Изобразим на рисунке 4.5 в силу симметрии относительно оси y половину поперечного сечения рассматриваемого отсека и пронумеруем все пояса, включая лонжероны.

Рисунок 4.5 – Поперечное сечение негерметичного подкрепленного отсека
Расчет напряжений выполняем методом последовательных напряжений. Вычислим положение нейтральной оси, что необходимо для определения числа поясов, участвующих в работе. Исходя из результатов работы программы OTCEK.EXE
наиболее опасным расчетным случаем принимаем первый.
Величину
в нулевом приближении определяется по
формуле:

Так
как
,
то пояса расположенные выше нейтральной
оси работают на растяжение, а те что
ниже работают на сжатие.
Дальнейшие расчеты приведем в табличном виде в таблице 2. Первые 3 столбца заполняем в соответствии с рисунком 4.5.
В
четвертый столбец заносим площади
пояса. учитывая что если пояса находится
на оси y,
то в силу симметрии в качестве
будем брать половину площади его сечения.
В нулевом приближении примем редукционный
коэффициент

Ширину
прикрепленной обшивки для растянутых
поясов принимаем равной
,
для сжатых поясов принимаем
В растянутой зоне работают только
лонжероны, в сжатой зоне работают все
пояса.
Приведенная площадь пояса:

Площадь поперечного сечения будет равна:

Статический
момент
поперечного отсека относительно оси z
равен:

Момент инерции поперечного сечения отсека относительно оси z равен:

Координата
центра тяжести поперечного сечения
отсека будет равна:

Момент инерции сечения относительно центральной оси, параллельной оси z равен

Приведенной нормальное напряжение в поясах равно:



Уточненной
положение нейтральной оси можно найти
из условия, что
:

Касательные
напряжения
в поясах отсека вычисляются по формуле:

где
–
статический момент отсеченной части
приведенного сечения относительно
центральной оси, параллельной оси z.
Результаты
расчетов
,
приведены в таблице 2. Значения нормального
напряжения в последнем поясе и наибольшее
значения касательного напряжения в
обшивке в нулевом приближении являются
исходными данными для поверочного
расчета в программе OTCEK.EXE.
Результат работы представлен на рисунке
4.6.

Рисунок 4.6 – Поверочный расчет, выполненный в программе OTCEK.EXE
Таблица 5 – Расчёт нормальных и касательных напряжений.
|
i |
θi |
Yi |
Fпояс |
φ(0)i |
b(0)пр i,мм |
Fi , мм2 |
F=Fi*φi , мм2 |
Sx=Fi*φi*yi , мм3 |
Iz=Fi*φi*yi2, мм4 |
σri,МПа |
Siотс,
мм3 |
, МПа |
|
1 |
2 |
3 |
4 |
5 |
6 |
7 |
8 |
9 |
10 |
11 |
13 |
14 |
|
1 |
0 |
1000 |
63,05 |
0 |
130,9 |
167,77 |
0 |
0 |
0 |
0 |
0 |
0 |
|
2 |
7,5 |
991,4449 |
126,1 |
0 |
130,9 |
230,82 |
0 |
0 |
0 |
0 |
0 |
0 |
|
3 |
15 |
965,9258 |
126,1 |
0 |
130,9 |
230,82 |
0 |
0 |
0 |
0 |
0 |
0 |
|
4 |
22,5 |
923,8795 |
126,1 |
0 |
130,9 |
230,82 |
0 |
0 |
0 |
0 |
0 |
0 |
|
5 |
30 |
866,0254 |
126,1 |
0 |
130,9 |
230,82 |
0 |
0 |
0 |
0 |
0 |
0 |
|
6 |
37,5 |
793,3533 |
126,1 |
0 |
130,9 |
230,82 |
0 |
0 |
0 |
0 |
0 |
0 |
|
7 |
45 |
707,1068 |
550 |
1 |
130,9 |
654,72 |
654,72 |
462957 |
327360000 |
190,3569 |
686734,661 |
35,62833 |
|
8 |
52,5 |
608,7614 |
126,1 |
0 |
130,9 |
230,82 |
0 |
0 |
0 |
0 |
0 |
0 |
|
9 |
60 |
500 |
126,1 |
0 |
130,9 |
230,82 |
0 |
0 |
0 |
0 |
0 |
0 |
|
10 |
67,5 |
382,6834 |
126,1 |
0 |
130,9 |
230,82 |
0 |
0 |
0 |
0 |
0 |
0 |
|
11 |
75 |
258,819 |
126,1 |
0 |
130,9 |
230,82 |
0 |
0 |
0 |
0 |
0 |
0 |
|
12 |
82,5 |
130,5262 |
126,1 |
1 |
65,45 |
178,46 |
178,46 |
23293,7 |
3040438,52 |
70,42634 |
0 |
0 |
|
13 |
90 |
6,13E-14 |
126,1 |
1 |
65,45 |
178,46 |
178,46 |
1,09E-11 |
6,69666E-25 |
43,27648 |
0 |
0 |
|
14 |
97,5 |
-130,526 |
126,1 |
1 |
65,45 |
178,46 |
178,46 |
-23293,7 |
3040438,52 |
16,12662 |
0 |
0 |
|
15 |
105 |
-258,819 |
126,1 |
1 |
65,45 |
178,46 |
178,46 |
-46188,8 |
11954553,22 |
-10,5587 |
701541,919 |
36,39654 |
|
16 |
112,5 |
-382,683 |
126,1 |
1 |
65,45 |
178,46 |
178,46 |
-68293,7 |
26134861,91 |
-36,3229 |
694244,339 |
36,01793 |
|
17 |
120 |
-500 |
126,1 |
1 |
65,45 |
178,46 |
178,46 |
-89230 |
44615000 |
-60,7251 |
666010,444 |
34,55314 |
|
18 |
127,5 |
-608,761 |
126,1 |
1 |
65,45 |
178,46 |
178,46 |
-108640 |
66135576,61 |
-83,3478 |
618366,984 |
32,08136 |
|
19 |
135 |
-707,107 |
550 |
1 |
65,45 |
602,36 |
602,36 |
-425933 |
301180000 |
-103,804 |
398315,651 |
20,66493 |
|
20 |
142,5 |
-793,353 |
126,1 |
1 |
65,45 |
178,46 |
178,46 |
-141582 |
112324423,4 |
-121,744 |
317729,919 |
16,48407 |
|
21 |
150 |
-866,025 |
126,1 |
1 |
65,45 |
178,46 |
178,46 |
-154551 |
133845000 |
-136,86 |
224175,131 |
11,63038 |
|
22 |
157,5 |
-923,88 |
126,1 |
1 |
65,45 |
178,46 |
178,46 |
-164876 |
152325138,1 |
-148,893 |
120295,694 |
6,241034 |
|
23 |
165 |
-965,926 |
126,1 |
1 |
65,45 |
178,46 |
178,46 |
-172379 |
166505446,8 |
-157,639 |
8912,6765 |
0,462397 |
Продолжение таблицы 5
|
24 |
172,5 |
-991,445 |
126,1 |
1 |
65,45 |
178,46 |
178,46 |
-176933 |
175419561,5 |
-162,947 |
-107024,47 |
-5,55251 |
|
25 |
180 |
-1000 |
63,05 |
1 |
65,45 |
115,41 |
115,41 |
-115410 |
115410000 |
-164,727 |
-182988,31 |
-9,49358 |
|
|
|
|
|
|
|
∑ |
7028,02 |
-2402117,26 |
3278580877 |
|
|
|
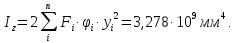
По результатам поверочного расчета программы OTCEK.EXE, выбираем панели №16, №20, №24.
Напряжения в обшивке вычисляются по формуле:

где
– коэффициент коррекции,
-
угол наклона гофр (см. рисунок 4.6)
Коэффициент коррекции находится по формуле:

Так
как
то

Получаем

где


-
принимаем из данных программы OTCEK.EXE.
Тогда напряжения в обшивке будут равны


Сжимающие напряжения в стрингере за счет потери устойчивости обшивки от сдвига определяем следующим образом:

где
– приведенная площадь сечения стрингера,
где
– участок обшивки, примыкающей к
стрингеру,
Получаем



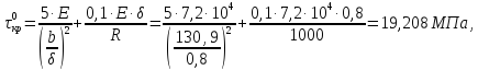
Напряжения
изгиба
в среднем сечении стрингера определяем
по формуле:

где
– максимальный изгибающий момент,
-
момент инерции сечения стрингера
относительно оси
с учетом прикрепленного к нему участка
общивки,
-
расстояние от оси
,
изображенной на рисунке 4.7.

Рисунок 4.7 – К расчету стрингера на изгиб

где
– погонная поперечная нагрузка.
Получаем


Найдем
момент инерции сечения относительно
оси
:

где

Получаем
где
МПа, где

берем из результатов программы OTCEK.EXE;
если

– критические
напряжения для каждой панели.
где

– берем
из результатов программы OTCEK.EXE.
Характеристики выбранного профиля, изображенного на рисунке 4.7 равны:

Наибольшие сжимающие напряжения изгиба будут наблюдаются в точке 1, наибольшие растягивающие напряжения наблюдаются в точке 2.
Для выбранных точек имеем:
