Материал: KTE (1)

Внимание! Если размещение файла нарушает Ваши авторские права, то обязательно сообщите нам

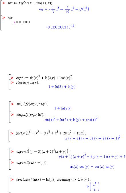
Отримуємо дуже мале число, але зі збільшеною точністю.

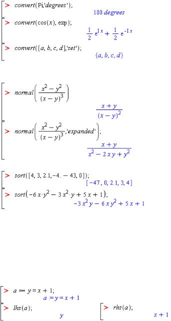
2.1.4. Перетворення виразів

Для виконання найбільш поширених дій над виразами в загальному (символьному) вигляді в системі Maple передбачені такі функції:

simplify() – спростити вираз, а точніше – застосувати

правила спрощення:

Якщо перетворювати лише частину доданків, то застосовуються опції:

factor() – розкласти на множники:

expand() – розкрити дужки:

combine() – зібрати підвирази у вирази:

41

convert() – перетворити в іншу форму:

normal() – звести до нормального вигляду з

розкладанням на множники:

sort() – сортування елементів (упорядкування):

Більшість цих команд також доступна з контекстного меню.

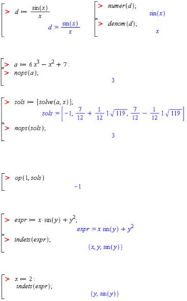
2.1.5. Робота з частинами виразу

За необхідності «витягнути» частину компонентів будь-якого виразу для подальшої роботи з ними використовують такі команди Maple:

lhs() – для добування лівої частини виразу;

rhs() – для добування правої частини виразу:

42

numer() – добути числовик дробу;

denom() – добути знаменник дробу:

nops() – визначити кількість операндів. Наприклад,

визначити кількість доданків:

або визначити кількість елементів списку:

op() – добути операнд. Для цього як перший аргумент

даної функції зазначається порядковий номер потрібного елемента:

indets() – визначити невизначені елементи виразу,

тобто ті, які не мають присвоєного значення:

Якщо певній змінній присвоїти певне значення, то результат зміниться таким чином:

43

2.1.6. Обчислення виразів

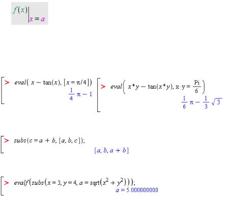
2.1.6.1. Підстановка значень

Для того щоб знайти значення виразу при певних значеннях

його підвиразів (або певних змінних), необхідно виконати підстановку. Це можна зробити декількома шляхами:

а) використати команду-шаблон на палітрі команд Expression:

б) правою кнопкою миші або тачпаду клікнути на виразі і обрати пункт контекстного меню Evaluate at a Point. У такому разі Maple виконає підстановку за допомогою команди eval. Ця команда може виконувати підстановки значень як змінних, так і цілих операндів:

в) за допомогою функції subs(s1, s2, …, sn, expr), де si – вирази типу x = y, які підставляються у вираз expr :

Цю функцію можна використовувати в комбінації з функціями

eval або evalf:

2.1.6.2. Функції розрахунку значення виразу

eval(expr), eval(expr,[x=a,y=b]) – обчислити точне

значення виразу, в тому числі при заданих значеннях змінних x та y (див. також п. 2.1.6.1);

evalf(expr) – обчислити значення виразу expr у вигляді

числа з плаваючою точкою (тобто наближене числове значення) (див. також п. 2.1.6.1);

evalc(expr) – обчислити вираз expr у вигляді

комплексного числа;

44

evalb(expr) – обчислити значення логічного виразу expr

(із можливим результатом true, false, FAIL – див. п. 1.5.4).

2.1.6.3. Задання математичних функцій у виразах

Математичні вирази складаються з операторів, операндів та функцій. Система Maple має повний набір елементарних функцій, які можна включати в математичні вирази. Їх синтаксис та зміст наведені в таблиці 2.1.

Таблиця 2.1 – Математичні функції

Степеневі та логарифмічні функції

sqrt(x) – квадратний корінь

log10(x) – десятковий логарифм

exp(x) – експонента

 

log[a](x) – логарифм за заданою основою

ln(x) – натуральний логарифм

log(x) – загальний логарифм

 

 

 

Тригонометричні функції

 

sin(x) – синус аргументу х

cot(x) – котангенс аргументу х

cos(x) – косинус аргументу х

arcsin(x) – арксинус аргументу х

tan(x) – тангенс аргументу х

arcos(x) – арккосинус аргументу х

 

 

Гіперболічні функції

 

sinh(x) – синус гіперболічний

arcsinh(x) – арксинус гіперболічний

cosh(x) – косинус гіперболічний

arccosh(x) – арккосинус гіперболічний

 

Функції з елементами порівняння

 

ceil(x) – знаходить найменше ціле,

trunk(x) – ціле, округлене в напрямку

яке більше або дорівнює x

x = 0

 

floor(x) – знаходить найбільше

round(x) – округлене значення числа

ціле, яке менше або дорівнює x

(до цілого)

 

frac(x) – дробова частина числа

 

 

 

 

 

signum(x) {

} – функ-

 

 

 

ція знака числа

 

 

Функції роботи з комплексними числами

 

abs(x) – обчислює модуль дійсного

polar(x) – задає комплексне число у

або комплексного числа

 

полярному вигляді

 

argument(x) – знаходить аргумент

Re(x) – знаходить дійсну частину

комплексного числа

 

комплексного числа

 

conjugate(x)

знаходить

Im(x) – знаходить уявну частину

комплексно спряжене число

комплексного числа

 

 

 

Спеціальні функції

 

Si – інтегральний синус

 

Ei – експоненціальний інтеграл

Ci – інтегральний косинус

Heavyside – функція Хевісайда

45