21
Окончание таблицы 6
1 |
2 |
3 |
4 |
5 |
6 |
0,20 |
4,098 |
3,472 |
2,785 |
3 |
1,535 |
|
3,378 |
2,907 |
2,404 |
4 |
2,297 |
|
2,967 |
2,590 |
2,174 |
5 |
3,089 |
|
2,155 |
1,949 |
1,718 |
10 |
7,289 |
|
1,872 |
1,724 |
1,553 |
15 |
11,680 |
|
1,780 |
1,608 |
1,460 |
20 |
16,170 |
|
1,628 |
1,520 |
1,398 |
25 |
20,720 |
|
1,565 |
1,468 |
1,362 |
30 |
25,320 |
В ходе испытаний определяется суммарная наработка t |
следующим |
||||
образом.
1 При испытаниях без восстановления или замены:
(8)
где
– текущее число отказов, соответствующее наработке tкаждого работо-
способного изделия, отсчитанной от начала испытаний;
– наработка j-го из г отказавших изделий, отсчитанная от начала испытаний.
2 При испытаниях с восстановлением или заменой:
(9)
где
– суммарная наработка i-го изделия за время испытаний.
Если первым достигается предельное число отрицательных исходов
(суммарная наработка
то результаты испытаний отрицательны; если достигается суммарная наработка
а количество отрицательных исходов,
соответствующих этой наработке,
– результаты положительны.
Верхняя доверительная граница для показателя типаТ у изделий, признанных на основе результатов контроля по плану, выбранному по таблице 3, не соответствующими заданным требованиям, с доверительной вероятно-
стью
не больше приемочного значения
Нижняя доверительная граница для показателя типа Т у изделий, признанных по результатам контроля с помощью тех же планов соответствующими заданным требованиям, с до-
верительной вероятностью
не меньше браковочного значения
22
Контрольные вопросы
1Сформулируйте основные цели испытаний изделий на надежность.
2Какие виды испытаний используются при исследовании надежности?
3Что такое план испытаний и как он формируется? Какие планы испытаний используются при исследовании надежности?
4Объясните цели, методы и планы контрольных испытаний изделий на надежность.
5Объясните различие в методиках испытаний изделий с восстановлением и без восстановления.
6Как определяется объем выборки при испытаниях на надежность?
7Объясните цели и методики ускоренных испытаний.
8Объясните содержание методики оценивания ресурса узлов трения с помощью электромеханической колебательной системы.
9Объясните цели, методики и особенности испытаний программ.
УПРАЖНЕНИЯ
1 Для плана [NUN]определить такое число объектов наблюдений,
чтобы с односторонней доверительной вероятностью ( = 0,95 относительная ошибка dв определении среднего ресурса не превышала 0,05. Ресурс распре-
делен нормально с коэффициентом вариации v= 0,15.
2 Для плана [NUr]определить такое число объектов наблюдений
N,чтобы с односторонней доверительной вероятностью ( = 0,9 определить
90%-ный ресурс объектов. Установленное число предельных состоянийr = 3.
3Для плана [NUТ] определить такую продолжительность наблюдений
Тза 20 объектами, чтобы с односторонней доверительной вероятностью ( =
0,95 относительная ошибка dв определении средней наработки до отказа не превышала 0,1. Наработка до отказа распределена нормально с коэф-
фициентом вариации v= 0,2; предположительно средняя наработка до отказаtcp= 500 ч.
23
Индивидуальное задание № 2 Надежность нерезервированных невосстанавливаемых систем при внезапных отказах
Теоретическая часть
Определение вероятности безотказной работыи средней наработки до отказа
На этапе предварительного анализа надежности систем часто исполь-
зуют простые статические модели, в которых показатели надежности эле-
ментов или подсистем считаются постоянными, так как задается базовый промежуток времени. Такой анализ служит основой оценки возможного состава оборудования на этапе проектирования и определения необходимых уровней надежности подсистем и элементов.
Большинство систем спроектировано таким образом, что при выходе из строя любого из элементов система отказывает. При анализе надежности такой системы предполагается, что отказ любого из элементов носит случай-
ный и независимый характер и не вызывает изменения характеристик (не нарушает работоспособности) остальных элементов. Сточки зрения теории надежности в системе, где отказ любого из элементов приводит к отказу си-
стемы, элементы включены на структурной схеме надежности по основной схеме или последовательно. В понятии отказа заложен физический аналог электрической схемы с последовательным включением элементов, когда отказ любого из элементов связан с разрывом цепи. Ио очень часто при рас-
четах надежности приходится физическое параллельное включение элемен-
тов рассматривать как последовательное включение расчетных элементов. Например, некоторый потребитель потребляет электроэнергию по двум оди-
наковым кабелям, причем сечение жил одного кабеля не в состоянии пропу-
стить всю электрическую нагрузку потребителя. При выходе из строя одного кабеля оставшийся в работе попадает под недопустимую перегрузку, и этот кабель с помощью защиты отключается – система электроснабжения отка-
24
зывает, т. е. отказ одного из кабелей вызывает отказ участка электропитания.
Следовательно, при расчете надежности кабели как расчетные элементы имеют последовательную основную схему включения.
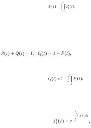
Допустим, что система состоит из п последовательно включенных эле-
ментов. Из теории вероятностей известно, что если определены вероятности появления нескольких независимых случайных событий, то совпадение этих событий определяется как произведение вероятностей их появлений. В на-
шем случае работоспособное состояние любого из п элементов системы оце-
нивается как вероятность безотказной работы элемента. Система будет нахо-
диться в работоспособном состоянии только при условии совпадения работо-
способных состояний всех элементов. Таким образом, работоспособность системы оценивается как произведение вероятностей безотказной работы элементов:
(10)
где
– вероятность безотказной работы i-го элемента.
Система, как и элемент, может находиться в одном из двух несовме-
стимых состояний: отказа или работоспособности. Следовательно,
где
– вероятность отказа системы, определяемая по выражению
(11)
При произвольном законе распределения времени наработки до отказа для каждого из элементов
(12)
где I – интенсивность отказов i-ro элемента.
Вероятность безотказной работы системы соответственно определяется по формуле
25
(13)
По выражению (9) можно определить вероятность безотказной работы системы до первого отказа при любом законе изменения интенсивности отка-
зов каждого из п элементов во времени.
Для наиболее часто встречающегося условия I =constвыражение (10)
имеет вид
(14)
где
можно представить как интенсивность отказовсистемы, сведенной к эквивалентному элементу с интенсивностью отказов
(15)
Таким образом, систему из п последовательно включенных элементов легко заменить эквивалентным элементом, который имеет экспоненциальный закон распределения вероятности безотказной работы. А это значит, что если
то средняя наработка до отказа системы
. В случае
средняя наработка до отказа системы определяется по формуле
(16)
где Р(t) находится по выражению (4). Частота отказов 
При выполнении практических расчетов вероятности безотказной ра-
боты высоконадежных систем (произведение много
меньше единицы, а
вероятность безотказной роботы P(t)близка к единице) можно использовать приближенные формулы