Таким чином, орбітальний магнітний момент атома і його проекція теж змінюються дискретно.
Крім орбітальних електрон має і спінові механічний Ls і магнітний Ms моменти, які теж квантуються. Відношення цих моментів дає спінове гіромагнітне відношення
,
(8.11)
яке, як показали вимірювання, в два рази більше, ніж орбітальне.
Магнітний момент мають і ядра атомів, але його величина на 2÷3 порядки менша від магнітного моменту електрона, і тому у більшості випадків ним нехтують.
Таким чином, для знаходження магнітного моменту атома необхідно векторно, з врахуванням квантування додати всі орбітальні і спінові магнітні моменти усіх його електронів. Для повністю заповнених електронних оболонок результуючий орбітальний і спіновий моменти дорівнюють нулю, а для незаповнених – відмінний від нуля. Отже такі атоми мають постійний магнітний момент.
Р
озглянемо
рух електрона при відсутності зовнішнього
магнітного поля по коловій орбіті
радіусом r з кутовою швидкістю ωо
(рис.8.6). На нього діє доцентрова сила
,
природа якої зараз нас не цікавить. При
накладенні зовнішнього магнітного поля
Во
на електрон буде додатково діяти сила
Лоренца
,
направлена в нашому випадку теж до
центра орбіти. Під дією цих двох сил
зміниться кутова швидкість. Вона зросте
на величину ωL,
яка називається частотою Лармора, і
стане рівною
.
По другому закону Ньютона
.
Розкриваючи
дужки і нехтуючи доданком, який містить
,
так як він набагато менший за інші із-за
нескінченно малого значення частоти
Лармора (
),
одержуємо
. (8.12)
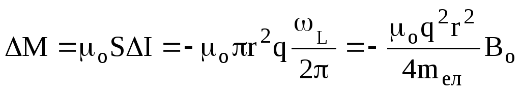
Збільшення кутової швидкості приводить до зростання орбітального струму електрона, а отже і орбітального магнітного моменту на величину так званого індукованого магнітного моменту
. (8.13)
Цей магнітний момент направлений проти зовнішнього поля Во. Отже діамагнетики намагнічуються в напрямку, протилежному зовнішньому полю і послаблюють його..
У випадку, коли зовнішнє поле Во не перпендикулярне площині орбіти, виникає прецесія орбіти навколо цього поля, подібно дзизі. При цьому також виникає індукований магнітний момент, але дещо менший. Якщо змінити напрямок зовнішнього магнітного поля, індукований магнітний момент теж змінить напрямок у буде послаблювати намагнічуюче поле.
Парамагнітні
властивості характерні речовинам,
електронні оболонки атомів яких не
повністю заповнені, тобто атоми мають
постійний магнітний момент М, або
уявляють собою постійні магнітні диполі.
Другою умовою існування парамагнітного
ефекту є слаба в
заємодія
цих диполів між собою. Відомо, що
потенціальна енергія U
магнітного диполя М у зовнішньому полі
напруженістю Н залежить від кута θ між
ними (рис.8.7)
.
(8.14)
Мінімальне значення буде при θ = 0о. Тому всі диполі намагаються зорієнтуватись у напрямку зовнішнього поля Н, викликаючи його підсилення. Результуючий магнітний момент речовини складається із проекцій магнітних моментів окремих атомів на напрямок зовнішнього поля. Тепловий рух викликає дезорієнтацію магнітних моментів окремих атомів, і чим вища температура, тим сильніша ця дезорієнтуюча дія і тим менша намагніченість і магнітна сприйнятливість. При певній температурі встановлюється динамічна рівновага між орієнтуючою дією поля і дезорієнтуючою дією теплового руху.
Вважаючи, що кут θ може приймати будь-яке значення, і скориставшись Больцманівським законом розподілу цих кутів, французький фізик П.Ланжевен (1872-1946) розрахував намагніченість одиниці об’єму Jm і магнітну сприйнятливість χ
,
. (8.15)
Видно, що Jm ~ H, а χ ~ Т-1 у відповідності із законом Кюрі.
Відмітимо, що речовина буде парамагнетиком, коли підсилення магнітного поля за рахунок орієнтації магнітних диполів буде перевищувати діамагнітний ефект.
Парамагнітні властивості мають і вільні електрони. В зоні провідності знаходяться електрони з протилежно направленими спінами і спіновими магнітними моментами приблизно в однаковій кількості. Результуючий спіновий магнітний момент електронного газу дорівнює нулю. Під дією зовнішнього магнітного поля частина спінів, „перекидається” (змінює напрямок на протилежний), щоб потенціальна енергія їх була мінімальною у відповідності з формулою (8.14). В результаті кількість електронів з протилежними спінами становиться не однаковою. Виникає результуючий магнітний момент, який і підсилює зовнішнє поле.
У розд. 8.2 було встановлено, що магнітний і механічний моменти атомів направлені вздовж однієї лінії в протилежних напрямках. Тому при орієнтуючій дії на один із них, другий також зазнає орієнтуючої дії. В цьому і заключається ідея гіромагнітних дослідів (рис.8.8).
Бернетт у 1909 році одержав намагнічування залізного стержня при його швидкому обертанні (рис.8.8, а). Механічні моменти електронів за рахунок гіроскопічних сил, подібно дзизі, орієнтуються вздовж осі обертання стержня. Разом з ними орієнтуються і їхні магнітні моменти, що приводить до намагнічування стержня.
У 1915 році А. Ейнштейн і А. Де Гааз провели протилежний дослід (рис.8.8, б). Вони намагнічували залізний стержень. Разом з магнітними моментами орієнтувались і механічні моменти електронів. У відповідності із законом збереження моменту імпульсу, стержень повинен прийти в обертальний рух, що і було підтверджено експериментально.
Таким чином, діамагнітний ефект заключається в послабленні зовнішнього магнітного поля за рахунок зміни орбітального руху електрона і виникнення протилежно направленого індукованого магнітного моменту. Цей ефект має місце в усіх магнетиках, але порівняно з іншими магнітними ефектами (парамагнітним, феромагнітним) може бути домінуючим, як це спостерігається у діамагнетиках, чи навпаки не проявлятись.
У
1917 році А.Ф.Іоффе і П.Л.Капіца швидко
нагріли намагнічений стержень вище
точки Кюрі. До нагрівання магнітні і
механічні моменти були зорієнтовані
(рис.8.8, в), але стержень не обертався.
Після нагрівання орієнтація магнітних
і механічних моментів стала
хаотичною(рис.8.8, г), і сумарний механічний
момент став відмінний від нуля. Стержень
приходив у обертальний рух у відповідності
із законом збереження моменту імпульсу.
У
всіх цих дослідах вимірювалось відношення
магнітного моменту до механічного,
тобто гіромагнітне відношення. Виявилось,
що для феромагнітних тіл воно дорівнює
спіновому гіромагнітному відношенню
–μоq/mел.
Це свідчить про те, що феромагнетизм
зумовлений не орбітальними, а спіновими
магнітними моментами електронів. При
цьому утворюються області (~10-2
÷ 10-3
см) спонтанного намагнічування – домени.
В домені спінові магнітні моменти
електронів орієнтовані паралельно, що
і приводить до намагнічування. У
ненамагніченому феромагнетику магнітні
моменти доменів орієнтовані хаотично
(рис.8.9, а). При намагнічуванні вони
одержують переважну орієнтацію вздовж
зовнішнього поля Н (рис.8.9, б), підсилюючи
його.
Як же утворюються домени? Сила зв’язку між атомами в домені носить обмінну природу. Відбувається обмін електронами внутрішніх незаповнених оболонок атомів, причому, як зазначалось у розділі 1.4 формула (1.5), енергетично вигіднішою може бути паралельна орієнтація спінів і спінових магнітних моментів. Це феромагнетики. У випадку, коли енергетично вигіднішою є антипаралельна орієнтація спінів, домени не утворюються. Це антиферомагнетики, наприклад MnO.
Доменна природа феромагнетизму легко пояснює ефект Баркгаузена (рис.8.2,б). Ступінчатий характер кривої намагнічування зумовлений послідовною стрибкоподібною переорієнтацією окремих доменів. Насичення намагнічування пояснюється тим, що вже всі домени зорієнтовані вздовж намагнічуючого зовнішнього поля.
У
антиферомагнетиках спіни електронів
паралельні і домени не утворюються. Але
при нагріванні антипаралельна орієнтація
руйнується і стає паралельною.
Намагніченість антиферомагнетика
зростає (рис.8.10). При певній температурі,
яка називається антиферомагнітною
точкою Кюрі, або температурою Неєля ТN,
намагніченість досягає максимуму, а
потім зменшується, як і у феромагнетиків.
Антиферомагнетик перетворюється в
парамагнетик.
Антиферомагнетик
можна розглядати як складну структуру,
утворену двома підгратками, кожна із
яких спонтанно намагнічена, і вставлені
одна в іншу так, що їхні намагніченості
протилежні. Якщо магнітні моменти цих
підграток однакові, то при 0К вони
компенсують одна одну, і магнітний
момент антиферомагнетика дорівнює
нулю. У випадку, коли магнітні моменти
підграток різні, виникає спонтанна
намагніченість кристалу. Такий
нескомпенсований антиферомагнетик
називається ферімагнетиком, або феритом,
наприклад, FeO,
Fe2O3.
Відмінна особливість феритів це хороші
магнітні властивості (висока магнітна
проникність, мала коерцетивна сила,
велике значення індукції насичення) і
великий електричний опір. Саме за рахунок
високого електричного опору їх широко
використовують у техніці надвисоких
частот (НВЧ), тому що втрати на нагрівання
за рахунок індукційних струмів Фуко
мізерні.