Координата точки приложения равнодействующей нормальной аэродинамической силы определяется по формуле:

где
–
координата центра давления i-го
конического
участка от носка аппарата;
где
–
координата центра давления i-го
цилиндрического
участка от носка аппарата.
м;
м;
м;
м;

м
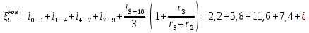
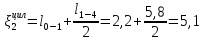
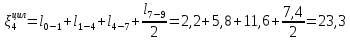
где
м
– длина участка 0-1,
=
5,8 м
– длина участка 1-4,
=
6,4 м
– длина
участка 4-7,
=
7,4 м
– длина
участка 7-9,
=
4,0 м
– длина
участка 9-10,
м,
м,
м
– радиусы
оснований конусов.
Получаем
координату приложения
:


Момент внешних сил


Угловое ускорение:
.
Поперечная
перегрузка
определяется по формуле:

где
расстояние
от центра масс ракеты до i-го
сечения.
Эпюра
представлена на рисунке 1.12.
Рисунок
1.12 – Посторенние эпюры

Значения эпюр M и Q по длине летательного аппарата находим с помощью программы QM.exe. Распечатка результатов работы программы приведена на странице 28. Эпюры представлены на рисунке 1.13.

Рисунок 1.13 — Эпюра перерезывающей силы Q и изгибающего момента M
Скачки на эпюре перерезывающей силы Q, определяется по формуле:

От сосредоточенных масс
на
корпус передается нормальные силы,
равные:
,
где
-
ускорение свободного падения,
- нормальная перегрузка в центре масс
ЛА,
-
угловое ускорение ЛА,
- расстояние от центра масс ЛА до центра
масс i-го груза.
Скачки на эпюре изгибающего момента M, определяется по формуле:
.
От сосредоточенных масс
,
передаются сосредоточенный момент,
равный:

где
-
расстояние от центра масс груза до
плоскости его крепления к корпусу
(
,
если центр масс удален от плоскости
крепления в положительном направлении
оси х),
- массовый момент инерции i-го груза.
Сечение 3:

где
– масса днища, прикрепленного к шпангоуту
№3;
– масса топлива в днище.
– расстояние от центра масс бака с
топливом до плоскости его крепления к
корпусу.

где
м
– расстояние от носка до центра масс
летательного аппарата для расчётного
момента времени,
-
длина
участка 0-3,
собственный
момент инерции бака с топливом, где
– собственный момент инерции топлива
в днище бака,
– собственный
момент инерции сферическогоого бака
окислителя I
ступени, где
– радиус сферического бака окислителя
II
ступени.

где
– масса двигательной установки,
прикрепленной к шпангоуту №3.
– расстояние от центра масс двигательной
установки до плоскости его крепления
к корпусу.

где
м
– расстояние от носка до центра масс
летательного аппарата для расчётного
момента времени;
-
длина
участка 0-3.










Сечение 9:

где
– масса двигательной установки,
прикрепленной к шпангоуту № 9;

где
м
– расстояние от носка до центра масс
летательного аппарата для расчётного
момента времени,
-
длина
участка 0-9.

где
– масса днища, прикрепленного к шпангоуту
№9;
– масса топлива в днище.
– расстояние от центра масс бака с
топливом до плоскости его крепления к
корпусу.

где
м
– расстояние от носка до центра масс
летательного аппарата для расчётного
момента времени,
-
длина
участка 0-9,
собственный
момент инерции бака с топливом, где
– собственный момент инерции топлива
в днище бака,
– собственный
момент инерции сферического бака
окислителя I
ступени, где
– радиус сферического бака окислителя
II
ступени.










