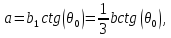
Рассмотрим цилиндрический бак. Выполним подбор основных геометрический характеристик и проведём расчёт напряжений в обечайке. Выполним расчёт этого бака на устойчивость под действием нормальных и касательных сил. Расчетная схема бака приведена на рисунке 3.1. Данные для расчета заключены в заключены в таблице 3.

Рисунок 3.1 — Расчетная схема бака
Таблица 3 — Данные для расчета
|
R, см |
R0, см |
l, м |
H, м |
nx, |
ρ, кг/м3 |
Poэ, МПа |
Mэ, кНм |
Nэ, кН |
Qэ, кН |
f |
|
150 |
220 |
5,25 |
3,5 |
3,0 |
1140 |
0,18 |
330 |
200 |
120 |
1,3 |
Бак выполнен из материала АМг6, имеющего следующие характеристики:
Модуль
упругости
МПа;
Предел
прочности
МПа;
Предел
пропорциональности
МПа;
Условный
предел текучести
МПа.
Эксплуатационное значение внутреннего давления в точке стыка обечайки и нижнего днища подсчитывается по формуле:

Высота днища бака определяется по формуле:

Максимальное эксплуатационное значение внутреннего давления в точке А определяется по формуле:

Для подбора толщины верхнего днища запишем выражение для определения расчётных напряжений в пологом сферическом днище:

где
– меридиональное и окружное нормальные
напряжения,
– меридиональное
погонное усилие,
– коэффициент,
учитывающий ослабления из-за сварного
шва.

Принимаем

Определим расчетное меридиональное и окружное напряжение:

Определим запас прочности верхнего днища:

По аналогичному алгоритму подберём толщину нижнего днища


Принимаем

Определим расчетное меридиональное и окружное напряжение:

Определим запас прочности нижнего днища:

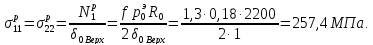
Для подбора толщины обечайки запишем выражение для определения расчётных окружных напряжений, так как окружные напряжения больше меридиональных в цилиндрических оболочках:


С
учетом того, что оболочка может потерять
устойчивость, увеличим толщину обечайки
и принимаем

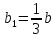
Подбор площади поперечного сечение шпангоута идёт при помощи площадей давления (рисунок 3.2,3.3).
Вычислим площадь шпангоута для верхнего днища.

Рисунок 3.2 – К вычислению площади давления
Вычислим необходимые геометрические размеры:

Вычислим примыкающие сечения участка днища и обечайки, которые работают вместе со шпангоутом:


где
,
так как
.



Вычислим площади давлений:



Расчётная осевая сила, действующая на шпангоут, равна:

Тогда потребная площадь сечения шпангоута равна:

Принимаем

Нормальное напряжение в сечении шпангоута:

Запас прочности по верхнему шпангоуту:

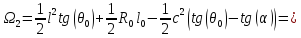
Найдем соотношение сторон сечения шпангоута в виде прямоугольного треугольника, так что бы изгибающий момент был равен нулю, для этого прировняем скручивающий момент к нулю:


где
– катет сечения,
– расстояние
от центра тяжести сечения шпангоута до
катета длиной a.
Площадь сечения шпангоута вычисляется по формуле:

Вычислим размеры сечения:



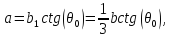
Вычислим изгибающий момент, возникающий в поперечном сечении шпангоута:



Угол закручивания:

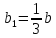
Вычислим площадь шпангоута для нижнего днища.

Рисунок 3.3 – К вычислению площади давления


Вычислим примыкающие сечения участка днища и обечайки, которые работают вместе со шпангоутом:


где
,
так как
.



Вычислим площади давлений:



Расчётная осевая сила, действующая на шпангоут, равна:

Тогда потребная площадь сечения шпангоута равна:

Принимаем

Нормальное напряжение в сечении шпангоута:

Запас прочности по верхнему шпангоуту:

Найдем соотношение сторон сечения шпангоута в виде прямоугольного треугольника, так что бы изгибающий момент был равен нулю, для этого прировняем скручивающий момент к нулю:


где
– катет сечения,
– расстояние
от центра тяжести сечения шпангоута до
катета длиной a.
Площадь сечения шпангоута вычисляется по формуле:

Вычислим размеры сечения:



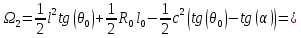
Вычислим изгибающий момент, возникающий в поперечном сечении шпангоута:



Угол закручивания:
