Известно, что для проявления эстрогенной активности необходимо образование двух водородных связей рецептора с атомами кислорода лиганда. Кроме того, эстрогенное действие диэтилстильбэстрола связано с толщиной его молекулы, которая составляет 0,45 нм и равна толщине молекул стероидных эстрогенов.

7

Структурные формулы синестрола и диэтилстильбэстрола

Высокой противоопухолевой активностью обладает один из основных современных антиэстрогенов – тамоксифен, эффективный при эстрогензависимых формах рака молочной железы. Препарат конкурентно связывается с белковыми рецепторами эстрадиола, понижая их концентрацию в цитоплазме, тормозя деление опухолевых клеток. Основой химического строения тамоксифена (как и у синтетических эстрогенов) является стильбен.

Структурная формула тамоксифена

Все природные стероиды являются D-изомерами стерана, как правило, синтетические L-изомеры гормональной активностью не обладают. Исключение составляет высокоэффективный синтетический гестаген – левоноргестрел, который входит в состав пероральных контрацептивных препаратов («Овидон», «Тризистон», «Триквилар», «Постинор» и др.).

3.ВЗАИМОСВЯЗЬ МЕЖДУ ХИМИЧЕСКИМ СТРОЕНИЕМ

ИБИОЛОГИЧЕСКОЙ АКТИВНОСТЬЮ СТЕРОИДНЫХ

ГОРМОНОВ

В молекуле стероидных гормонов принято выделять функциональные группы и заместители с доминантным и субдоминантным значением в реализации их специфической гормональной активности. У эстрогенов доминантной группой является ароматическое кольцо А. Характер гормональной активности других стероидных гормонов зависит от типа функциональных

8

групп в С17 атоме кольца D в β-положении. Доминантными являются три типа функциональных групп:

1)17β-гидроксил – формирует андрогенный ряд стероидов;

2)17β-ацетогруппа – формирует гестагенный ряд стероидов;

3)17β-α-кетольная группа – формирует ряд кортикостероидов. Субдоминантным значением для проявления гормональной активно-

сти обладают заместители в С11- и С17α-положении кортикостероидов. Строение кольца А андрогенов, анаболиков и кортикостероидов, а именно положение ненасыщенной связи и заместитель при С3, также обладает субдоминантным значением.

3.1. Андрогены и анаболические стероиды

тестостерон

Для производных тестостерона характерно:

ацилирование 17β-гидроксигруппы тестостерона с образованием соответствующих сложных эфиров (пропионат, энантат) снижает прямую андрогенную активность, но в организме в результате гидролиза сложноэфирной группы образуются активные метаболиты; наблюдается эффект пролонгированного действия;

введение алкильных заместителей С12 в 17α-положение приводит к снижению специфичности по отношению к рецепторам андрогенного типа и разобщению андрогенного и анаболического эффектов (метилтестостерон);

17α-алкильные производные андрогенов устойчивы при пероральном применении, наблюдается эффект пролонгированного действия;

17α-алкильные заместители С36 вызывают существенное подавление системной гормональной активности и проявление выраженного ан-

тиандрогенного эффекта, полярные группы -СООН, -СОСН3, -CONR2, -NH-CO-R, -NH-CO-NH2 и т.д. ингибируют ферменты биосинтеза и метаболизма андрогенов, что приводит к появлению выраженной антиандрогенной активности (ципротерона ацетат, финастерид);

присоединение в 17α-положение к тестостерону этинильного радикала приводит к образованию синтетического аналога – этистерона (прегнина), у которого значительно снижена его специфическая андрогенная ак-

9

тивность, но при этом появляется гестагенное действие, сравнимое с действием прогестерона;

восстановление двойной связи в положении 4,5 и восстановление 3-кетогруппы метилтестостерона приводит к снижению андрогенного и усилению анаболического эффектов (метандриол);

19-норпроизводные тестостерона практически не обладают андрогенной активностью на фоне ярко выраженного анаболического эффекта (нандролона фенилпропионат («Феноболин») и деканоат («Ретаболил»);

введение дополнительной двойной связи в положение 1,2 метилтестостерона не влияет на анаболическую активность, но значительно снижает андрогенный эффект (метандиенон).

3.2.Гестагены

прогестерон

Для производных прогестерона характерно:

любая модификация в 17β-боковой цепи прогестерона: 20β- и 20αвосстановление, 21-деметилирование, 21-гидроксилирование – резко снижает специфическую гестагенную активность;

17α-производные прогестерона, кроме 17α-оксипроизводных (оксипрогестерона капронат, медроксипрогестерона ацетат), гестагенной активностью не обладают;

19-норпроизводные прогестерона отличаются более высокой активностью, чем прогестерон;

синтетические гестагены, входящие в состав пероральных контрацептивных препаратов, являются 17α-этинил-17β-окси-19-норпроизвод- ными андростана:

Общая структурная формула синтетических гестагенов.

R - СН3,

4 = норэтистерон

R - СН3,

5(10) = норэтинодрел

 

10