Материал: KTE (1)

Внимание! Если размещение файла нарушает Ваши авторские права, то обязательно сообщите нам

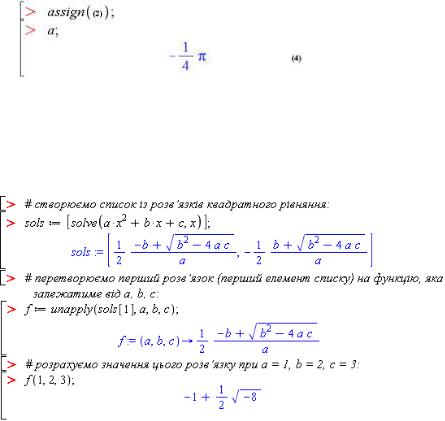
Ця дія еквівалентна команді a:=solve().

Отриманому розв’язку можна встановити статус функції командою unapply. Якщо розв’язок отримано в загальному, символьному, вигляді, то його статус як функції дозволить у подальшому виконувати підстановки та розраховувати значення при конкретних параметрах. Це ілюструє такий приклад:

2.2.5. Розв’язування звичайних диференціальних рівнянь

Система Maple дає широкі можливості для розв’язання диференціальних рівнянь. Існує багато засобів для розв’язання як окремих рівнянь, так і їх систем, як звичайних диференціальних рівнянь (ODE – ordinary differential equations),

так і диференціальних рівнянь у часткових похідних (PDE – partial differential equations). Можна використовувати засоби розв’язку в символьному або числовому вигляді з урахуванням початкових значень, граничних або крайових умов.

Розглянемо основні засоби для розв’язання диференціальних рівнянь – помічник та команду dsolve (див. також п. 2.6).

51

2.2.5.1. Використання помічника

Помічник є інструментом для розв’язання ODE зі зручним інтерфейсом типу «point-and-click» («вказав та клацнув»). Він має назву ODE Analyzer, є аналогом команди dsolve, яку розглянемо наступним пунктом, та викликається з головного меню: Tools → Assistants → ODE Analyzer. Вигляд головного вікна помічника показаний на рис. 2.1. Воно містить три головні поля:

-Differential equations, в якому задається вигляд рівнянь для розв’язання;

-Conditions, в якому задаються початкові, граничні або крайові умови;

-Parameters, в якому задаються значення параметрів рівнянь, заданих символьно (система їх автоматично розпізнає).

Зміст цих полів задається або редагується відповідними кнопками Edit.

Рисунок 2.1 – Вигляд головного вікна помічника ODE Analyzer

Після того як необхідні поля заповнені, необхідно обрати спосіб розв’язання – символьний або числовий – шляхом натискання на кнопку Solve Symbolically або Solve Numerically

відповідно. Для кожного способу на екрані з’явиться своє віконце (рис. 2.2), в якому обирається метод розв’язання та виводиться сам розв’язок в аналітичному, числовому або графічному виглядах.

52

а

б

Рисунок 2.2 – Вікна символьного (а) та числового (б) розв’язувань диференціальних рівнянь

53

Елементи символьного вікна:

-Method – вибір методу розв’язання та за необхідності відповідних до методу параметрів;

-Output – поле для введення незалежної змінної, виведення аналітичного розв’язку, а при натисканні кнопки Plot – побудови графіка знайденої функції, параметри якого можна змінювати кнопкою Plot Options;

-Show Maple Commands – установлення даного прапорця призведе до виведення в лівому нижньому куті віконця Mapleкоманд, які відповідають діям даного помічника;

-On Quit, Return – вибір способу подання результату, що відобразиться в робочому документі після закриття віконця помічника.

Відмінні елементи числового вікна:

-Parameters – вибір числового методу розв’язання та за необхідності відповідних до методу параметрів; тут поля Absolute та Relative установлюють величину абсолютної та відносної похибок розрахунку;

-Output – поле для введення значення незалежної змінної та виведення розрахованих значень шуканої функції та її похідних у даній точці; при натисканні кнопки Plot будується графік знайденої функції, параметри якого можна змінювати кнопкою

Plot Options.

Інші елементи збігаються з елементами символьного вікна. Параметри, що за замовчуванням зазначені на полях Method

або Parameters, є оптимальними для більшості задач.

2.2.5.2. Використання команди dsolve

Універсальною командою для розв’язання ODE та їх систем є команда dsolve, яка може знаходити аналітичні та числові розв’язки, а також розв’язки з розвиненням у ряд.

Синтаксис команди такий:

dsolve ({ODE, InCond}, {y(x)}, options)

Тут ODE – одне або декілька диференціальних рівнянь (в останньому випадку рівняння зазначаються списком [ ] або набором { });

54

InCond – початкові умови у вигляді y(x0)=y0,

D[y][x00]=y00 і т. ін.;

y(x) – шукана функція (одна чи список/набір функцій); options – необов’язкові опції, що визначають метод

розв’язання, наприклад: опція series – якщо використовується розвинення в ряд, та опція method=laplacе – якщо використовується перетворення Лапласа; опція numeric – при числовому розв’язанні.

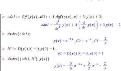
Приклад 2.5. Розв’язати

диференціальне рівняння

без початкових умов та при

( )

 

( )

.

 

Можемо бачити, що, якщо кількість початкових умов недостатня (або вони відсутні), система вводить до розв’язання власні невизначені константи, позначені як _C1, _C2. Для розв’язання задачі Коші необхідно включати початкові умови, в даному прикладі IC.

2.3. Обчислення з використанням одиниць вимірювання та наукових констант

Окрім перетворень із символьними та числовими величинами, Maple може проводити розрахунки з одиницями вимірювання. Велика бібліотека одиниць вимірювання, що підтримуються системою, а також засоби для їх використання при розрахунках знаходяться в пакеті Units. Пакет є гнучким, тобто за необхідності користувач може його доповнювати сам власними одиницями вимірювання. Крім того, через головне

55