Материал: KTE (1)

Внимание! Если размещение файла нарушает Ваши авторские права, то обязательно сообщите нам

меню Tools → Tasks → Browse можна знайти деякі готові шаблони задач, типових для випадків використання одиниць вимірювання.

2.3.1. Основні поняття про вимірювані величини та одиниці вимірювання

Вимірювані величини можна подати двома групами величин:

1)основними величинами, що обираються незалежними від інших так, що ніяка основна величина не може бути обрана через інші основні (такі, як довжина, маса, час, електричний струм, сила світла, термодинамічна температура, кількість речовини, інформація і т. ін.)

2)похідними величинами, що визначаються через комбінацію основних величин, наприклад, сила = маса ∙ довжина/час2.

Вираз, що пов’язує величину з основними, визначає її розмірність. Повний список величин або їх розмірностей, з якими працює Maple, можна знайти в довідковій системі,

виконавши команду Units[GetDimensions]().

Так, кожна величина, основна чи похідна, має власні одиниці вимірювання, які відповідно є основними або похідними. У таблиці 2.2 наведені приклади величин, їх вираження через основні розмірності та відповідні до них одиниці вимірювання.

Таблиця 2.2 – Деякі величини та їх одиниці вимірювання

Вимірювана

 

Відповідні основні

Приклад одиниць вимірювання

величина

 

 

розмірності

 

 

 

 

 

 

 

 

Час

 

 

Час

Секунда, хвилина, година, день,

 

 

 

 

 

 

місяць, рік

 

 

 

 

 

 

 

Енергія

 

 

Довжина2 маса

 

Джоуль, електрон-вольт, ерг, ват-

 

 

 

час2

година, калорія, британська

 

 

 

 

 

 

теплова одиниця

 

 

 

 

 

 

 

Електричний

 

 

Довжина2 маса

 

Вольт, абвольт, статвольт

потенціал

 

час3 електричний струм

 

56

Дізнатися повний перелік доступних одиниць вимірювання для даної величини можна в довідковій системі за допомогою команди ?Units/dimension (dimension – назва величини або розмірності). Наприклад, для одиниць довжини команда має

такий вигляд: ?Units/length.

Одиниці вимірювання згруповані в різні системи одиниць, наприклад: СІ (SI) – міжнародна система одиниць, для якої незалежними одиницями є кілограм, метр, секунда, ампер, кельвін, моль та кандела; СГС (CGS) – система з трьома незалежними одиницями «сантиметр-грам-секунда»; ФФС (FPS)

Британська система «фут-фунт-секунда» та ін.

2.3.2.Дії з використанням одиниць вимірювання

2.3.2.1. Перетворення одиниць вимірювання

Для того щоб перетворити одні одиниці вимірювання на інші, використовується калькулятор одиниць. Він запускається в окремому віконці командою ?UnitsCalculator або з головного меню Tools → Assistants → Units Calculator. Вигляд калькулятора наведено на рис. 2.3. У меню Dimension, що випадає, обирають величину (розмірність); в меню From – одиницю, яка перетворюється; в меню To – одиницю, на яку перетворюється дана одиниця; в полі Convert зазначають кількість, натискання кнопки Perform Unit Conversion починає розрахунок. Результат виводиться в полі Result.

Рисунок 2.3 – Віконце калькулятора одиниць вимірювання (приклад – перетворення 200 футів кубічних на кубічні метри)

57

Перетворення одиниць вимірювання можна проводити в робочому документі з використанням еквівалентної команди Maple convert(). Ця команда є корисною для перетворення не лише одиниць вимірювання, а й будь-яких виразів (див. п. 2.1.4).

Перетворення температур має особливість. У Maple є можливість перетворити абсолютне значення температури за будь-якою шкалою, а також відносну зміну температур. Наступний приклад ілюструє синтаксис відповідних команд.

Приклад 2.6: а) перетворити 27 градусів температури за шкалою Цельсія на градуси Кельвіна; б) перетворити діапазон температур, що дорівнює 27 градусів Цельсія, на градуси Кельвіна; в) перетворити діапазон температур, що дорівнює 27 градусів Цельсія, на градуси за Фаренгейтом.

2.3.2.2. Застосування одиниць вимірювання до виразу

Для того щоб вставити одиниці вимірювання у вираз в робочому документі, необхідно використовувати спеціальні палітри Units (див. п. 1.3.1.3). Наприклад, Units(SI) для міжнародної системи одиниць СІ або Units(FPS) для системи ФФС. На рис. 2.4 а, б показано відповідно вигляд цих палітр.

а б Рисунок 2.4 – Палітри команд для вставки одиниць вимірювання

58

Для вставки будь-якої одиниці вимірювання достатньо на палітрі натиснути на її символ.

Зверніть увагу, що, якщо на палітрі немає символа необхідної одиниці вимірювання, спочатку вставляють у документ пусту позицію [[unit]], в яку потім вводять ім’я одиниці. Пуста позиція є на обох палітрах типу Units.

Необхідно пам’ятати, що якщо використовується одновимірний режим введення (1-D Math input), то значення величини та її одиниця вимірювання є добутком, а не цілісним об’єктом. Тобто, наприклад, швидкість 20 м/с повинна

записуватись як 20*[[m]]/[[s]].

2.3.2.3. Обчислення з використанням одиниць вимірювання

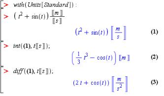
Перед проведенням обчислень, в яких величини фігурують із власними одиницями вимірювання, необхідно підключити оточення Natural або Standard (останнє рекомендується) за допомогою команди with(Units[Standard]). Якщо цього не зробити, то можливі лише перетворення одиниць, а обчислення не дозволені.

Приклад 2.7. Швидкість руху об’єкта дається залежністю від часу у вигляді t2 + sint. Обчислити переміщення та прискорення об’єкта.

Завдання полягає в інтегруванні та диференціюванні заданої функції.

2.3.2.4. Зміна поточної системи одиниць

Під час проведення обчислень усі одиниці вимірювання автоматично зводяться до одиниць, що відповідають поточній

59

системі одиниць. Дізнатися про вид поточної системи можна за

допомогою команди Units[UsingSystem]().

Системою, що використовується за замовчуванням, є система СІ. За необхідності можна змінити систему одиниць командою Units[UseSystem](назва), де в круглих дужках зазначається ім’я системи, наприклад SI, FPS, CGS.

Приклад 2.8. Розрахувати постійну швидкість, з якою автомобіль за 3 години проїхав відстань 132 милі.

Як бачимо, при підключенні оточення Standard система автоматично зводить одиниці вимірювання до поточної системи одиниць (СІ).

Зауважимо, що, як і для будь-якого пакета, для команд пакета Units можна застосовувати послідовності виклику різних типів

(див. п. 1.3.8).

2.3.2.5. Розширення можливостей

У разі необхідності можна самостійно розширити набір розмірностей, одиниць вимірювання та навіть створити власну систему одиниць. Нижче наводяться назви команд пакета Units, що розширюють можливості Maple щодо цього питання:

- додати основну або похідну розмірність:

?Units[AddDimension];

- додати основну одиницю вимірювання:

?Units[AddBaseUnit];

-додати похідну одиницю вимірювання: ?Units[AddUnit];

-додати свою систему одиниць: ?Units[AddSystem].

2.3.3. Наукові константи та властивості хімічних елементів

Система Maple підтримує розрахунки не лише з одиницями вимірювання, але й із науковими константами та величинами,

60