Досліджуючи роль домішок на формування залишкового опору ρд, нідерландський фізик Комерлінг-Оннес у 1911 році виявив дивне явище: при температурі рідкого гелію 4,2К електричний опір чистої ртуті падав до нуля. Це явище одержало назву надпровідність. Уже в 1913 році йому була присуджена Нобелівська премія.
Температура
Тк
переходу у надпровідний стан називається
критичною температурою. Для різних
матеріалів вона різна. Наприклад, для
олова Тк
= 3,73К, для свинцю Тк
= 7,19К. Привабливо знайти матеріал з
критичною температурою цього фазового
переходу другого роду близькою до
кімнатної, що дало б зменшення втрат
електроенергії практично до нуля.
Динаміка досліджень у цьому напрямку
відображає рис. 5.4. Видно, що метали та
їх сплави (а) мають н
айбільшу
к
ритичну
температуру близьку до 20К. Наряду з цим
була виявлена властивість надпровідності
серед метало-оксидних керамік (б). В
березні 1987 року в США групою вчених під
керівництвом Ву було відкрите явище
високотемпературної надпровідності.
Критична температура перевищила
температуру рідкого азоту і навіть
кисню!
Теорія надпровідності кристалічних провідників була розроблена в 1957 році американськими вченими Бардіним, Купером, Шріффером і радянськими Боголюбовим, Абрикосовим. Вона одержала назву БКШ-теорія по першим буквам американських вчених. Розглянемо в загальних рисах її фізичну суть.
Електрон
поляризує кристалічну гратку за рахунок
притягування до себе позитивних іонів.
Ця область кристалу називається поляроном
(рис 5.5). Разом із рухом електрона
переміщується і деформована (поляризована)
область кристалу. Таким чином виникають
пружні коливання гратки, тобто генеруються
фонони. З цими фононами в
заємодіє
інший електрон, як правило з протилежним
спіном. Таким чином між електронами
встановлюється зв’язок за рахунок
обміну фонон
ами.
Така пара електронів була названа
куперівською парою. Зрозуміло, що
відстань між електронами, які об’єднались
в пару становить декілька міжатомних
відстаней і тому сила кулонівського
відштовхування значно менша, ніж сила
зв’язку. При утворенні таких пар енергія
системи зменшується на величину е
нергії
зв’язку Езв
електронів у парі, а енергія кожного
електрона – на 0,5Езв.
Тому змінюється і енергетичний спектр
електронів, об’єднаних в куперівські
пари (рис.5.6,а) порівняно з спектром
нормальних електронів (рис.5.6,б).
Між
енергетичним рівнем першого збудженого
стану куперівських пар і основними
рівнями утворюється енергетична щілина
Ещ.
Так як в куперівські пари об’єднуються
електрони з протилежними спінами, спін
куперівської пари дорівнює нулю. А це
значить вони мають властивості бозонів,
тобто на збуджений рівень (в режимі
протікання струму) може переходити не
одна пара а безліч. Для релаксації
струмового стану куперівська пара
повинна віддати енергію Ещ
фононам. Але якщо температура кристалу
така, що енергія фононів менша, ніж Ещ,
то фактично немає частинок, яким можна
було б віддати зайву енергію, і куперівські
пари не руйнуються. Режим протікання
струму зберігається. А це і означає
надпровідний стан.
Намалюємо енергетичну діаграму
напівпровідника (рис.5.7). Енергію будемо
відраховувати від дна зони провідності.
З рисунка видно, що
.
Так як електрон-ний газ в напівпровідниках
не вироджений, скористаємось повною
статистичною функцією розподілу
Максвелла-Больцмана по енергіям

![]()
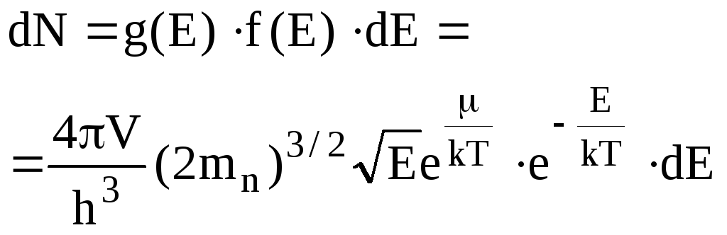
Тоді концентрація електронів в інтервалі енергій від Е до Е+dЕ в зоні провідності буде дорівнювати
. (5.16)
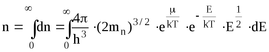
Повна концентрація електронів в зоні провідності при сталій температурі знайдеться шляхом інтегрування (5.16)
.
Так
як функція
із зростанням енергії швидко зменшується,
верхню межу інтегрування Еверх
можна замінити нескінченністю ∞.
.
Замінюючи
=х
,
маємо
.
Враховуючи значення табличного інтегралу
,
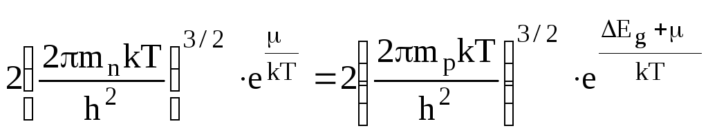
одержуємо концентрацію електронів
. (5.17)
Аналогічно для концентрації дірок маємо
. (5.18)
Тут NC і NV – ефективна концентрація станів у зоні провідності і у валентній зоні відповідно. Так як μ і μI від’ємні (див. рис.5.7) можна зробити висновок: чим далі знаходиться рівень Фермі від границі зони тим менша концентрація відповідних вільних носіїв заряду – електронів у зоні провідності, дірок у валентній зоні. Добуток концентрацій електронів і дірок
(5.19)
Такий механізм надпровідності може реалізуватись тільки в кристалічних матеріалах. Метало-оксидні кераміки (спечені окисли металів) – це невпорядковані системи, і розглянутий механізм надпровідності для них неприйнятний. На даний час механізм високотемпературної надпровідності ще не з’ясований.
не залежить від положення рівня Фермі, а визначається тільки шириною забороненої зони ΔЕg і температурою. Це співвідношення називається законом діючих мас.
Для власних напівпровідників концентрація
електронів і дірок однакові, так як
кожний перехід електрона в зону
провідності супроводжується виникненням
вільної дірки у валентній зоні. Прирівнюючи
ліві частини рівнянь (5.17) і (5.18) після
спрощення враховуючи, що
маємо

.
Знайдемо μ
. (5.20)

При
Т=0К
,
тобто рівень Фермі знаходиться посередині
забороненої зони. З ростом температури
він зміщується від середини зони в
залежності від співвідношення ефективних
мас: (рис.5.8) при mp>mn
вверх, при
mp<mn
вниз.
Підстановка
(5.20) в (5.17) після
елементарних спрощень дає
.
(5.21)
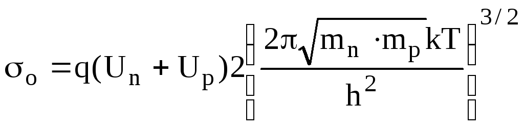
Індекс і означає, що мова йде про власний напівпровідник. Електропровідність власних напівпровідників складається із електронної і діркової компонент, тобто
.
(5.22)
В області високих температур рухливість ~ Т-3/2, тому

~
Т0
не залежить від температури. Функцію
(5.22) питомої електропровідності власних
напівпровідників від температури зручно
зображати у напівлогарифмічних
координатах
,
коли вона уявляє пряму лінію, рис.5.9. По
нахилу цієї лінії можна визначити ширину
забороненої зони напівпровідника ΔЕg
![]()
.

Намалюємо
зонну діаграму донорного напівпровідника,
рис.5.10. При низьких температурах
іонізуються атоми донорної домішки,
так як для переходу електрона із валентної
зони в зону провідності енергії теплового
збудження недостатньо. Тому генеруються
вільні електрони і зв’язані іони
донорних атомів. Концентрація електронів,
згідно з формулою (5.17), дорівнює
.
Концентрацію іонізованих донорів рд
запишемо, скориставшись формулою (5.18),
в якій ефективну кількість станів у
валентній зоні NV
замінимо на концентрацію донорної
домішки Nд,
так як саме вона являється ефективною
кількістю станів для позитивних іонів
донорних атомів,
.
Так як кожний електронний перехід
приводить до появи одного вільного
електрона і одного позитивного іона,
концентрація електронів і іонів однакова,
n
= pд.
Із рис.5.10.
видно, що
.
Таким чином, одержуємо
. (5.23)
Рівень Фермі при Т=0К знаходиться посередині між дном зони провідності і донорним рівнем. Концентрацію електронів знайдемо після підстановки (5.23) в (5.17)
. (5.24)
Аналогічно знаходиться концентрація дірок р у акцепторному напівпровіднику
. (5.25)
Е
лектропровідність
зумовлена носіями одного знаку. Тому
(5.26)
![]()
. (5.27)
Графік температурної залежності домішкової електропровідності (рис.5.11) зображають у таких же напівлогарифмічних координатах, як і власну електропровідність (див. рис.5.9). Нахил графіка дає можливість знайти енергію активації домішкових атомів ЕD чи EA.