1.4.2.3. Нульарні оператори
Дані оператори мають нульове число аргументів. Таких операторів у Maple всього три (табл. 1.4).
Таблиця 1.4 – Нульарні оператори
Оператор |
Виконувана операція |
% |
Оператор ditto (дітто) – останній вираз |
%% |
Передостанній вираз |
%%% |
Другий передостанній вираз |
Ці оператори застосовуються, якщо необхідно використати останній результат обчислень (або відповідно передостанній та другий передостанній).
Приклад 1.4. Додавання трьох останніх результатів обчислень:
1.4.2.4. Функціональний оператор
Функціональний оператор – це оператор «стрілка», який є засобом створення математичних функцій. Формою запису оператора є схема: змінні -> вигляд функції. Цей запис означає, що на змінні (або одну змінну), які є лівим операндом, відбувається певна дія, записана в правому операнді. Ця дія є функцією, якій можна присвоїти ім’я і в подальшому за ним звертатися до неї. Функціональний оператор є своєрідним аналогом процедури.
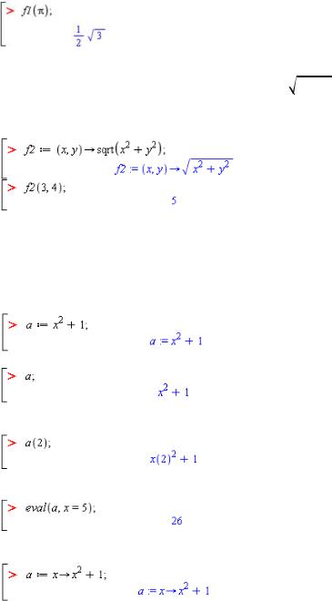
Приклад 1.5. Створити функцію однієї змінної f1(x) = sin(x/3). Розрахувати її значення у точці x = π.
26
Як бачимо, після створення функції f1 до неї можна звертатися за її ім’ям, зазначаючи в дужках необхідне значення аргументу.
Приклад 1.6. Створити функцію двох змінних f2 x,y 
x2 y2. Розрахувати її значення для x = 3, y = 4.
Уразі функції багатьох змінних необхідно лівим операндом задати список змінних у круглих дужках:
УMaple існує певна різниця між поняттями виразу та функції.
Деякі команди системи по-різному реагують на дані об’єкти. Розглянемо різницю на такому прикладі.
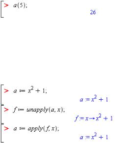
Приклад 1.7. Нехай необхідно розрахувати значення математичного виразу x2 + 1 для x = 5.
Варіант 1: а) створюємо вираз з ім’ям a:
б) тепер під а система буде розуміти x2 + 1:
в) якщо підставити значення х через запис у круглих дужках, то система підстановку та обчислення проводити не буде:
г) для обчислень у такому разі можна використати функцію eval – “розрахувати значення”:
Варіант 2: а) створюємо функцію а(х) за допомогою функціонального оператора:
27
б) ім’я функції а(х) дуже зручно використовувати для подальших розрахунків:
Створити функціональний оператор можна також командою
unapply(expr, vars), де expr – це вираз, vars – змінна (або
список змінних). У результаті виконання даної команди відбувається трансформація виразу в функцію. Для того щоб перейти назад від функції до виразу, застосовують команду
apply(function, vars).
Приклад 1.8. Перехід між виразом та функцією:
Корисно пам’ятати, що палітра Expression має два шаблони для швидкої вставки функції:
та
.
1.5. Типи даних Maple
Система Maple, як і будь-яка інша система комп’ютерної математики, працює з даними та оброблює їх. Існує досить багато різних типів даних у Maple та засобів роботи з ними.
1.5.1. Прості типи даних
До простих типів даних відносять числа та числові константи:
цілі числа (0, 1, 123, –456, …);
раціональні числа (1/2, –123/4, …);
дійсні числа з плаваючою точкою (0.12, –0.34, …);
дійсні числа з мантисою та порядком (1.29Е5, –3.5Е-10);
комплексні числа (2+3*I).
28
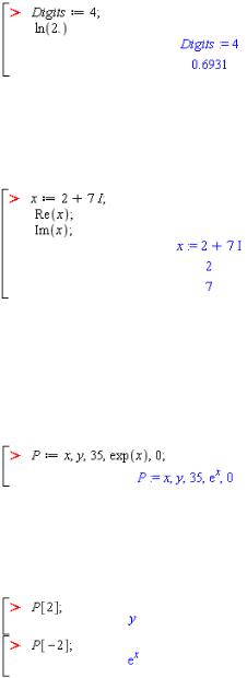
Для чисел з плаваючою точкою є важлива особливість. Кількістю цифр, що виводяться після десяткової точки, можна керувати, задаючи її значення системною змінною Digits:
За замовчуванням Digits = 10.
Для задання комплексного числа в алгебраїчній формі використовується константа уявної одиниці – I. Для виведення дійсної частини комплексного числа використовується функція Re(число), а уявної – функція Im(число):
1.5.2. Дані множинного типу
1.5.2.1. Послідовності
Послідовність є фундаментальною структурою даних у Maple. Це ряд виразів, які записані через кому. Послідовностям можна присвоювати імена. Елементами послідовності можуть бути будь-які вирази – константи, змінні, функції тощо:
Для того щоб звернутися до певного елемента послідовності, зазначають ім’я послідовності та індекс (номер) позиції елемента в квадратних дужках. Причому якщо рахувати позиції з початку послідовності, то індекс позитивний, якщо з кінця – негативний:
29
Для того щоб вибрати декілька елементів підряд, зазначають діапазон індексів через дві крапки, наприклад:
Цей принцип посилання на елементи поширюється на
більшість структур даних.
1.5.2.2. Набори
Набори (або множини) – це ряд будь-яких виразів, які створюються за допомогою фігурних дужок {}. Відмінною властивістю наборів є те, що Maple автоматично усуває елементи з однаковим значенням, а також упорядковує елементи за збільшенням значення (якщо числа) та за алфавітом (якщо символи та рядки):
1.5.2.3. Списки
Списки – це упорядковані набори. Вони створюються в квадратних дужках []. Особливістю списків є те, що їх елементи перетворюються та виводяться лише у тому порядку, в якому були задані:
Елементами списку можуть бути також списки. Тому вони часто використовуються для створення векторів і матриць.
Приклад 1.9. Побудова точкового графіка Нехай задані координати точок графіка у вигляді окремих списків абсцис і
ординат: X = [1, 1.5, 3, 5], Y = [1, 1.5, 3.5, 8]. Для того щоб побудувати графік, необхідно створити для кожної точки список із пари координат, а потім об’єднати всі пари в один список. Це можна зробити таким чином:
Далі графік будується функцією pointplot з пакета plots:
30