Материал: Elinor_Ostrom_-_Upravlyaya_obschim_Evolyutsia_institutov_kollektivnoi_774_deyatelnosti-1

Внимание! Если размещение файла нарушает Ваши авторские права, то обязательно сообщите нам

Э.Остром. Управляя общим

4.2представлено точкой D8. К тому же они гарантировали друг другу пропорциональную долю в допустимом дебите (если в будущем он изменится) и достигли договоренностей, позволявших тем, кого сокращение затронуло в наибольшей степени, получать возможность выменивать права на воду у других производителей, пожелавших продать свои права на ежегодной основе.

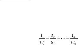
харда Зельтена (см. [Selten, 1978b]), в соответствии с которым, если некоторое количество индивидов (n) распределяют акр-фут воды (s) в соответствии со стандартом распределения, определяющим, какое количество воды (si) достанется i-тому члену группы. Веса, присвоенные каждому члену группы, представляют собой его долю в прошлом. Справедливо распределение, удовлетворяющее следующему условию:

8Интересно отметить, что процедура, использованная в бассейне Рэймонда и затем в Западном и Центральном бассейнах и бассейне Сан-Габриель, ведет к такому решению проблемы, которое близко к рекомендованному Нэшем в [Nash, 1950]) (но не совпадает с ним), а именно к точке C. Взаимное предписание не стало «тем самым» решением, использованным во всех без исключения судебных процессах, шедших в Южной Калифорнии. Например, в Сан-Фернандо-вэлли городу Лос-Анджелесу удалось получить и цепко удержать преимущественные права на воду. Верховный суд штата Калифорния отменил первоначальное решение суда первой инстанции наложить на все участвующие стороны взаимное предписание. По сути дела, Верховный суд штата обнаружил, что хотя пропорциональное деление сокращения справедливо, оно не является единственным справедливым решением, которое может использоваться в этом классе ситуаций (см. [City of Los Angeles v. City of San Fernando, Superior Court Case No. 650073, 1968], [Blomquist, 1988e]). Производители воды в бассейне Чинно достигли договоренности, согласно которой схема распределения воды была близка к схеме взаимного предписания, однако она принимала во внимание различные конкретные особенности, которые могли бы возникнуть, если бы эта схема применялась механически (см. [Lipson, 1978]). Я выражаю свою признательность Рою Гарднеру за возможность обсудить с ним логику этих результатов.

216

Глава 4. Анализ институциональных изменений

Короткое судебное заседание заслушало претензии со стороны Компании по землеустройству и водоснабжению Калифорнии и Мичигана. На этом же заседании Верховного суда отдел водных ресурсов департамента общественных работ Калифорнии был назначен инспектором по водным ресурсам (watermaster) — официальным наблюдателем, уполномоченным осуществлять надзор за выполнением всеобъемлющего соглашения. После тщательного обдумывания судья огласил окончательное решение9 (от 23 декабря 1944 г.10), в котором он вместо собственных формулировок воспроизвел текст достигнутых договоренностей. Этим решением суд постановил, что все права, зафиксированные в договоренностях и фиксирующие принцип равенства сторон, будут действительными при всех будущих спорах, причем всем сторонам запрещалось иметь больше прав, чем они имели согласно их договоренностям. Этим же решением инспекция по водным ресурсам, т.е. инстанция, уполномоченная осуществлять надзор, наделялась и полномочиями по принуждению к выполнению договоренностей, а также функциями супервайзера в отношении рынка прав в форме пула (exchange pool), организованного участниками всеобъемлющего соглашения. В дополнение к соглашениям о лизинге, заключаемым в рамках пула, подтвержденные судом права могли сдаваться в аренду или продаваться внешним агентам, не являющимся членам пула, при условии что эти передачи прав будут зарегистрированы инспекцией по водным ресурсам. Две трети затрат на содержание инспекции по водоснабжению оплачивают стороны всеобъемлющего соглашения, а одну треть оплачивает штат Калифорния. Это решение суда было оспорено в Верховном суде

9В данном процессе судья находился в очень непростом положении. Предложенное решение было поистине радикальным, — оно не базировалось ни на какой из существующих правовых доктрин. Если бы он одобрил согласованные самим сторонами договоренности, без апелляции к имевшимся у него прецедентам, его решение мог бы оспорить суд более высокой инстанции. С другой стороны, в этом деле не просматривалось никакой альтернативы, на которой он мог бы базировать свое решение. В этой ситуации судья был таким же неуверенным и неопределившимся, как

и участники процесса.

10City of Pasadena v. City of Alhambra et. al., Superior Court Case C-1323.

217

Э. Остром. Управляя общим

штата Калифорния, который оставил его в силе11. Верховный суд США отказался принимать к рассмотрению иск о пересмотре этого дела.

Посредством обсуждения и принятия обязывающего соглашения стороны положили конец гонке выкачивания, затратив на это существенно меньше того, что пришлось бы им затратить, если бы они выбрали вариант продолжения судебного разбирательства12. Участники получили также права на защищенные квоты откачки воды из бассейна, настолько жестко очерченные, что их можно было выставлять на рынок. Появился рынок этих прав на воду, на котором большинство мелких компаний водоснабжения продали свои права более крупным, для которых эти права имели куда большую ценность. Сегодня в зоне этого бассейна работают 17 производителей, почти все они представляют собой муниципальные или частные компании по водоснабжению. Только три землевладельца, имеющие участки на поверхности, продолжают производить воду, выкачивая ее из бассейна. Те зоны бассейна, которые не имели доступа к привозной воде, в 1953 г. образовали муниципальную корпорацию по водоснабжению и в 1955 г. начали получать воду, транспортируемую сюда из других мест.

4.2.2.Переговоры о порядке использования ресурсной системы Западного бассейна

Западный бассейн (West Basin) с соответствующей территорией на поверхности 170 кв. миль представляет собой значительно более обширную зону, чем бассейн Рэймонда. Расположенный вплотную к океану, он простирается от города Инглвуд до полуострова Палос Вердес. Ситуация в Западном бассейне была не такой благоприятной для переговоров, как та, с которой имели дело производители из бассейна Рэймонда. Главным преимуществом Западного бассейна для местных производителей стало то обстоятельство, что их расположенные выше соседи уже взяли на себя затраты по

11Cal. 2d 908, 207 P. 2d 17 (1949).

12Если бы вердикт был оспорен в апелляционном суде, то не удалось бы избежать апелляционного процесса, чреватого большими временными и денежными затратами.

218

Глава 4. Анализ институциональных изменений

внедрению инноваций и уже разработали формулу достижения согласованной в ходе переговоров договоренности, которая большинством потенциальных участников судебных тяжб воспринималась как справедливая — в условиях сложившегося юридического климата Калифорнии. Недостатки, присущие Западному бассейну, включали в себя, во-первых, большое число производителей (в ходе судебного разбирательства было названо около пятисот участников), во-вторых, отсутствие единственного доминирующего производителя и, в-третьих, существенную асимметрию рисков в отношении вторжения соленой воды (те, кто качал воду ближе к океану, могли потерять свои скважины намного раньше, чем те, чьи скважины располагались в глубине территории). Проблема количества производителей в определенной мере компенсировалась высокой степенью концентрации объемов выкачивания грунтовой воды из данного бассейна, — на 19 производителей приходилось почти 85% процентов общего количества воды, извлекавшейся из-под поверхности, т.е. из Западного бассейна13.

Ситуация превышения изъятия над поступлением сложилась здесь на десять лет позже, чем в бассейне Рэймонда. Уже намечавшееся превышение было усугублено бурной индустриализацией региона в годы Второй мировой войны, не в последнюю очередь вследствие наличия здесь большого числа нефтедобывающих компаний, которые постепенно увеличивали водоизвлечение. В начале 1940-х годов скважины, расположенные на побережье, стали демонстрировать признаки нарастания засоленности. Однако многие производители, выкачивавшие воду из подземного бассейна, продолжали считать, что повышенная засоленность скважин представляет собой всего лишь «местную» проблему, характерную для скважин, расположенных у самого берега, а не общую проблему, которая со временем будет характерна для всего региона. В течение 1943 г. 9 муниципалитетов поселений, расположенных на побережье, несколько раз проводили совместные совещания, на которых обсуждалась значимость продолжающегося засоления их скважин. Было решено, что для получе-

13Таким образом, 19 производителей могли функционировать как эффективная коалиция, контролируя бóльшую часть производства воды, выкачиваемой из бассейна. О концепции минимальной контролирующей группы см. [Schelling, 1978].

219

Э. Остром. Управляя общим

ния реалистической и разделяемой всеми картины структуры бассейна грунтовых вод необходимо иметь больше информации. Муниципалитеты этих поселений и подписали соглашение о сотрудничестве с US Geological Survey и Los Angeles County Flood Control District, в соответствии с которым необходимо было осуществить первоначальное исследование проблемы грунтовых вод в регионе бассейна14.

Отчет, законченный в 1944 г., нарисовал мрачную картину. Все скважины на побережье были испорчены вторжением соленой воды. Обследование показало отсутствие у данного бассейна каких бы то ни было естественных барьеров на пути дальнейшего проникновения морской воды. Исчезновение угрожало не какому-то отдельному фрагменту, а всему бассейну в целом. Отчет содержал общую схему границ бассейна и общее описание его проблем, но в нем не было точных оценок допустимого дебита и текущего уровня фактической откачки воды. Однако теперь местным производителям больше нельзя было исходить из того, что засоление прибрежных скважин представляет собой ограниченное, чисто местное явление.

В декабре 1944 г. все крупнейшие производители провели экстренную встречу, на которой был сформирован рабочий комитет для рассмотрения вопроса, что должно быть следующим шагом. Этот комитет сформулировал три главных требования:

1.В интересах всех заинтересованных производителей должна быть создана работающая на постоянной основе организация, в рамках которой производители могли бы продолжать обсуждать общие проблемы и посредством которой они могли бы осуществлять совместные действия.

2.Должен быть составлен технический обзор альтернативных источников водоснабжения данной зоны.

14Половина суммы 25 тыс. долл., предназначенной на эти цели, была профинансирована из федерального бюджета, одну четверть суммы заплатило графство, оставшаяся четверть была собрана с жителей девяти поселений, подписавших соглашение, пропорционально количеству жителей (6,25 тыс. долл. были распределены между всеми жителями девяти поселений поровну).

220