Материал: Bilet_1

Внимание! Если размещение файла нарушает Ваши авторские права, то обязательно сообщите нам

Билет 13 1. Пептидные гормоны гипофиза, гипоталамуса, кишечно-желудочного тракта,

щитовидной железы.

я выделила предполагаемые мной пептидные гормоны, ведь они не должны превышать 50 аминокислотных остатков,да? Остальные тоже привела.

Гипофиз.

Передняя доля: тропные гормоны (регуляторы периферических желез):

1)(АКТГ) Адренокортикотропный гормон. Молекула АКТГ состоит из 39 аминокислотных остатков. Кортикотропин контролирует синтез и секрецию гормонов коры надпочечников. В основном кортикотропин влияет на синтез и секрецию глюкокортикоидов — кортизола, кортизона, кортикостерона. Попутно повышается синтез надпочечниками прогестерона, андрогенов и эстрогенов. Это может иметь как хронический, так и кратковременный характер.Кортикотропин также в небольшой степени увеличивает синтез и секрецию катехоламинов мозговым веществом надпочечников.

2)(СТГ, гормон роста) Сомаптотропный гормон . Содержит 191 аминокислоту. усиливает синтез белка и тормозит его распад, увеличивает соотношение мышечной массы к жировой, вызывает выраженное повышение уровня глюкозы в крови и является одним из контринсулярных гормонов, антагонистов инсулина по действию на углеводный обмен.

3)Пролактин. Пролактин — это одноцепочечный полипептид, состоящий из 199 аминокислот, имеет массу около 24 килодальтонВ одной молекуле пролактина есть три дисульфидных мостика. Пролактин усиливает миграцию лейкоцитов в патологический очаг, активирует фибробласты, стимулирует клеточный и гуморальный иммунитет. Пролактин необходим для осуществления лактации, он повышает секрецию молозива, способствует созреванию молозива, превращению молозива в зрелое молоко. Он также стимулирует рост и развитие молочных желез и увеличение числа долек и протоков в них.

4)Липотропины (бета и гамма). Наиболее изучены бета, которые сотстоят из 93 аминокислотных остатков. Основная функциярегуляция липолиза.

Средняя доля:

1)Меланоцитстимулирующий гормон. Известны альфа, бета, гамма. У человека бета состоит из 25 аминокислотных остатков. Регуляция пигментного обмена и памяти.

Задняя доля:

1)Место секреции окситоцина и вазопрессина

Гипоталамус

Передний гипоталамус:

1)Вазопрессин. Включает 9 аминокислот. Уменьшает выделение воды., сужает сосуды.

2)Окситоцин. Состоит из пентапептидного цикла и боковой цепи из остатков трех аминокислот. Цикл образован таким образом, что две группы цистеина (в положении 1 и 6), замыкаясь, создают дисульфидный мостик. Сокращение матки при родах, секреция молока.

Медиобазальный и задний:

1)Кортиколиберин. Этот пептид состоит из 41 аминокислотного остатка. Стимуляция секреции АКТГ.

2)Люлиберин. Нейропептид, сотоящий из 10 аминокислот. Стимулирует секрецию ЛГ и ФСГ. Люлиберин регулирует также сексуальную активность, тормозит развитие злокачественных новообразований.

3)Тиролиберин. представлен трипептидом, состоящим из пироглутаминовой (циклической) кислоты, гистидина и пролинамида, соединенных пептидными связями. В отличие от классических пептидов он не содержит свободных NH2- и СООН-групп у N- и С-концевых аминокислот. Стимуляция секреции ТТГ.

4)Соматолиберин. Состоит из 44 аминокислотных остатков. Стимуляция секреции СТГ.

5)Меланолиберин. Состоит из 6 аминокислотных остатков. Стимуляция секреции МСГ.

6) Соматостатин. Циклический тетрадекапептид, состоящий из 14 аминокислотных остатков. Подавляет синтез СТГ, инсулина и глюкагона.

7)Меланостатин. Или трипептид, или пентапепид. Подавляет секрецию МСГ.

8)Пролактостатин. Полипептид, состоящий из 56 аминокислотных остатков. Ингибирует секрецию пролактина.

Желудочно-кишечный тракт.

1)Гастрин. Существует три основных естественных формы гастрина: «большой гастрин», или гастрин-34 — полипептид из 34 аминокислот, «малый гастрин», или гастрин-17, состоящий из 17 аминокислот, и «минигастрин», или гастрин-14, состоящий из 14 аминокислот. Все гастрины гомологичны по химической структуре. Молекулы гастрина имеют линейную пространственную структуру. Регулируют кислую секрецию желудочных желез.

2)Глюкагон. Молекула глюкагона состоит из 29 аминокислот. Обмен углеводов и жиров.

3)Секретин. Состоит из 27 остатков. Стимулятор экзокринной секреции поджелудочной железы.

4)Панкреозимин. В слизистой оболочке тонкой кишки выявлены 3 молекулярные формы холецистокинина, различающиеся по числу аминокислотных остатков (холецистокинин-8, холецистокинин-12 и холецистокинин-ЗЗ). На холецистокинин-8 приходится 60-70 %. Сокращение желчного пузыря.

5)Энтерогастрон. Состоит из 43 остатков. Подавление желудочной секреции.

Щитовидная железа.

1) Кальцитонин. По химической природе кальцитонин является полипептидом, состоящим из 32 аминокислотных остатков. Регуляция обмена кальция и фосфора.

2)(ЛГ) Лютеинизирующий гормон. Лютеинизирующий гормон является сложным белком — гликопротеином. Белок имеет димерную структуру и состоит из 2 субъединиц α и β, соединённых двумя дисульфидными мостиками, к каждой из которых присоединены углеводные остатки. Альфасубъединица состоит из 92 аминокислотных остатков. Бета-субъединица лютропина,определяет биологическое действие гормона, специфически взаимодействуя с мембранным рецептором, представлена 121 аминокислотой. Как у мужчин, так и у женщин ЛГ необходим для репродукции. У женщин индуцирует овуляцию. У мужчин индуцирует синтез андрогенов в клетках Лейдига.

3)(ФСГ) Фолликулостимулирующий гормон. Гликопротеин, молекула к-рого состоит из 2 разл. по структуре субъединиц (a- -ФСГ), нековалентно связанных друг с другом. a-субъединица состоит из 92 аминокислотных остатков, бета-субъединица вклячает 118. Физиол. роль ФСГ заключается в регуляции ф-ции половых желез. При этом он действует совместно с лютеинизирующим гормоном. ФСГ стимулирует рост и созревание фолликулов в яичниках у самок, развитие и созревание

сперматозоидов в семенниках у самцов, усиливает секрецию половыми железами эстрогенов и андрогенов,

повышает чувствительность половых желез к лютеинизирующему гормону.

4)(ТТГ) Тиреотропный гормон. Представляет собой гликопротеиновый гормон с молекулярной массой 28000-30000 Да. Он состоит из α- и β- субъединиц. Строение α-субъединицы ТТГ, состоящей из 92 аминокислот и содержащей две олигосахаридных цепи, характеризуется подобием с аналогичными доменами в составе еще трех гликопротеиновых гормонов (лютеинизирующего и фолликул-стимулирующего, образуемых в переднем гипофизе и хорионического гонадотропина, образуемого в плаценте). α -Субъединица тиротропина является неспецифической и не определяет непосредственно его биологическое действие. β-субъединица содержит одну олигосахаридную цепь и состоит из 112 аминокислот, которые и определяют активность. Тиреотропин, воздействуя на специфические рецепторы ТТГ в щитовидной железе, стимулирует выработку и активацию тироксина. Он активирует аденилатциклазу и увеличивает потребление йода клетками железы. Так же увеличивает биосинтез трийодтиронина (Т3) и тироксина (Т4).

2. Химическая модификация α и ε- аминогрупп в белках.

Эти же реакции применимы и для модификации α-аминогруппы в белках.

изин. ε-аминогруппы остатков лизина являются весьма удобными мишенями для модификации. Наибольшее распространение при этом получили следующие методы: а) ацилирование с помощью уксусного, трифторуксусного или янтарного ангидридов, S-этил- трифторацетата; иногда применяется обратимое ацилирование малеиновым или цитраконовым ангидридами; б) арилирование; в) реакция с имидоэфирами; г) образование шиффовых оснований с последующим восстановлением боргидридом натрия; д) гуанидирование (до производных гомоаргинина); е) карбамоилирование, а также дансилирование. Последняя реакция широко используется при анализе первичной структуры белков и пептидов, а также для введения флуоресцентной метки в белки. Все перечисленные реакции могут применяться и для модификации N-концевой аминогруппы белков и пептидов.

(б) Гидрофильная аминогруппа заменяется гидрофобной структурой, а N-аминогруппы теряет основные свойства.

(в) Катионная аминогруппа замещается также катионной амидиновой, при этом основности этих групп одинаковы. В результате образуется амидин.

(г) Основания Шиффа малоустойчивы и легко, особенно в кисой среде, расщепляются с регенерацией свободных аминогрупп и альдегида. Поэтому, чтобы сохранить получившуюся структуру, двойную связь восстанавливают боргидридом натрия.

(е) введение группы CONH2.

3. Посттрансляционная модификация белков, образование остатков Gla и N-концевые ацетилированные белки.

Посттрансляционная модификация—это ковалентная химическая модификация белка после его синтеза на рибосоме. Один и тот же белок может подвергаться нескольким разным модификациям. Посттрансляционные модификации влияют на:

1.Ферментативную активность белка

2.Продолжительность существования белка

3.Взаимодействие с др. белками

Примеры посттрансляционных модификаций:

Гликозилирование (N и O, является наиболее часто встречающейся модификацией, около половины белков человека гликозилировано)

Гидроксилирование

Ацетилирование

Метилирование

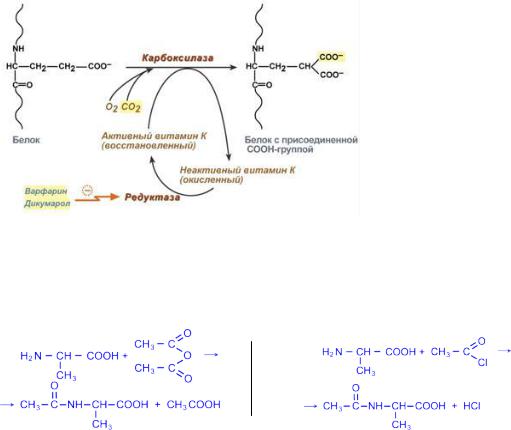
γ-карбоксилирование (модификация глутаминовой кислоты (введение в нее карбоксильной группы, на конце CH(COO-)2

О-сульфонирование (введение сульфогруппы SO3H)

Фосфорилирование (процесс переноса остатка фосфорной кислоты от фосфорилирующего

агентадонора к субстрату: АТФ + R-OH АДФ + R-OPO3H2 , гидроксильная группа от Ser, Thr, Tyr, но возможно и N-фосфорилирование для His, Arg.)

Йодирование (для Tyr по 3 и 5 положению в кольце)

Окисление

Образование дисульфидных связей

Дезамидирование

Остатки Gla образуются в результате посттрансляционного карбоксилирования глутаминовой кислоты, после чего она может связывать ионы Ca.

Следует отметить, что ацетилирование аминогруппы часто применяется с целью защиты ее от окисления. Реакция идет по методу нуклеофильного замещения.

Билет 14 1. Гомодетные и гетеродетные пептиды, депсипептиды. Циклические пептиды, ионофоры.

Нерибосомальный синтез пептидов.

Гомодетные — пептиды, аминокислотные остатки которых соединены только пептидными связями. Гетеродетные пептиды — те соединения, в которых помимо пептидных связей встречаются ещё и дисульфидные, эфирные и тиоэфирные связи. В группу гетеродетных пептидов входят: депсипептиды, в составе которых есть гидроксикислоты или гидроксиаминокислоты; S- пептиды, содержащие тиоэфирную связь между остатками; (S-S)-пептиды, содержащие дисульфидную связь, гликопептиды, содержащие N- или О-гликозидные связи.

(S-S)-пептиды. Остатки цистеина в пептидах и белках образуют дисульфидные связи, соединяющие участки одной цепи или отдельные пептидные цепи. (S-S) содержащие пептиды могут быть линейными и циклическими.

S-пептиды . Продукты ацилирования меркаптогруппы Cys-содержащих пептидов производными аминокислот.

Депсипептиды. Депсипептиды составляют большую группу соединений, содержащих остатки гидроксикислот (в том числе и гидроксиаминокислот), связанных с другими остатками в цепи не только амидными, но и сложноэфирными связями.

Сначала создаются сложноэфирные связи, а затем полученные блоки соединяются путем образования амидной связи.

Ионофоры. Это переносчики, под которыми понимаются специфические молекулы или их ансамбли, которые связывают транспортируемый агент на одной стороне мембраны и в виде комплекса переносят его через гидрофобную зону. После диссоциации на внешней стороне мембраны переносимый агент оказывается в водной фазе, а переносчик возвращается в исходное положение. Классическим представителем ионофоров является валиномицинантибиотик депсипептидной природы.

Циклические пептиды. Это полицепи, в которых амино- и карбокси-концы основной или боковой цепи связаны ковалентной связью, которая генерирует кольцо. Длина может быть от двух до сотен аминокислот. Циклические пептиды очень устойчивые молекулы к процессу пищеварения. Достаточно легко образуются циклы при нагревании из двух аминокислотных остатковдикетопиперазины:

Существуют несколько типов циклических пептидов:

1)Гомодентные циклические пептиды, такие как циелоспорин А. Кольцо состоит исключительно из обычных пептидных связей.

2)Которые связаны с помощью остатков Cys через дисульфидную связь.

3)Рпзветвленный циклический пептид, образующийся после взаимодействия концевой аминокислоты и аминокислоты из боковой группы.

Нерибосомальный синтез пептидов.

Что это? Как говорит название nonribosomal peptide synthesis (NRPS) генерирует полипептиды без рибосом. Образующиеся в результате пептиды обычно короткие олигомеры от двух до 48 остатков, которые не закодированы в геноме.