Величина силы, обусловленная влиянием массы топлива, определяется по формуле:

где
- дополнительная осевая сила от давления
жидкости. Для баков цилиндрической
формы
;
-
усилия, обусловленные давлением жидкости
на задние днища баков, определим их по
формуле:
,
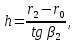
Для бака окислителя I ступени высота столба топлива h определяется по формуле:

где
местный радиус конического бака.

где V – объем топлива в конической части бака.

где m=25618,8 кг – масса топлива в конической части бака,
плотность
топлива в баке окислителя I
ступени.

.
Таким образом

Н.

Н,
где
=8058
кг – масса топлива в днище бака,
масса
топлива в цилиндре с высотой h
и радиусом основания

Н.
Для бака горючего I ступени:
кг,
где
=5938
кг
– масса топлива в днище бака горючего
I
ступени,
13498,1
кг
- масса топлива в цилиндрической части
бака горючего I
ступени;
кН.
Для бака горючего II ступени:
кг,
где
=1838
кг
– масса топлива в днище бака горючего
II
ступени;
кН.
Для бака окислителя II ступени:
кг,
где
=1343
кг
– масса топлива в днище бака окислителя
II
ступени,
кг
- масса топлива в цилиндрической части
бака окислителя II
ступени;
кН.
Эпюра
силы
представлена на рисунке 1.10.
Вклад тяги двигателя может быть определен по формуле:

где
- тяга i-го
двигателя.
В
нашем случае
Н.
Тогда
.
Эпюра
силы
представлена на рисунке 1.10.
Осевую
силу
можно получить путем суммирования эпюр
в
соответствующих сечениях.
Эпюры
,
представлена на рисунке 1.10.


Рисунок
1.10 — Эпюры
,
Значения
всех составляющих нормальной осевой
силы представлены в Таблице 1 на странице
19.

В
крайнем сечении корпуса (т.е. при
,
где L
– длина летательного аппарата) должны
выполняться равенства:

,



где
=9010
кг-
масса сухой конструкции;
-
масса топлива в рассматриваемый момент
времени;
m=68123,8 кг - масса ЛА в рассматриваемый момент времени;
Тогда получаем:
Н.
Суммируя
эпюры
и
, получим значение:
Н.

Н.
.
По
эпюре значение
Н.

Н.
По
эпюре
,


Погрешность
построения эпюр
и
,
как видно из эпюр, равны нулю, следовательно:

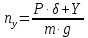
Нормальная
перегрузка
вычисляется по формуле:
,
где P=1760 кН – сила тяги двигателя летательного аппарата;
– нормальная
аэродинамическая сила;
–
угол
поворота двигателя;
m=68123,8 кг – масса летательного аппарата на расчётный момент времени;
м/с2
– ускорение свободного падения.
Полная нормальная аэродинамическая сила рассчитывается по формуле
,
где
– суммарное значение всех полных
нормальных аэродинамических сил на
конических участках;
– суммарное
значение всех полных нормальных
аэродинамических сил на цилиндрических
участках.


где
– удлинение цилиндра;
-
площади основания конуса.
На рисунке 1.11 изображена схема ЛА с обозначением необходимых для определения нормальной аэродинамической силы участков и расположение оснований, необходимых для расчета и приведенных для наглядности.

Рисунок 1.11 – Схема ЛА с обозначением расположения участков и оснований конусов
Н,
где
- площади основания конуса.
Н,
где
-
площади основания конуса.
Н,
где
-
площади основания конуса.
Н,
где
– удлинение цилиндрического участка
1-4,
–
площадь
основания цилиндрического участка 1-4,

Н,
где
– удлинение цилиндрического участка
7-9,
–
площадь
основания цилиндрического участка 7-9,

Полная нормальная аэродинамическая сила:


Нормальная
перегрузка
в этом случае:

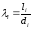
Угловое
ускорение
можно найти из уравнения вращательного
движения летательного аппарата вокруг
оси z
,
где
– момент всех внешних сил;
кг
м2
– массовый
момент инерции летательного аппарата
относительно оси z.
Момент всех внешних сил определяется по формуле:
,
где
м
– расстояние от носка до центра масс
летательного аппарата для расчётного
момента времени;
=
29,2 м
– координата точки приложения тяги
двигательной установки;
–
координата
точки приложения равнодействующей
нормальной аэродинамической силы.