






Момент инерции сечения относительно центральной оси х:

Рассмотрим сечение, в котором действует максимальный изгибающий момент. Имеем:
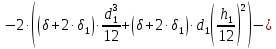
,
,
,
.
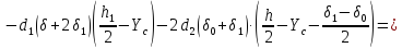
Расстояние от полок профилей до оси x:


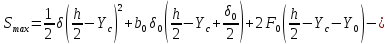
Напряжения в точках А и В:


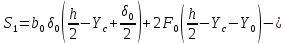
Рассмотрим сечение, в котором действует минимальный изгибающий момент. Имеем:
,
,
,
.
Напряжения в точках А и В:


Из полученных значений выбираем наибольшее растягивающее и наибольшее сжимающее напряжения:


Запас прочности по растяжению:

где
– коэффициент заклепочного шва,
предел
прочности на растяжение и сжатие.
Запас по устойчивости:

Статический момент части поперечного сечения, расположенной выше центра тяжести:





где
– координата центра тяжести профиля.
Максимальное напряжение в стенке:

Критическое касательное напряжение:

Предел пропорциональности при сдвиге:

где
– предел пропорциональности.
Критическое касательное напряжение выше предела пропорциональности при сдвиге. Принимаем:

где

Запас устойчивости стенки от сдвига:

Статический момент части сечения шпангоута, крепящейся к стенке:





Сила, приходящаяся на заклепку:

где
– шаг заклепок.
Сила среза заклепки:

где
–напряжение на срез.
Запас
прочности по срезу заклепки
:

Сила среза в соединении обшивки с поясом:

где
– шаг заклепок.
Сила среза заклепки:

где
–напряжение на срез.
Запас
прочности по срезу заклепки
:

Напряжение смятия стенки:

Допускаемое напряжение смятия:

Запас прочности по смятию стенки:

Напряжение смятия обшивки:

Запас прочности по смятию обшивки:

*** Р А С Ч Е Т Ш П А Н Г О У Т А *** Gorozhankina 1408
РАДИУС ШПАНГОУТА,М 1.500 ДЛИНА ОТСЕКА,М 1.500 УСЛ.ПРЕДЕЛ ТЕКУЧЕСТИ,МПА 270. E/E0= 1.000
МОМЕНТ ИНЕРЦИИ СЕЧ.,М**4 .1053E-04 ТОЛЩИНА ОБШИВКИ,ММ 2.00 МОДУЛЬ УПРУГОСТИ,МПА .720E+05 E/(2.*G)=1.300
ЧИСЛО СИЛ: РАДИАЛЬНЫХ 2 КАСАТЕЛЬНЫХ 3 МОМЕНТОВ 2
РАДИАЛЬНЫЕ СИЛЫ,КН
УГОЛ,ГРАД. 80.0 270.0
РАСЧ.ЗНАЧ. 22.50 37.50
КАСАТЕЛЬНЫЕ СИЛЫ,КН
УГОЛ,ГРАД. 40.0 120.0 270.0
РАСЧ.ЗНАЧ. 60.00 45.00 97.50
СОСРЕДОТОЧЕННЫЕ МОМЕНТЫ,КН*М
УГОЛ,ГРАД. 80.0 320.0
РАСЧ.ЗНАЧ. 30.00 22.50
******************************************************** ********************************************************
* УГОЛ * М,КН*М * N,КН * Q,КН * QT,КН/М * * УГОЛ * M,КН*М * N,КН * Q,КН * QT,КН/М *
******************************************************** ********************************************************
* 0. *-4.101E+00 *-9.824E+00 * 2.924E+00 *-3.021E+01 * * 180. * 2.746E+00 *-1.085E+01 *-4.089E+00 *-2.142E+00 *
* 5. *-3.767E+00 *-5.367E+00 * 2.251E+00 *-4.117E+01 * * 185. * 2.150E+00 *-1.016E+01 *-5.007E+00 *-2.511E+00 *
* 10. *-3.492E+00 * 5.022E-01 * 2.029E+00 *-5.109E+01 * * 190. * 1.438E+00 *-9.267E+00 *-5.857E+00 *-4.152E+00 *
* 15. *-3.211E+00 * 7.574E+00 * 2.373E+00 *-5.955E+01 * * 195. * 6.208E-01 *-7.997E+00 *-6.613E+00 *-7.157E+00 *
* 20. *-2.842E+00 * 1.558E+01 * 3.378E+00 *-6.614E+01 * * 200. *-2.874E-01 *-6.183E+00 *-7.237E+00 *-1.154E+01 *
* 25. *-2.295E+00 * 2.419E+01 * 5.110E+00 *-7.059E+01 * * 205. *-1.266E+00 *-3.661E+00 *-7.672E+00 *-1.723E+01 *
* 30. *-1.471E+00 * 3.304E+01 * 7.606E+00 *-7.270E+01 * * 210. *-2.285E+00 *-2.895E-01 *-7.851E+00 *-2.408E+01 *
* 35. *-2.700E-01 * 4.176E+01 * 1.087E+01 *-7.240E+01 * * 215. *-3.306E+00 * 4.043E+00 *-7.694E+00 *-3.185E+01 *
* 40. * 1.408E+00 *-1.003E+01 * 1.488E+01 *-6.972E+01 * * 220. *-4.281E+00 * 9.405E+00 *-7.115E+00 *-4.022E+01 *
* 45. * 3.313E+00 *-2.468E+00 * 1.434E+01 *-6.485E+01 * * 225. *-5.147E+00 * 1.581E+01 *-6.023E+00 *-4.880E+01 *
* 50. * 5.189E+00 * 4.346E+00 * 1.443E+01 *-5.809E+01 * * 230. *-5.831E+00 * 2.320E+01 *-4.327E+00 *-5.714E+01 *
* 55. * 7.114E+00 * 1.014E+01 * 1.507E+01 *-4.986E+01 * * 235. *-6.250E+00 * 3.147E+01 *-1.947E+00 *-6.475E+01 *
* 60. * 9.154E+00 * 1.472E+01 * 1.616E+01 *-4.071E+01 * * 240. *-6.308E+00 * 4.042E+01 * 1.186E+00 *-7.117E+01 *
* 65. * 1.136E+01 * 1.796E+01 * 1.760E+01 *-3.129E+01 * * 245. *-5.904E+00 * 4.980E+01 * 5.120E+00 *-7.593E+01 *
* 70. * 1.377E+01 * 1.985E+01 * 1.926E+01 *-2.227E+01 * * 250. *-4.932E+00 * 5.929E+01 * 9.881E+00 *-7.866E+01 *
* 75. * 1.641E+01 * 2.047E+01 * 2.102E+01 *-1.432E+01 * * 255. *-3.282E+00 * 6.854E+01 * 1.546E+01 *-7.903E+01 *
* 80. *-1.072E+01 * 2.000E+01 * 2.972E-01 *-7.974E+00 * * 260. *-8.494E-01 * 7.715E+01 * 2.183E+01 *-7.686E+01 *
* 85. *-1.057E+01 * 2.063E+01 * 2.075E+00 *-3.564E+00 * * 265. * 2.463E+00 * 8.472E+01 * 2.890E+01 *-7.214E+01 *
* 90. *-1.018E+01 * 2.066E+01 * 3.880E+00 *-1.189E+00 * * 270. * 6.742E+00 *-6.630E+00 *-9.294E-01 *-6.498E+01 *
* 95. *-9.555E+00 * 2.034E+01 * 5.670E+00 *-7.043E-01 * * 275. * 6.598E+00 * 1.386E+00 *-1.150E+00 *-5.571E+01 *
* 100. *-8.698E+00 * 1.992E+01 * 7.427E+00 *-1.780E+00 * * 280. * 6.469E+00 * 8.063E+00 *-7.266E-01 *-4.476E+01 *
* 105. *-7.612E+00 * 1.956E+01 * 9.149E+00 *-3.978E+00 * * 285. * 6.431E+00 * 1.317E+01 * 2.117E-01 *-3.267E+01 *
* 110. *-6.304E+00 * 1.939E+01 * 1.085E+01 *-6.824E+00 * * 290. * 6.541E+00 * 1.655E+01 * 1.521E+00 *-2.007E+01 *
* 115. *-4.773E+00 * 1.947E+01 * 1.254E+01 *-9.869E+00 * * 295. * 6.838E+00 * 1.815E+01 * 3.048E+00 *-7.587E+00 *
* 120. *-3.020E+00 *-2.522E+01 * 1.425E+01 *-1.272E+01 * * 300. * 7.342E+00 * 1.803E+01 * 4.639E+00 * 4.114E+00 *
* 125. *-1.297E+00 *-2.454E+01 * 1.208E+01 *-1.505E+01 * * 305. * 8.049E+00 * 1.633E+01 * 6.149E+00 * 1.438E+01 *
* 130. * 1.454E-01 *-2.342E+01 * 9.981E+00 *-1.664E+01 * * 310. * 8.942E+00 * 1.329E+01 * 7.450E+00 * 2.260E+01 *
* 135. * 1.321E+00 *-2.197E+01 * 7.998E+00 *-1.733E+01 * * 315. * 9.986E+00 * 9.236E+00 * 8.439E+00 * 2.826E+01 *
* 140. * 2.245E+00 *-2.033E+01 * 6.151E+00 *-1.710E+01 * * 320. *-1.137E+01 * 4.557E+00 * 9.044E+00 * 3.103E+01 *
* 145. * 2.938E+00 *-1.861E+01 * 4.452E+00 *-1.599E+01 * * 325. *-1.016E+01 *-3.218E-01 * 9.229E+00 * 3.077E+01 *
* 150. * 3.417E+00 *-1.695E+01 * 2.901E+00 *-1.417E+01 * * 330. *-8.967E+00 *-4.969E+00 * 8.995E+00 * 2.756E+01 *
* 155. * 3.703E+00 *-1.544E+01 * 1.489E+00 *-1.184E+01 * * 335. *-7.826E+00 *-8.979E+00 * 8.380E+00 * 2.168E+01 *
* 160. * 3.813E+00 *-1.413E+01 * 2.011E-01 *-9.262E+00 * * 340. *-6.787E+00 *-1.200E+01 * 7.457E+00 * 1.356E+01 *
* 165. * 3.760E+00 *-1.305E+01 *-9.830E-01 *-6.716E+00 * * 345. *-5.883E+00 *-1.375E+01 * 6.323E+00 * 3.746E+00 *
* 170. * 3.559E+00 *-1.219E+01 *-2.083E+00 *-4.492E+00 * * 350. *-5.136E+00 *-1.403E+01 * 5.099E+00 *-7.203E+00 *
* 175. * 3.218E+00 *-1.148E+01 *-3.115E+00 *-2.878E+00 * * 355. *-4.546E+00 *-1.273E+01 * 3.920E+00 *-1.871E+01 *
******************************************************** ********************************************************