26
При выполнении арифметических операций со значениями вероятно-
стей, близкими к единице, можно пользоваться приближенными соотноше-
ниями:
где
– вероятность отказа i-го элемента.
Определение вероятности безотказной работы с использованием модели слабейшего звена
Модель слабейшего звена используется при исследовании надежности системы, состоящей из последовательного соединения звеньев, при отказе одного из которых выходит из строя вся цепь. Примером может служить электрическая цепь, состоящая из п одинаковых элементов и подвергающаяся тепловой нагрузке. Если принять допущение, что тепловая нагрузка является единственной причиной отказов, то элемент, имеющий наименьшую стойкость к тепловым нагрузкам, выйдет из строя первым. Вероятность безотказной работы при этом имеет вид
где
– вероятность безотказной работы i-ro элемента, характеризующая устойчивость элемента к отказу при действии тепловой нагрузки.
Обозначим
– плотность распределения случайной величины обозначающей напряжение, а
– плотность распределения случайной величины , обозначающей прочность. Тогда вероятность безотказной работы любого одного звена равна
(17)
27
Выражение (8) можно переписать в виде
(18)
Если цепь состоит из п случайно выбранных элементов, это равносильно выбору л случайных значении прочности из совокупности с распре-
делением
. Пусть п – случайная величина, обозначающая прочность цепи, состоящей из п звеньев, тогда
i– прочность i-го элемента.
Учитывая распределение экстремальных значений, имеем выражение для функции распределения прочности цепи:
Для модели слабейшего звена вероятность безотказной работы имеет вид
Следовательно, с использованием выражения (9) получаем формулу
(19)
Выражение (19) определяет вероятность безотказной работы системы в зависимости от числа элементов n, плотности распределения
нагрузки,
действующей на систему, и распределения прочности
отдельного элемента.
Примеры расчета надежности невосстанавливаемых нерезервированных систем
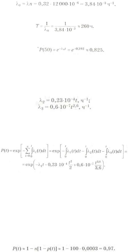
Пример № 1. Система состоит из 12000 однотипных элементов, средняя интенсивность отказов которых 0,32 10-6ч-1
Требуется определить вероятность безотказной работы в течение ин-
28
тервала времени t = 50 ч и среднюю наработку до первого отказа.
Решение. Интенсивность отказов системы в соответствии с (15) равна
Вероятность безотказной работы:
Средняя наработка до первого отказа:
Пример № 2. Система состоит из трех устройств. Интенсивность отка-
зов электронного устройства равна = 0,16·10 -3 ч-1. Интенсивности отказов двух электромеханических устройств зависят от времени и определяются следующими формулами:
Требуется определить вероятность безотказной работы изделия в течение
100 ч.
Решение. В соответствии с формулой (4) имеем
Для t =100 ч имеет P(100)
Пример № 3. Вероятность безотказной работы одного элемента в те-
чение времени t равна p(t) = 0,9997. Требуется определить вероятность без-
отказной работы системы, состоящей из п = 100 таких элементов.
Решение. Вероятность безотказной работы системы равна
Так как вероятность Р(t)близка к 1, то воспользу-
емся приближенной формулой и получим
29
Пример № 4. На рисунке 2, а представлена схема включения конден-
саторной батареи. Интенсивность отказов конденсаторов
интенсивность отказов предохранителя
. Установка выполнена так, что при выходе из строя любого конденсатора или предохранителя батарея не выполняет своих функций, т. е. с точки зрения надежности она отказывает. Требуется определить вероят-
ность безотказной работы батареи по истечении года ее эксплуатации и среднюю наработку на отказ.
Решение. На рисунке 2, б изображена расчетная схема надежности, где все элементы включены последовательно. Интенсивность отказов конденса-
торной батареи определим по формуле
На рисунке 2, в батарея представлена эквивалентным элементом с ин-
тенсивностью отказов
а– конденсаторная батарея; б – расчетная схема; в – эквивалентный расчетный элемент.
Рис. 2 – Схема конденсаторной батареи
По отношению к более сложной си-
стеме (схеме), в которой составной частью является конденсаторная ба-
тарея, эта установка будет элементом
с параметром
Вероятность безотказной ра-
боты батареи за год:
Средняя наработка до отказа:
Результат расчета показывает, что надежность неремонтируемой бата-
30
реи конденсаторов за 1 год непрерывной работы мала. Для обеспечения бо-
лее высокого уровня ее надежности необходимо предусмотреть более каче-
ственное техническое обслуживание.
Пример № 5. Определить вероятность безотказной работы полосового фильтра (рис. 3, а) в течение времени t = 1000 ч. Коэффициент нагрузки
температура окружающей среды
интенсивности отказов элементов:
Полосовой фильтр (рис. 3, а) предназначен для выделения из входного сигнала
произвольной формы составляющих с частотами в заданном диапазоне 
Рис. 3 – Схема полосового фильтра (а) и структурная схема расчета надежности (б)
Решение. При соответствии параметров всех элементов фильтра рас-
четным значениям уравнение он выполняет свою функцию, т. е. остается ра-
ботоспособным. При отклонении хотя бы одного параметра любого элемента от расчетного значения свойства фильтра нарушаются, и он не выполняет свою задачу. Это означает, что произошел отказ фильтра.
Следовательно, каждый элемент фильтра с точки зрения его надежно-