Материал: KTE (1)

Внимание! Если размещение файла нарушает Ваши авторские права, то обязательно сообщите нам

що характеризують властивості хімічних елементів та їх ізотопів. Як і у випадку з одиницями вимірювання, система і тут є гнучкою, тобто дає можливості легкого доступу до вбудованої довідникової бази констант та створення власних.

Пакет ScientificConstants містить усю довідникову інформацію та засоби роботи з нею. Він може бути корисним для розрахунків у багатьох галузях фізики, хімії, інженерної справи і т. ін. Так, усі величини, що містяться в даному пакеті, можна поділити на дві категорії:

а) фізичні константи (наприклад, швидкість світла, маса та заряд електрона та ін.);

б) властивості хімічних елементів та ізотопів (атомні маси, порядкові номери елементів та ін.).

Для кращого розуміння змісту отримуваних рівнянь та перевірки розмірності цей пакет зберігає всі величини разом з одиницями вимірювання.

Ознайомитися з повним списком фізичних констант можна виконавши команду ?ScientificConstants/PhysicalConstants.

Таблиця 2.3 ілюструє деякі константи. З таблиці можна бачити, що до кожної константи можна звертатися як за її ім’ям, так і за скороченим символом.

Таблиця 2.3 – Приклади звертань до деяких констант

Константа

Звертання за ім’ям

Звертання за

 

 

символом

 

 

 

Гравітаційна стала

Newtonian_constant_of

G

 

_gravitation

 

 

 

 

Постійна Планка

Planck_constant

h

 

 

 

Елементарний заряд

elementary_charge

e

 

 

 

Борівський радіус

Bohr_radius

a[0]

 

 

 

Постійна Авогадро

Avogadro_constant

N[A]

 

 

 

 

61

 

GetConstant(ім’я_константи)

Розглянемо, яку інформацію можна отримати про константи і як це зробити. По-перше, для кожної константи зберігаються її ім’я (name), символ (symbol), значення (value), одиниці вимірювання (units), похибка (uncertainty). Здобути інформацію можна командою :

Аналогічно, можна знайти повний список хімічних елементів, які підтримуються системою, за командою

?ScientificConstants/elements. Для кожного елемента зберігаються його ім’я, атомний номер (1-112, 114, 116), хімічний символ, атомна вага (atomicweight), густина (density), спорідненість з електроном (electronaffinity), та ін. Кожен параметр зберігається з одиницями вимірювання та похибками. Дістати загальну інформацію про властивості елементів можна за командою ?ScientificConstants/properties. Детальну інформацію про доступні ізотопи елемента та властивості кожного з них можна отримати за командами відповідно

GetIsotopes() та GetElement().

Приклад 2.9. Отримати перелік ізотопів кисню, властивості кисню та одного з його стабільних ізотопів .

(Властивості ізотопу

в розгорнутому вигляді не показані).

62

Constant(‘ім’я’)

Для того щоб використовувати константи або властивості елементів/ізотопів, необхідно спочатку створити відповідний об’єкт. Об’єкт-константа створюється командою

. Наприклад, для гравітаційної сталої:

Тепер об’єкт з ім’ям G має значення, що дорівнює гравітаційний сталій:

Якщо необхідно дізнатися одиниці вимірювання:

Дізнатися про похибку:

Щоб створити об’єкт, значення якого дорівнює величині певної властивості хімічного елемента, використовують команду

Element(‘ім’я елемента’, ім’я властивості). Наприклад,

для атомної ваги гелію:

Тепер об’єкт з ім’ям Prop має значення, що дорівнює атомній вазі гелію:

Щоб отримати значення властивості в одиницях вимірювання:

63

2.4. Операції та функції математичного аналізу

Область задач математичного аналізу широко покривається засобами системи Maple. За допомогою нескладних mapleфункцій можна обчислювати похідні, інтеграли, проводити аналіз функцій і т. д. Шаблони розв'язання деяких задач (task templates) можна знайти в головному меню Tools → Tasks → Browse. У даному підрозділі ми розглянемо ключові maple-команди, більшість яких використовується в шаблонах задач або доступна через контекстні меню.

2.4.1. Обчислення границь функцій

 

 

 

x a

 

 

 

 

, тобто величини,

Для обчислення границі функції lim

 

f

 

x

 

до якої функція f(x) наближається при наближенні її незалежного аргументу x до значення a, можна використовувати або команди, або готовий шаблон. Палітра шаблонів команд

Expression містить шаблон . Після його вставки в документ необхідно підставити власну функцію, незалежну змінну, значення точки a і натиснути Enter. Цей шаблон еквівалентний

команді > limit(function, x=a, direction), де необов'яз-

ковий параметр direction означає напрямок наближення до точки а: справа – ‘right’ чи зліва – ‘left’. За замовчуванням, коли не заданий direction, система шукає границю при наближенні з обох боків.

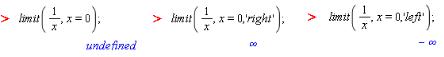
Приклад 2.10. Робота функції limit. Необхідність уточнення напрямку наближення на прикладі функції f x 1 x :

При записі команди limit для нескінченності використовують або слово infinity (також -infinity), або символ із палітри шаблонів Common Symbols.

64

Якщо ви працюєте в класичному інтерфейсі або в стандартному інтерфейсі в режимі 1-D Math Input (у цей режим можна перейти так: Format → Convert to → 1-D Math Input), то майже для всіх maple-функцій математичного аналізу є їх абсолютний аналог, що лише записується з великої літери. Такі аналоги являють собою заданий вираз у звичному математичному вигляді. Наприклад, порівняйте для функції limit:

2.4.2. Обчислення похідних. Функція diff

Існує декілька шляхів обчислення похідних. Найпростіший із

них – використання шаблонів або (останній для частинної похідної) із палітри команд Expression.

Основною Maple-командою, еквівалентом якої є ці шаблони,

є команда diff(function, x1, x2, …, xn), де x1, x2, …,

xn – послідовність незалежних змінних функції function, за якими шукають похідну.

Нехай function – функція однієї змінної. Якщо потрібно знайти похідну першого порядку, то використовують запис diff(f(x)). Для похідної вищих порядків, наприклад порядку 3, використовують запис з оператором послідовності $:

diff(f(x), x$3), що еквівалентно diff(f(x), x, x, x) або diff(diff(diff(f(x), x), x), x).

Нехай function – функція декількох змінних. Тоді шукають частинні похідні. Наприклад, для обчислення похідної вигляду

5 f x, y використовують запис diff (f(х, y), x$3, y$2).

x3 y2

Для режиму 1-D Math Input також має місце аналогічна функція Diff, що лише відображає зручний математичний вигляд похідної, але не знаходить її:

65