Материал: Hydrogeodynamics101

Внимание! Если размещение файла нарушает Ваши авторские права, то обязательно сообщите нам
  1. Оползни бортов карьеров, вызыванные напорными водами

Многие крупные оползни на карьерах вызваны силовым воздей­ствием подземных вод: на каждый единичный объем горной породы влияют сила гидростатического взвешивания, направленная верти­кально вверх (см. раздел 1.3), и гидродинамические силы, направ­ленные вдоль линий тока фильтрационного потока и имеющие рав­нодействующую Ф0 = у0/ (см. раздел 1.5, формулу (1.71)).

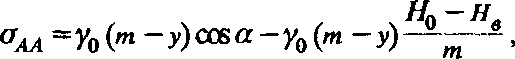
Рассмотрим наклонный борт карьера, на котором располагаются внутренние отвалы (рис. 8.1). В основании борта под толщей аргил­литов лежит напорный пласт известняков с напором на кровлю Н0. Под влиянием перепада напоров через аргиллиты идет восходящая фильтрация воды, приводящая к уменьшению эффективных напря­жений на скелет глинистых пород. Учитывая, что сила гидродинами­ческого давления направлена по нормали к пласту, причем /» Ш0HJ/m, эффективное нормальное напряжение по площадке АА не­трудно определить по формуле

(8.1)

где у0 — объемный вес пород с учетом взвешивания (см. раздел 1.3).

Отсюда видно, что при больших напорах гидродинамические силы Ф, выражаемые формулой

(8.2)

могут существенно снижать эффективные напряжения на скелет глинистых пород, вплоть до нулевых или отрицательных значений, что приводит к резкому уменьшению сил трения и интенсивному набуханию пород. В результате падает сопротивление массива сдви­говым деформациям и происходит оползень борта и внутренних от­валов, поверхность скольжения которого в нижней части обычно приурочена к контакту аргиллитов с водоносным пластом.

Уже из этого примера видно, что решающее влияние на устой­чивость откоса оказывает соотношение проницаемостей отдельных слоев, определяющее и направление гидродинамических сил, и их величину (градиент фильтрации). Отсюда следует, что для правиль­ного прогноза устойчивости и разработки защитных мероприятий необходимо иметь ясное представление о профильной структуре фильтрационного потока в прибортовом массиве. В простейших слу­чаях для этого можно использовать аналитические зависимости, а в

более сложных — ориентироваться на математические профильные модели. Для учета в этих моделях плановой структуры фильтраци­онного потока вблизи карьера предварительно следует построить сетку планового потока и полученные на ней ленты тока привести к плоским (см. раздел 8.3.3).

Рис. 8.1. Схема расчета эффективных напряжений вблизи откоса

  1. Фильтрационные деформации пород вблизи горных выработок

Гидродинамическое давление является причиной механическо­го выноса отдельных фракций раздельнозернистых грунтов или на­рушения их структуры в целом. Соответствующие деформации мас­сива горных пород принято называть фильтрационными [22 ]. Не­редко они приводят к нарушению устойчивости горных выработок.

Рассмотрим простейшую задачу о равновесии элементарного объема несвязного грунта на поверхности затопленного фильтрую­щего откоса (рис. 8.2). Составим уравнение действующих сил — веса G, силы взвешивания Рв, силы трения Fmp и гидродинамического давления Ф; учитывая, что последнее направлено в дан­ном случае перпендикуляр­но откосу (кстати, почему?) и стремится, таким образом, к выпору грунта, получаем следующее условие предель­ного равновесия:

(Рп-\-Я)йР=Ъ

(8.3)

ще р — угол трения;

знаками п и Т обозначены состав­ляющиеся!, нормаль- Рис. 8.2. Схема оценки подводного вы- ные и касательные

пора грунта к откосу.

Помня, что для единичного объема грунта \G— тв\ =ув, а IФI 0/, приходим к равенству

в cos ап01)tgp=Ye sin ап, <8.4)

где ап — предельный угол откоса, устойчивого на выпор.

Таким образом, для определения предельного угла п необходи­мо знать градиент фильтрации вблизи откоса, который можно пред­варительно получить на профильной бумажной модели.

Более сложный характер приобретают фильтрационные дефор­мации на незатопленном откосе (рис. 8.3). Здесь, наряду с выпором, развивается процесс сноса частиц грунта с поверхности откоса под­земными водами, вытекающими на эту поверхность. Процесс этот называемый оплываникем откоса, в конечном счете и определяет его устойчивый профиль, в частности, предельную длину языка оплыва­ния 1опл. Теорией доказано [22 ], что величина 1опл для данного грунта однозначно определяется удельным притоком к откосу да, который и является, таким образом, основным исходным параметром для про­гноза деформаций.

Для подземных горных выработок одну из наиболее опасных фильтрационных деформаций представляет собой прорыв подзем­ных вод через водоупорный защитный слой. Например, для горизон­тального штрека (рис. 8.4) предельное условие равновесия для приз­мы ABCD имеет вид

^ + 7'тр=^» (8.5)

масса призмы ABCD;

где G -

F -

_mp

Г

силы трения по боковым граням АС и BD;

равнодействующая сил гидростатического давле­ния по грани CD.

Рис. 8.3. Схема оплывающего откоса:

I - первоначальное положение откоса; 2 - оплывающий песок

Рис. 8.4. Схема оценки возможности прорыва подземных вод в штрек

Отсюда получаем предельное значение напора, отвечающее ус­ловию начала прорыва:

(8.6)

где Хс — удельное сопротивление породы сдвигу;

уп — объемный вес водоупорных пород, имеющих мощность тв.

Итак, для оценки возможности прорыва необходимо знать ожи­даемый напоры по трассе штрека.

  1. Изучение деформаций горных пород над выработанным пространством

При сплошной выемке полезного ископаемого без последующей закладки вышележащие горные породы смещаются в сторону выра­ботанного пространства (рис. 8.5). Ближайшие к нему слои (зона а) обрушаются в беспорядке, выше — толща прогибается плавно и со­храняет слоистое строение, но в нижней ее части образуются трещи­ны как вертикальные (секущие), так и расслоения, идущие вдоль напластования (зона б на рис. 8.5). Проницаемость пород здесь резко увеличивается по сравнению с естественной, что требует всесторон­него учета при выемке полезного ископаемого под реками и водоема­ми, способными обеспечить катастрофические водопритоки в шахту через вертикальные техногенные трещины. Выше располагается зо­на (в) пород, практически не изменяющих своей вертикальной про­ницаемости.

Рис. 8.5. Схематический разрез подработанной толщи горных по­род

Для угольных месторождений, например, где характерно частое чередование водоносных и водоупорных слоев, в подработанной тол­ще можно выделить две основные зоны: верхнюю, где образуются лишь трещины расслоения и гидравлическая связь с выработанным пространством практически отсутствует , и нижнюю, где образуются также водопроводящие трещины, пересекающие подоупоры и обес­печивающие прямую связь водоносных слоев с горными выработка­ми. Понятно, что определение в натуре верхней границы зоны водо­проводящих трещин (ЗВТ) имеет большое практическое значение - прежде всего для установления безопасной глубины ведения горных работ под рекой или водоемом. Опыт показывает, что с наибольшим эффектом здесь могут использоваться специальные гидрогеологиче­ские исследования; остановимся на некоторых из них [9 ].

S Метод наблюдений за напорами основан на том, что в пре- ВТ водоносные слои, дренируясь в выработанное пространст­во, снижают свои напоры, в то время как выше ЗВТ напоры остаются практически неизменными. Таким образом, имея ряд пьезометров, оборудованных на различные слои, можно определить верхнюю гра­ницу ЗВТ. Метод, однако, пригоден лишь при достаточно частом переслаивании водоносных и водоупорных пород, важно также, что он требует большого объема буровых работ.

[~2] Метод сравнения удельных водопоглощений1 основан на сопоставлении данных опробования (нагнетаниями) отдельных изо­лированных интервалов скважины до и после выемки полезного ис­копаемого. За верхнюю границу ЗВТ принимается тот интервал, где в обоих случаях получены близкие результаты. В отличие от пред-; идущего метода данный подход может быть использован и в «сухих» слоистых толщах. Однако у этого метода есть серьезный недостаток: разница в значениях удельного водопоглощения может вызываться не только вертикальными трещинами, но и трещинами расслоения; поэтому установленная высота ЗВТ может оказаться резко завышен­ной.

ГЗ] Метод расходометрического каротажа выявляет зоны при­тока и оттока воды в скважинах и позволяет зафиксировать даже очень тонкие трещины, сообщающиеся с выработанным пространст­вом и встреченные скважиной непосредственно или через трещины расслоения. Характерная расходограмма для скважины, пересекаю­щей верхнюю границу ЗВТ, показана на рис. 8.6 [9 ] в виде графика изменения расхода в стволе скважины Q по глубине z.

|~4] Метод наблюдений за норовым давлением в породах слабопроницаемых слоев базиру­ется в общем на том же принципе, что и первый метод. Однако на­блюдения ведутся не по открытым пьезометрам, которые оказыва­ются здесь излишне инерционны­ми, а по датчикам порового давле­ния (см. раздел 5.4), устанавлива- ; емым в отдельные изолированные интервалы одной и той же скважи­ны вдоль мощности слабопрони-

J5* цаемого пласта. Этот метод наибо­лее эффективен для оценки за­щитных свойств мощных водб- Рис. 8.6. Характерный график упорных пластов, тем более что он расходометрического карота- позволяет зафиксировать и вос- жа, скважины в подработанном становление этих свойств в ре-

массиве. зультате повторного уплотнения

Участки: 1 - «сухой»; 2 - притока воды; „„г. „

3 - шпрошщЛыЬ 4 - оттот воды: з глинистых пород после деформа-

- зона водопроводящих трещин ЦИИ.

В целом рассмотренная зада­ча может служить хорошей иллюстрацией эффективного использо­вания подземных вод как ицдикатора деформационных процессов.

  1. Обоснование дренажа как метода борьбы

с деформациями пород при горных разработках

Горный дренаж справедливо рассматривается как эффективное средство борьбы с деформациями пород. Поэтому естественно, что его проектирование часто сводится к решению типично гидрогеоме- ханических задач, ще фильтрационные расчеты взаимно увязыва­ются с оценками устойчивости горных пород.

  1. Влияние дренажа на напряженное состояние пород в откосах

Проводя оценки устойчивости откоса с учетом гидростатических и гидродинамических сил (см. раздел 8.1.2) и без учета их, можно составить представление о предельно возможной эффективности и о целесообразности дренажа, устраняющего влияние этих сил. Затем ведется расчет конктерных дренажных систем, которые чаще всего представлены контурами скважин, параллельными простиранию от­коса. Выделяя на плановой модели характерные ленты тока (см.

Раздел 8.3.3), нетрудно свести такой расчет к простейшей одномер­ной задаче о бесконечной цепочке скважин. Для этого используется метод эквивалентных фильтрационных сопротивлений (см. Раздел

  1. . Так как обеспечение максимального технико-экономического эффекта в период эксплуатации карьера достигается при максималь­ных понижениях напора, уровень в скважинах обычно задается от­вечающим отметке нижнего водоупора (рис. 8.7,6 и в) или отметке самоизлива (рис. 8.7,а), т.е. на скважинах выполняется условие пер­вого рода. Рассчитав согласно изложенному в разделе 3.4 (формула (3.62)) средний уровень на линии ряда скважин, можно без труда построить депрессионные (пьезометрические) кривые для различ­ных расстояний между скважинами, а затем оценить предельно до­пустимые углы откоса для различных расчетных положений уровня подземных вод вблизи выработки. Оптимальные параметры дренаж­ного ряда окончательно выбираются путем экономического сопо­ставления возможного выигрыша в объемах земляных работ (за счет увеличения угла борта) с затратами на дренаж.

О

б

Рис. 8.7. Схемы расположения дренажных скважин для различных типов пласта:

а - неограниченного; б - полуограниченного; в - ограниченного («полосового»)

Расчеты, проведенные для широкого круга гидрогеологи чески х условий [9 ], свидетельствуют о том, что улучшение общей устойчи­вости откоса (увеличение его допустимого генерального угла) путем дренажных работ наиболее целесообразно при наличии вблизи отко­са или непосредственно в подошве его напорных горизонтов, не дре­нируемых самим откосом (см. раздел 8.1.2). В этих условиях (см. рис. 8.7,а) дренаж самоизливающими или водопонижающими скважина­ми не только обеспечивает более благоприятное для устойчивости напряженное состояние пород, но и способствует предотвращению или ограничению процессов набухания глинистых пород (см. раздел

  1. . Известны случаи, когда снятие напоров вблизи выработки позволяло увеличить допустимый угол откоса почти в два раза, что, например, при глубине искусственных выемок (карьеров) примерно 100-150 м давало возможность сократить объемы земляных работ на десятки миллионов кубометров.

Вместе с тем при горизонтальном залегании водоносных пла­стов, дренируемых непосредственно откосом (см. рис. 8.6,6 и в), дополнительный дренаж скважинами обычно мало влияет на напря­женное состояние пород вблизи откоса и практически не сказывается на их прочностных характеристиках.

Отсюда следует, что целесообразные пределы дренажа должны в каждом конкретном случае очень внимательно обосновываться па­раллельными расчетами устойчивости — во избежание «бросовых» или неоправданно дорогостоящих дренажных мероприятий. Более подробно этот вопрос рассмотрен в работе [9 ].