Материал: Preparaty_-_proizvodnye_tsiklopentanpergidrofenantrena__1

Внимание! Если размещение файла нарушает Ваши авторские права, то обязательно сообщите нам

МИНИСТЕРСТВО ОБРАЗОВАНИЯ И НАУКИ РФ ФЕДЕРАЛЬНОЕ ГОСУДАРСТВЕННОЕ БЮДЖЕТНОЕ ОБРАЗОВАТЕЛЬНОЕ УЧРЕЖДЕНИЕ ВЫСШЕГО ПРОФЕССИОНАЛЬНОГО ОБРАЗОВАНИЯ «ВОРОНЕЖСКИЙ ГОСУДАРСТВЕННЫЙ УНИВЕРСИТЕТ»

ПРЕПАРАТЫ – ПРОИЗВОДНЫЕ ЦИКЛОПЕНТАНПЕРГИДРОФЕНАНТРЕНА

Методические рекомендации

Составители: П.М. Карлов, Л.Ю. Яковлев

Издательско-полиграфический центр Воронежского государственного университета

2012

1

Утверждено научно-методическим советом фармацевтического факультета

10.09.2012 г., протокол № 1500-08-07.

Рецензент: доцент кафедры фармацевтической химии и фармацевтической технологии, канд. фарм. наук Т.А. Брежнева.

Методические рекомендации содержат информацию о качественном и количественном определении препаратов – производных циклопентанпергидрофенантрена химическими и физико-химическими методами.

Методические рекомендации разработаны на кафедре фармацевтической химии и фармацевтической технологии фармацевтического факультета Воронежского государственного университета для студентов 3 курса очной формы обучения, 4 курса вечерней формы обучения фармацевтического факультета и интернов.

Для специальности: 060108 – Фармация

2

 

СОДЕРЖАНИЕ

 

1.

Классификация и номенклатура стероидных соединений...................

4

2.

Особенности строения и стереохимии стероидных соединений,

 

взаимосвязь с их физиологической активностью................................................

6

3.

Взаимосвязь между химическим строением

 

и биологической активностью стероидных гормонов..............................

8

 

3.1. Андрогены и анаболические стероиды.....................................

9

 

3.2. Гестагены. ..................................................................................

10

 

3.3. Кортикостероиды......................................................................

11

 

3.4. Эстрогены...................................................................................

12

4.

Способы получения стероидных гормонов.........................................

13

 

4.1. Химический синтез стероидных гормонов.............................

13

 

4.2. Микробиологическая трансформация стероидов..................

16

5.

Контроль качества стероидных гормонов............................................

20

 

5.1. Методы установления подлинности и доброкачественности

 

стероидных гормонов. .....................................................................

21

 

5.1.1. Физико-химические методы. ...........................................

21

 

5.1.2. Химические методы..........................................................

35

 

5.2. Методы количественного анализа стероидных гормонов в

 

 

субстанциях и лекарственных формах...........................................

42

 

5.2.1. Титриметрические методы...............................................

42

 

5.2.2. Спектральные методы ......................................................

44

 

5.2.3. Поляриметрия....................................................................

50

 

5.2.4. Хроматографические методы. .........................................

51

 

5.2.5. Полярография. ...................................................................

51

 

5.2.6. Гравиметрия.......................................................................

53

6. Особенности контроля качества стероидных гормонов в лекарст-

 

венных формах. .....................................................................................................

53

7.

Тестовые задания....................................................................................

54

8.

Литература...............................................................................................

63

Приложение..................................................................................................

65

3

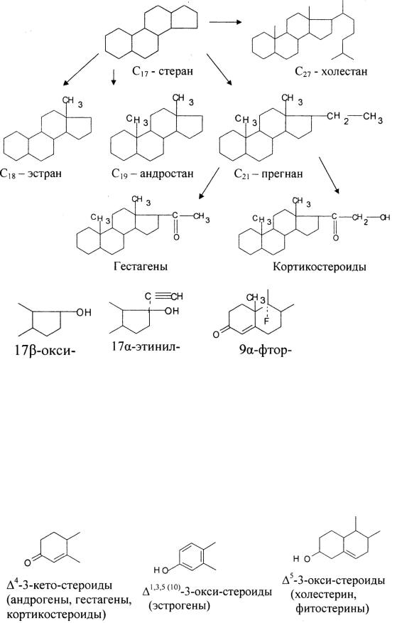
1. КЛАССИФИКАЦИЯ И НОМЕНКЛАТУРА СТЕРОИДНЫХ СОЕДИНЕНИЙ

Структурной основой стероидных гормонов является стерановое или циклопентанпергидрофенантреновое ядро (С17), которое определяет общность физико-химических свойств и эволюционно сложившуюся фармакодинамику в организме, несмотря на различия в специфической гормональной активности.

По химической структуре и направленности физиологического действия стероидные гормоны разделяют, по крайней мере, на 4 основные группы, причем внутри каждой из них можно дополнительно выделить семейства и узкие подгруппы соединений (см. рис. 1).

Кольца, составляющие скелет циклопентанпергидрофенантрена, принято обозначать латинскими буквами А, В, С и D. Порядок нумерации сложился исторически в ходе исследования их строения. Углеродные атомы колец ABD нумеруют против часовой стрелки, а атомы кольца С – по часовой стрелке. После нумерации атомов ядра нумеруют углеродные атомы ангулярных групп – С18 и С19, а затем – боковой цепи в 17 положении. Для обозначения пространственного положения заместителей служат буквы α и β. В названии стероидных соединений эти буквы ставят после номера асимметрического центра, в котором находится этот заместитель. Например, буква α обозначает транс-положение заместителя по отношению к ближайшей ангулярной метальной группе, а буква β – цис-положение по отношению к этой же группе. На графическом изображении молекулы стероида сплошной линией соединяют ангулярные метальные С18 и С19, β- заместители, а α-заместители – при помощи пунктирной линии.

4

Рис. 1. Классификация стероидных гормонов

Обозначение двойных связей производится по общему правилу: при введении одной связи в название соединения прибавляется окончание «ен», а место образования обозначают буквой . По расположению и количеству двойных связей и типу заместителя в С3-положении все стероидные гормоны можно разделить:

1) природные стероиды

5