Материал: Chast3giper

Внимание! Если размещение файла нарушает Ваши авторские права, то обязательно сообщите нам
    1. Закон радіоактивного розпаду

Знайдемо закон зміни з часом кількості атомів, що зазнали радіоактивного перетворення. Нехай спочатку маємо Nо радіоактивних атомів. Очевидно, що кількість dN атомів, які розпадаються за час dt буде пропорційна цьому часові і кількості N атомів, які на цей момент ще не розпалися

. (9.13)

Знак (-) показує, що кількість атомів, які не розпалися, зменшується.

- стала радіоактивного розпаду показує долю атомів, що розпадаються за одиницю часу. Для кожного радіоактивного елементу це величина стала, але різна для різних елементів.

Інтегруємо рівняння (9.13) з початковими умовами: про t = 0 N = No.

. (9.14)

Кількість атомів, що розпалися

. (9.15)

Час Т, за який розпадається половина всіх радіоактивних атомів, називається періодом піврозпаду. Для різних елементів він різний і лежить в межах від 310-7 сек. до 51015 років. Знайдемо зв’язок між періодом піврозпаду Т і сталою розпаду λ. Для цього у (9.14) підставимо t = T, N=0,5No. Одержуємо

. (9.16)

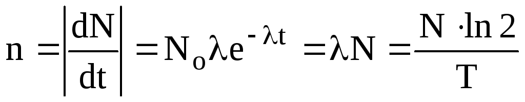
Кожний радіоактивний препарат характеризується активністю – це швидкість розпадів

. (9.17)

Активність тим менша, чим менше радіоактивних атомів залишилось і чим більший період піврозпаду. Вимірюється активність в 1/с, або 1 Кюрі = 3,71010 1/с.