16
– риск потребителя (вероятность ошибки 2-го рода), т. е. вероятность того, что при испытаниях будет принята партия негодных (имеющих брако-
вочный уровень надежности) изделий;
– приемочное значение контролируемогопоказателя;
– браковочное значение контролируемого показателя;
– функции плотности распределения контролируемого показа-
теля надежности для изделий, имеющих приемочный (гипотеза Н0 верна) и
браковочный (гипотеза Н1верна) уровни надежности соответственно.
Значениядолжны соответствовать минимальным значениям показателя надежности, заданным в стандартах или технических условиях на изделие. В
этом случае величины
могут быть в одностороннем порядке ус-
тановлены разработчиком и изготовителем без согласования с заказчиком.
Величина разрешающего коэффициента
может составлять 1,5 : 5,0.
При планировании контрольных испытаний с использованием одно-
ступенчатого метода контроля определяется объем наблюдений и критиче-
ское значение контролируемого показателяопределяемое соотношением ме-
жду
и выражаемое предельным числом отрицательных исходов испыта-
ния или суммарной наработкой испытуемых изделий.
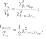
Планы контроля типа Р. Для построения плана контроля необходимо определить количество независимых наблюдений Nи приемочное число от-
рицательных исходов са из системы двух уравнений:
(4)
Уравнение (4) составлено на основе того, что в выборке объема Nиз
17
партии годных изделий число отрицательных исходов испытаний не превы-
сит са с вероятностью 1-а. Аналогично, уравнение (4) есть математическая формулировка условия, заключающегося в том, что в выборке объема Nиз партии негодных изделий число отрицательных исходов испытаний не пре-
высит си с вероятностью р.
Решения системы уравнений (4) приведены в таблице 5.
'Таблица 5 –Планирование одноступенчатого контроля показателя типа Р
P (t) |
P (t) |
c |
N |
0,988 |
0,996 |
22 |
7843 |
|
0,995 |
12 |
3886 |
|
0,994 |
8 |
2402 |
|
0,993 |
6 |
1688 |
|
0,992 |
5 |
1312 |
|
0,991 |
4 |
1015 |
|
0,990 |
4 |
913 |
|
0,980 |
2 |
313 |
|
0,970 |
1 |
157 |
|
0,960 |
1 |
117 |
0,995 |
0,990 |
22 |
3135 |
|
0,980 |
5 |
523 |
|
0,970 |
3 |
256 |
|
0,960 |
2 |
156 |
|
0,950 |
2 |
124 |
|
0,940 |
1 |
78 |
|
0,930 |
1 |
66 |
0,988 |
0,996 |
22 |
7843 |
|
0,995 |
12 |
3886 |
|
0,994 |
8 |
2402 |
|
0,993 |
6 |
1688 |
|
0,992 |
5 |
1312 |
|
0,991 |
4 |
1015 |
|
0,990 |
4 |
913 |
|
0,980 |
2 |
313 |
|
0.970 |
1 |
157 |
|
0,960 |
1 |
117 |
0,995 |
0,990 |
22 |
3135 |
|
0,980 |
5 |
523 |
|
0,970 |
3 |
256 |
|
0,960 |
2 |
156 |
|
0,950 |
2 |
124 |
|
0,940 |
1 |
78 |
|
0,930 |
1 |
66 |
0,990 |
0,980 |
22 |
1566 |
|
0,970 |
8 |
480 |
P (t) |
P (t) |
c |
N |
0,990 |
0,980 |
22 |
1566 |
|
0,970 |
8 |
430 |
|
0,960 |
5 |
261 |
|
0,950 |
|
182 |
|
0,940 |
3 |
128 |
|
0,930 |
2 |
88 |
|
0,920 |
2 |
77 |
|
0,910 |
2 |
69 |
|
0,900 |
2 |
61 |
|
0,890 |
1 |
42 |
|
0,880 |
1 |
38 |
0,980 |
0,960 |
22 |
783 |
|
0,950 |
12 |
386 |
|
0,940 |
8 |
238 |
|
0,930 |
6 |
167 |
|
0,920 |
5 |
129 |
|
0,910 |
4 |
100 |
0,980 |
0,930 |
6 |
167 |
|
0,920 |
5 |
129 |
|
0,910 |
4 |
100 |
|
0,900 |
4 |
89 |
|
0,890 |
3 |
69 |
|
0,880 |
3 |
63 |
|
0,870 |
3 |
58 |
|
0,860 |
2 |
43 |
|
0,850 |
2 |
40 |
|
0,800 |
1 |
22 |
|
0,750 |
1 |
17 |
|
0,910 |
31 |
463 |
0,950 |
0,900 |
22 |
312 |
|
0,890 |
17 |
230 |
|
0,880 |
14 |
180 |
|
0,870 |
11 |
138 |
|
0,860 |
10 |
120 |
|
0,850 |
8 |
93 |
|
0,800 |
5 |
50 |
18
|
|
|
|
|
|
|
Окончание таблицы 5 |
|
P (t) |
P (t) |
c |
N |
|
P (t) |
P (t) |
c |
N |
|
0,960 |
5 |
261 |
|
|
0,750 |
4 |
35 |
|
0,950 |
4 |
182 |
|
|
0,650 |
6 |
31 |
|
0,940 |
3 |
128 |
|
|
0,600 |
5 |
24 |
|
0,930 |
2 |
88 |
|
|
0,550 |
4 |
18 |
|
0,920 |
2 |
77 |
|
|
0,500 |
3 |
13 |
|
0,910 |
2 |
69 |
|
|
0,400 |
2 |
8 |
|
0,900 |
2 |
61 |
|
|
0,300 |
1 |
5 |
|
0,890 |
1 |
42 |
|
0,880 |
0,800 |
38 |
245 |
|
0,880 |
1 |
38 |
|
|
0,750 |
20 |
114 |
0,980 |
0,960 |
22 |
7S3 |
|
|
0,700 |
11 |
57 |
|
0,950 |
12 |
386 |
|
|
0,650 |
8 |
38 |
|
0,940 |
8 |
238 |
|
|
0,600 |
6 |
27 |
0,880 |
0,550 |
5 |
20 |
|
0,850 |
0,500 |
6 |
21 |
|
0,500 |
4 |
15 |
|
|
0,400 |
4 |
13 |
|
0,400 |
4 |
16 |
|
|
0,300 |
3 |
9 |
|
0,300 |
2 |
6 |
|
0,800 |
0,650 |
32 |
118 |
0,850 |
0,750 |
40 |
203 |
|
|
0,600 |
20 |
68 |
|
0,700 |
21 |
97 |
|
|
0,550 |
14 |
45 |
|
0,650 |
13 |
55 |
|
|
0,500 |
10 |
30 |
|
0,600 |
9 |
36 |
|
|
0,400 |
6 |
17 |
|
0,550 |
7 |
26 |
|
|
0,300 |
4 |
10 |
Контроль осуществляется следующим образом: организуется Nнезави-
симых наблюдений, продолжительность которых равна наработке t,для ко-
торой задана вероятность, и в каждом наблюдении фиксируют результат: по-
ложительный или отрицательный исход.
После N-го наблюдения результаты испытаний положительны (гипотеза Я0
принимается), если
и отрицательны, если
– наблюдаемое число от-
рицательных исходов). Испытания могут быть прекращены раньше (с отрица-
тельным исходом), после того как г превысит с .
Верхняя доверительная граница для показателя типа Р при отрицательном исходе испытания с вероятностью 1-а не больше приемочного значения
Ниж-
няя доверительная граница для показателя типа Р при положительном исходе испытания свероятностью
не меньше браковочного значения
Пример № 1. Для контроля надежности партии невосстанавливаемых из-
делий заданы два уровня вероятности безотказной работы, соответствующие на-
работке t= 20 ч: гтиемочный уровень
и браковочный уровень
19
а также риски ,
Определить планконтроля по одноступен-
чатому методу.
Решение. По таблица 5 для заданных
находим
Это означает, что для контроля нужно поставить на испытания выборку из
783 изделий и испытывать их в течение 20 ч каждое. Испытания прекращают либо после возникновения 23-го отказа с отрицательным исходом, либо по окончании испытаний 783-го изделия с положительным исходом, если к тому времени число отказов было меньше или равно 22.
Планы контроля типа Т. Эти планы контроля строятся в зависимости от вида функции распределения соответствующей контролируемой случай-
ной величины (времени или наработки).
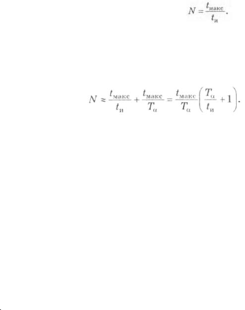
При экспоненциальном распределении предельное число отрицательных исходов rпр и предельная суммарная наработка определяются из уравнений
(5)
Рассчитанные по этим выражениям планы контроля приведены в таблице 6.
Испытания прекращаются, как только будет достигнута одна из этих величин.
При испытаниях без восстановления или замены отказавших изделий новыми объем выборки должен быть не менее предельного числа отрица-
тельных исходов
При испытаниях с восстановлением или заменой объем выборки может
быть любым. Допускается уменьшение (увеличение) продолжительности ис-
пытаний при пропорциональном увеличении (уменьшении) количества испы-
туемых образцов с единственным условием: обеспечить требуемую суммар-
ную наработку 
20
Если продолжительность испытаний t„задана, все образцы работают одновременно, а отказавшие заменяются (или полностью восстанавлива-
ются), то необходимое количество образцов (объем выборки) определяется по формуле
(6)
Если отказавшие изделия не заменяются и не восстанавливаются, ко-
личество образцов для достижения той же суммарной наработки при той же общей продолжительности испытаний следует увеличить до
(7)
Таблица 6 – Планирование одноступенчатого контроля показателя типаТпри экспоненциальном распределении
|
T /T при , равном |
|
rпр |
|
Tмакс/ T |
||
0,05 |
0,10 |
|
0,20 |
|
|||
|
|
|
|
|
|||
1 |
2 |
3 |
|
4 |
|
5 |
6 |
|
58,820 |
45,450 |
|
31,250 |
|
1 |
0,052 |
|
13,330 |
10,990 |
|
8,403 |
|
2 |
0,356 |
|
7,692 |
6,493 |
|
5,235 |
|
3 |
0,817 |
|
5,682 |
4,878 |
|
4,032 |
|
4 |
1,366 |
|
4,651 |
4.065 |
|
3,413 |
|
5 |
1,970 |
|
3,350 |
2,958 |
|
2,570 |
|
8 |
3,981 |
0,05 |
2,898 |
2,618 |
|
2,309 |
|
10 |
5,425 |
|
2,631 |
2,396 |
|
2,137 |
|
12 |
6,944 |
|
2,445 |
2,242 |
|
2,012 |
|
14 |
8,464 |
|
2,369 |
2,178 |
|
1,96» |
|
15 |
9,246 |
|
2,096 |
1,961 |
|
1,779 |
|
20 |
13,200 |
|
1,942 |
1,815 |
|
1,669 |
|
25 |
17,300 |
|
1,835 |
1,721 |
|
1,597 |
|
30 |
21,500 |
0,10 |
28,570 |
21,740 |
|
15,380 |
|
1 |
0,105 |
|
8,928 |
7,299 |
|
5,650 |
|
2 |
0,532 |
|
5,714 |
4,831 |
|
3,891 |
|
3 |
1,102 |
|
4,444 |
3,831 |
|
3,164 |
|
4 |
1,745 |
|
3,769 |
3.289 |
|
2,762 |
|
5 |
2,432 |
|
2,525 |
2,283 |
|
2,012 |
|
10 |
6,221 |
|
2,127 |
1,953 |
|
1,760 |
|
15 |
10,300 |
|
1,915 |
1,792 |
|
1,626 |
|
20 |
14,520 |
|
1,792 |
1,672 |
|
1,538 |
|
25 |
18,840 |
|
1,706 |
1,602 |
|
1,486 |
|
30 |
23,230 |
|
13,510 |
10,310 |
|
7,246 |
|
1 |
0,223 |
|
5,747 |
4,717 |
|
3,636 |
|
2 |
0,824 |