Материал: KTE (1)

Внимание! Если размещение файла нарушает Ваши авторские права, то обязательно сообщите нам

ScientificConstants. Детально робота з науковими константами описана в п. 2.3.3 і може бути знайдена самостійно в системі допомоги за командою ?ScientificConstants.

1.5.5. Змінні

Змінними називаються ті об’єкти, значення яких змінюється по ходу виконання документа. Ім’я змінної повинне бути унікальним, складатися з букв та/або цифр, обов’язково починатися з букви. Не можна давати змінним імена, що повторюють ключові слова системи Maple, та включати до імені знаки операторів. Символ підкреслення (_) допускається. Для того щоб у режимі 2D-Math ввести цей символ, потрібно спочатку ввести обернений слеш, а потім підкреслення (\_). Альтернативно, які ім’я змінної можна ввести будь-які символи в лівих одиничних лапках ``.

Використання змінних у математичних виразах та символьних розрахунках не потребує їх попереднього оголошення.

Присвоєння значення змінній відбувається за допомогою оператора := . Змінні можуть бути різних типів, і тип визначається присвоєним значенням. Таким чином, є такі типи змінних:

integer (цілочислові);

rational (раціональні);

float (дійсні з плаваючою точкою);

complex (комплексні);

string (рядкові);

symbol (символьні);

list (список).

Тип змінної можна перевірити за допомогою команди

type(var,type), де var – ім’я змінної, type – тип, на який

проводиться перевірка. Команда вертає значення true або false («істина» або «хибність»).

Приклад 1.10. Перевірити, чи є число а = 1,2 дійсним і чи є число π константою:

36

Змінна, що не має присвоєного значення, займає менше пам’яті, ніж та, що має. Тому іноді корисно ліквідувати присвоєння. Як це зробити, ілюструє приклад 1.11.

Приклад 1.11. Ліквідація присвоєння значення змінної:

Для того щоб ліквідувати всі попередні присвоєння, корисно використовувати команду restart. Ця команда очищує всю внутрішню пам'ять Maple, тобто ліквідує всі визначення та вивантажує всі пакети. Якщо під час роботи з документом є необхідність багатократно запускати виконання програми спочатку, рекомендується командою restart починати текст програми.

37

2. Математичні обчислення

2.1. Символьні та числові обчислення

2.1.1. Визначення

Система Maple має широкі можливості для символьних, тобто аналітичних, та числових обчислень.

Символьні обчислення – це математичні перетворення виразів, що містять: а) символьні або абстрактні величини (змінні, функції, оператори); б) точні числа, наприклад, цілі числа, раціональні, π, е, і т. ін. Метою таких перетворень може бути отримання виразів у більш простій формі або встановлення співвідношень з іншими, більш зрозумілими, формулами.

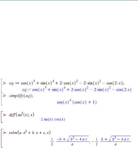
Приклад 1.12. Спростити вираз eq:

Приклад 1.13. Знайти похідну функції sin2x:

Приклад 1.14. Розв’язати квадратне рівняння:

Числові обчислення – це маніпуляції з виразами в контексті лічильних операцій (тобто арифметичних) зі скінченною точністю. Вирази в такому разі містять конкретні числа. Причому точні числа замінюються на наближені числа з плаваючою точкою із заданою точністю. Наприклад, запис π для Maple є точним, оскільки під іменем π приховується майже

нескінченний ланцюжок цифр (технічно обмежений лише

кількістю порядку декількох сотень тисяч знаків). А в числових

38

обчисленнях точне число замінюється на число з плаваючою точкою, яке є наближеним, наприклад π≈3,1415927. Тому може накопичуватися похибка, значення якої може бути не менш важливим, ніж сам обчислений результат. Як правило, числові операції задіяні, якщо використовуються числа з десятковою точкою або команда evalf.

2.1.2. Точні та наближені обчислення

Система Maple проводить точні обчислення з такими величинами, як цілі числа, раціональні, математичні константи, матриці. Їм можна присвоїти певні імена, наприклад x або y, які поряд із математичними функціями типу cos(x) розглядатимуться системою як символьні об’єкти. Результатом символьних обчислень також буде точний результат, який за необхідності можна потім окремо перетворити на наближений.

Наприклад, результатом додаванням простих дробів є також простий дріб:

Або при обчисленні значень, наприклад тригонометричних функцій, sin(1) є точним числом, а 0,8414709848 його округлене значення. Таким чином, Maple надає перевагу точному результату:

Обчислення, що проводяться за участі чисел із плаваючою точкою, є наближеними. При цьому наявність саме десяткової точки сповіщає систему про використання в обчисленнях числових наближень. Відповідно результат також буде у вигляді числа з десятковою точкою. Наприклад, порівняйте два дроби і як їх сприймає система:

39

Деякі команди Maple потребують роботи саме з наближеними значеннями. Наприклад, команда побудови графіка plot не зможе відобразити значення π, а 3,14 зможе. Для перетворення точних величин на наближені використовується команда evalf. За кількість знаків, що виводяться після десяткової коми, відповідає системна змінна

Digits (див. п. 1.5.1).

2.1.3. Джерела похибок

Оскільки числові обчислення, тобто з числами з плаваючою точкою, є наближеними, то природно, що вони містять похибку. Основними джерелами похибки є такі:

а) округлення. Деякі величини не можуть бути точно подані у формі числа з десятковою точкою, тому округлення призводить до похибки: 2/3 ≈ 0,66666667;

б) накопичення малих похибок. Якщо проводиться велика кількість арифметичних операцій, то їх сумарна похибка може істотно перевищувати похибку одиничної операції;

в) віднімання дуже близьких величин. Розглянемо простий приклад розрахунку виразу (x - tgx) при x ≈ 0. Як відомо, тангенс наближається до нуля при наближенні до нуля його аргументу. Таким чином, будемо мати такий результат:

Так, отримуємо наближений результат. Відмітимо, що підставлення в даному вигляді виконане за допомогою відповідного шаблона в палітрі Expression. Інший швидкий засіб підставлення – команда контекстного меню Evaluate at a point.

Щоб знайти вагому різницю між x та tgx, можна використати, наприклад, розвинення в ряд Тейлора (див. п. 2.4.6):

40