Материал: KTE (1)

Внимание! Если размещение файла нарушает Ваши авторские права, то обязательно сообщите нам

Продовження таблиці 2.1

Shi –

інтегральний

гіперболічний

euler – числа та поліноми Ейлера

синус

 

 

 

Chi –

інтегральний

гіперболічний

Gamma – γ-функція

косинус

 

 

Dirac – δ-функція Дірака

lnGAMMA – логарифмічна γ-функція

BesselI(J,K,Y) – функції Бесселя

Li – логарифмічний інтеграл

 

 

Операції з цілими числами

ifactor(a) – розкладання на

igcd(a,b) – найбільший спільний

множники

 

дільник

iquo(a,b) – ціле від ділення a на b

icm(a,b) – найменше спільне кратне

irem(a,b) – залишок від ділення

isqrt(a) – ціле від кореня квадратного

2.2. Розв’язування рівнянь, нерівностей та їх систем

2.2.1. Символьне розв’язування

Будь-яке рівняння в системі Maple можна задати у вигляді

f1(x) = f2(x) або F(x) = 0

Аналогічним чином задаються нерівності за допомогою знаків відношення: >, <, >=, <=.

Рівнянню або нерівності можна присвоїти ім’я, в такому разі необхідно використовувати саме знак присвоєння, наприклад

eq:=x^2+x+2=0.

Для точного розв’язання рівнянь, нерівностей та їх систем у символьному вигляді використовується функція solve(eqns, vars), де eqns – рівняння, нерівність або їх система; vars – невідомі змінні, що підлягають визначенню. Якщо змінна лише одна, то Maple може автоматично розпізнати змінну і параметр vars можна опустити.

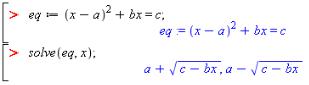
Приклад 2.1. Розв’язати рівняння (x - a)2 + bx = c:

46

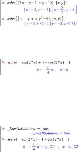
Приклад 2.3. Розв’язати системи рівнянь та нерівностей:

Як видно із цих прикладів, при записі команди solve систему рівнянь або нерівностей необхідно задавати списком або набором, тобто через кому і брати в дужки {} або []. Перелік невідомих змінних, відносно яких розв’язується система, подається списком у квадратних дужках – [].

Приклад 2.4. Розв’язати тригонометричне рівняння sin(2x) + 1 = cos(2x):

Особливістю тригонометричних рівнянь є те, що їх розв’язок найчастіше повинен бути періодичним числом відповідно до періодичності тригонометричних функцій. Із прикладу 2.4 бачимо, що виводяться розв’язки рівняння лише на одному періоді (оскільки період функцій sin та cos дорівнює 2π, і в рівнянні аргументами sin та cos є 2х, то період відповідно 2π/2 = π). Для того щоб змусити функцію solve навести всі розв’язки, змінній оточення _EnvAllSolutions необхідно присвоїти значення true:

В отриманих розв’язках бачимо, що період дійсно є π, але

записаний за допомогою згенерованої системою Maple змінної _Z1~. Maple використовує змінні вигляду _ZN~, де N – порядковий номер, як цілі числа-посередники. Окрім цілих чисел, можуть вводитись автоматично числа типу _B, що свідчить про бінарну форму, тобто 0 або 1, та _NN, що означає

47

невід’ємне число. Позначка ~ свідчить про те, що ця величина є величиною з припущенням.

Часто трапляються математичні вирази, коли на їх частину накладаються певні умови (як, наприклад, підлогарифмовий вираз повинен бути додатним, ненульовий знаменник дробу і т. ін.). Перед розв’язуванням рівнянь, що містять такі вирази, рекомендовано це зазначати системі Maple. Це виконується командою assume(), що означає «припустимо, що…».

2.2.2. Розв’язування в числовому вигляді

Для отримання числового розв’язку рівняння, нерівності або їх системи використовують функцію fsolve. Вона виводить розв’язок відразу у вигляді дійсних або комплексних чисел. Синтаксис даної функції такий: fsolve(eqns, vars, options), де eqns – рівняння, нерівність або їх система, що підлягає розв’язанню; vars – список невідомих змінних, які необхідно знайти; options – додаткові необов’язкові опції.

У найпростішому випадку в функції fsolve достатньо задати лише рівняння, і система сама з’ясує невідому змінну та знайде її значення:

48

При такому записі будуть знайдені лише ті розв’язки, які є дійсними числами. Для того щоб змусити знайти комплексні розв’язки, необхідно задати опцію complex:

Можна змусити Maple шукати розв’язки не на всій числовій шкалі, а лише на певному інтервалі. Тоді зазначається опція

{var=a..b}:

Локалізація пошуку коренів може бути корисною, якщо функції solve та fsolve у своєму звичайному вигляді коренів не знаходять.

2.2.3. Функція RootOf

Структури з функцією RootOf з’являються в розв’язках після виконання функції solve. Вони замінюють самі корені і означають, що система не може знайти точного символьного виразу для коренів і що розв’язок даний у неявному вигляді.

Параметр index упорядковує та пронумеровує розв’язки.

У даному випадку можна отримати числові значення коренів рівняння за допомогою функції evalf:

Якщо solve не знаходить корені, необхідно використовувати

числовий спосіб розв’язування – fsolve.

49

2.2.4. Робота з отриманими розв’язками

Після отримання розв’язку за допомогою функцій solve та fsolve рекомендується перевірити його правильність. Для цього необхідно виконати підстановку кореня у вихідне рівняння (див. п. 2.1.6.1) та розрахувати значення лівої та правої частин рівняння за допомогою функції eval:

У цьому прикладі використовується корисна можливість системи Maple 12 присвоювати отриманим результатам пронумеровані мітки. Для того щоб вставити посилання-мітку, необхідно виконати команду головного меню Insert → Label… (або комбінацію клавіш Ctrl+L) і у відкритому віконці зазначити потрібний номер мітки.

Отриманому розв’язку можна встановити статус виразу з метою зручної подальшої роботи з ним. Так, з наступного прикладу бачимо, що розв’язку можна присвоїти ім’я, прирівнюючи його до функції solve:

Але просте звертання до розв’язку через ім’я в даному випадку не спрацьовує, система «не розуміє» значення. Необхідно виконати команду assign(a) для перетворення імені на вираз:

50