где
-
коэффициент, который изменяется в
пределах 0,15…0,25; принимаем
.
Полная продольная сила Х корпуса летательного аппарата будет равна:
Н.
Продольная
перегрузка
определяется по формуле:

где
– тяга двигателя, кН;
=
58123,8
кг
-
масса летательного аппарата на расчетный
момент времени.
Значение осевой силы в произвольном сечении «ξ» можно представить в виде суммы:

где
-
осевая сила в сечении «ξ»;
-
вклад в осевую силу массы конструкции;
-
продольная аэродинамическая сила;
-
влияние давления наддува баков;
-
вклад тяги двигателя;
-
влияние массы топлива.
Продольная аэродинамическая сила отсеченной части конструкции может быть определена по формуле:

где
- координата, отчитывающаяся от носка
ракеты;
-
полная погонная аэродинамическая
нагрузка на корпус ЛА.
Полная погонная аэродинамическая нагрузка определяется по формуле:
,
где
- продольная погонная нагрузка, вызванная
силами давления на боковую поверхность
ЛА;
-
продольная погонная нагрузка от сил
трения.
Нагрузка
в
случае конического тела определяется
по формуле:

Коэффициент
определяется по формуле:

где
и
- радиусы оснований конического участка,
а
- текущий радиус.
В
точке 0 продольная погонная нагрузка,
вызванная силами трения на боковую
поверхность
.
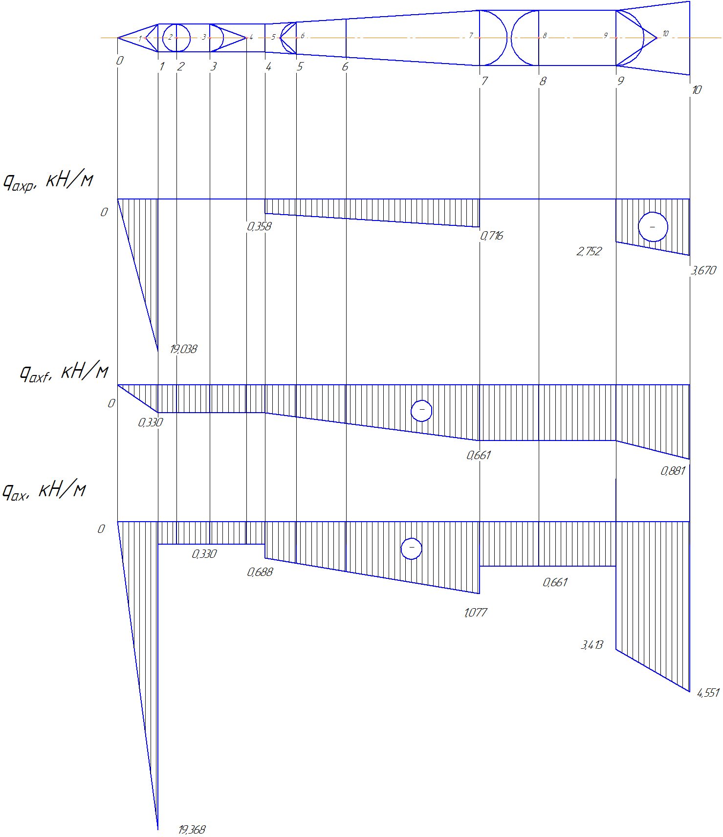
В сечении шпангоута № 1, изображенного на рисунке 1.6, погонная нагрузка, вызванная силами трения на боковую поверхность будет равна:

Рисунок 1.6 – Участок 0-1

В сечениях шпангоутов № 4 и №7, изображенных на рисунке 1.7, погонная нагрузка, вызванная силами трения на боковую поверхность будет равна:

Рисунок 1.7 – Участок 4-7


В сечениях шпангоутов № 9 и №10, изображенных на рисунке 1.8, погонная нагрузка, вызванная силами трения на боковую поверхность будет равна:

Рисунок 1.8 – Участок 9-10


Погонная
нагрузка
,
вызванная поверхностным трением,
определяется по формуле:

где F – половина площади продольного сечения летательного аппарата;
-
текущий радиус .



где
– длина участка 1-4,
– длина
участка 1-4,
– длина
участка 4-7,
– длина
участка 7-9,
– длина
участка 9-10,
– радиус
основания конуса,
– радиус
основания конуса,
– радиус
основания конуса.
Тогда
на участке 1-4 будет равна

На участке 7-9:

В сечении 10:

Складывая
значения
и
,
получим полную погонную аэродинамическую
нагрузку на корпус летательного аппарата.
Эпюры
погонных нагрузок
,
,
а также результат их суммирования
представлены на рисунке 1.9.

Рисунок 1.9 – Эпюры погонных нагрузок
Продольная
аэродинамическая сила
представлена
на рисунке 1.10.
Величина силы, обусловленной массой конструкции отсеченной части, определяется по формуле :

где
- масса i-го
сосредоточенного груза;
-
погонная масса конструкции,
м/с2
– ускорение свободного падения.
Эпюра
представлена на рисунке 1.10.
Величина силы, обусловленной давлением наддува в баках, определяется по формуле:
,
где
- дополнительная осевая сила от давления
наддува. Для цилиндрических баков
;
-
усилия, передаваемые на корпус от днищ
баков и обусловленные действием давления
наддува.
Для передних днищ эти силы определяются по формуле:
,
а для задних – по формуле:
,
где
и
- радиусы оснований баков.
-
давление наддува в баке.
Так как все баки имеют цилиндрическую форму, усилия на переднем и заднем шпангоутах будут одинаковыми, отличаясь лишь знаком.
В баках II ступени давление наддува:
Горючего:
Па,
Окислителя:
Па,
.
Тогда получаем:
кН;
кН.
В баках I ступени давление наддува:
Горючего:
Па,
Окислителя:
Па.
Для
бака окислителя

где h = 9,9 м – длина конической части бака,
– радиус
основания бака.
Тогда величина силы, обусловленной наддувом в баке будет равна:
кН;
кН.
Радиус бака окислителя будет равен:
.
Тогда получим:
кН.
Эпюра
представлена на рисунке 1.10.