Материал: 3568

Внимание! Если размещение файла нарушает Ваши авторские права, то обязательно сообщите нам

21

Ц2051 - безопасность движения;

Ц2052 - безопасность пассажиров;

Ц2053 - безопасность персонала;

Ц2054 - безопасность населения;

Ц2055 - экологическая безопасность;

Ц2056 - гарантия оказания помощи участникам транспортного процесса; 2 - беспрепятственный выбор вида транспорта и услуги клиентом;061

Ц2062 - альтернативность и выбор уровня обслуживания;

Ц2063 - комфортность и альтернативность размещения пассажиров;

Ц2064 - надежность транзита и пересадок;

Ц2065 - сохранность багажа;

Ц2066 - совместимость транспортирования пассажира и багажа;

Ц2071 - обеспечение транспортных требований армии и органов защиты

внутренней и внешней безопасности страны;

Ц2072 - резервирование перевозочных и пропускных способностей

транспортного комплекса;

Ц2073 - транспортное обслуживание действий в особых условиях;

Ц2074 - поддержание конкурентоспособности и расширение участия в

международных перевозках, в том числе и транзитных; Ц 2075 - обеспечение транспортных интересов страны в регионе СНГ,

ближнего зарубежья и европейско-азиатского сообщества.

6 ДЕРЕВО СИСТЕМ АВТОМОБИЛЬНОГО ТРАНСПОРТА

После того, как установлены конкретно цели системы, необходимо определить наиболее эффективные способы достижения этих целей. Цели можно достичь несколькими способами или их комбинацией. Поэтому следует указать еще на одно важное условие управления: обязательность анализа и сравнения нескольких путей достижения поставленных целей, т.е. состязательность и альтернативность при выборе решений - избыточность банка решений при выборе методов достижения поставленных целей.

1)При выборе альтернатив рассматриваются многие варианты достижения цели, т.е. вероятность пропуска хороших, но сразу не видимых решений, сокращается.

2)Появляется состязательность вариантов.

3)При защите своих вариантов в ходе дискуссии их авторы выявляют слабые стороны и могут улучшать свое предложение, совершенствуя его.

4)Руководитель, принимая окончательное решение, может взять лучшие блоки из разных альтернатив (морфологический метод).

Руководитель должен не только позволять, но и стимулировать подчиненных к поиску и обоснованию различных альтернатив решений, применяя для этого определенные механизмы и процедуры (экспертное ранжирование, метод Дельфи и др.).

22

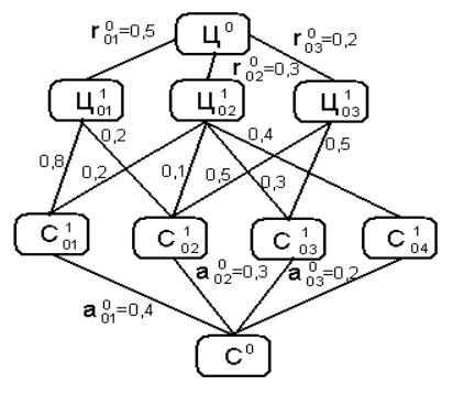
Рис. 6 Схема взаимодействия дерева целей (ДЦ) и дерева систем (ДС): Ц о – цель высшего уровня; Ц 101…03 – цели первого уровня; С° – система высшего уровня; С 101…04 – системы первого уровня

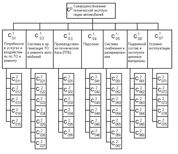
Способы достижения поставленных целей требуют такой же систематизации, как и сами цели и подцели. Систематизацию и упорядочение выявленных способов достижения поставленных перед системой целей рекомендуется осуществлять построением дерева систем (ДС). В ДС в вершинах указываются объекты или системы, которые реализуют эти функции (целереализующие системы). Иногда их называют факторами, а задача управления определяется следующим образом: выбрать из ДС ряд факторов (подсистем), влияя на которые можно наиболее эффективно добиться достижения поставленных целей. ДС может воспроизводить или не совпадать с ДЦ.

Дерево систем строится по тем же законам, как и дерево целей, т.е. определяется генеральная система С°, которая структуризируется на подсистемы первого (С101, С102, .... С1Оn), второго и последующих уровней.

Высший уровень ДС представляет собой техническую эксплуатацию в целом, которая обеспечивает перевозочный процесс достаточным количеством работоспособного подвижного состава необходимых видов и типоразмеров.

23

Рис. 7 Дерево систем технической эксплуатации

С2011 – маркетинговый анализ рынка услуг (спрос, содержание, конкуренция);

С2012 – внутренняя потребность предприятия; С2013 – оценка возможностей собственного производства (объем услуг,

цены, предложения); С2014 – диверсификация и расширение сфер деятельности предприятия;

С2015 – корректирование производственной программы предприятия с учетом внутренних и внешних потребностей;

С2021 – применение обоснованных нормативов системы; С2022 – обеспечение выполнения рекомендаций и нормативов системы;

С2023 – совершенствование технологии, организации и управления процессами ТО и ремонта;

С2024 – обеспечение рабочих мест и исполнителей рациональной технологической и др. документацией;

С2025 – компьютеризация и индивидуализация учета и отчетности при технической эксплуатации автомобилей;

24

С2026 – совершенствование проектной документации по строительству и реконструкции предприятий;

С2027- повышение адаптивности к изменению конструкций изделий и условиям работы;

С2031 – обеспеченность производственно-технической базой; С2032 – оптимизация мощности и структуры базы;

С2033 – оптимизация пропускной способности средств обслуживания; С2034 – выбор средств механизации, автоматизации и роботизации ТО и

ремонта; С2035 – специализация предприятий ПТБ;

С2036 – кооперация предприятий ПТБ на отраслевом и региональном уровнях;

С2041 – обеспечение предприятия персоналом; С2042 – повышение квалификации персонала;

C2043 – совершенствование систем стимулирования персонала; C2044 – обеспечение стабильности трудовых коллективов; C2045 – повышение престижности профессий;

С2046 – развитие коллективных форм работы персонала; С2051 – совершенствование структуры системы снабжения;

С2052 – применение рациональных норм расхода топлив, масел и др. материалов;

С2053 – обеспечение оптимальных запасов и методов их пополнения; С2054 – совершенствование процесса обмена изделий при капитальном

ремонте (КР); С2055 – совершенствование процессов заказа и приобретения новых

автомобилей, комплектующих изделий, материалов, включая лизинг; С2056 – создание резерва производственных площадей, оборудования,

персонала; С2057 – создание резерва исправных автомобилей;

С2061 – выбор рациональных типов и моделей автомобилей; C2062 – выбор эксплуатационных материалов;

C2063 – повышение качества восстановления и КР изделий;

С2064 – изменение структуры парка (тип, грузоподъемность, вместимость, применяемое топливо и др.);

С2065 – управление возрастной структурой парка, рациональные сроки службы;

С2066 – повышение уровня унификации изделий и материалов; С2071 – учет природно-климатических условий; С2072 – учет дорожных условий;

С2073 – учет транспортных условий и интенсивности использования изделий;

С2074 – выбор автомобилей, комплектующих изделий, материалов с учетом условий эксплуатации;

25

С2075 – использование автомобилей с учетом возраста, состояния и условий эксплуатации.

Значение построения ДЦ и ДС.

1)Выявляются все факторы и подфакторы, влияющие на достижение поставленной цели.

2)Имеется возможность оценить, взвесить уровень влияния, т.е. установить наиболее действующие подсистемы.

3)Исключается реализация целей низшего уровня за счет высшего, т.е. сохраняется иерархия целей и систем.

4)Выявляются факторы или подфакторы одного уровня, влияя на которые в рамках ограниченных ресурсов можно наиболее эффективно достичь поставленной цели.

5)По мере декомпозиции, т.е. разложения целей, увеличивается их адресность, т.е. возможность их делегирования конкретным подразделениям и службам АТП или фирмы. Это обеспечивает персонализацию ответственности за их реализацию и установление обоснованных показателей эффективности служб, цехов, участков, а при необходимости и исполнителей.

6)Разложение целей и систем на частные позволяет более конкретно их проанализировать и сократить при принятии решений вероятность серьезных ошибок, свойственную глобальным решениям.

Факторы и подфакторы необходимо до принятия решения описать, оценить и классифицировать по следующим главным признакам.

1)В процессе управления при выборе подсистем прежде всего оперируют понятием уровня влияния данной подсистемы (или веса) на достижение цели. Это первый важный классификационный признак. Чем больше эти величины, тем предпочтительнее выбор соответствующей подсистемы.

2)По управляемости факторы подразделяются на убавляемые, частично управляемые и учитываемые (неуправляемые) для данного уровня управления. Например, дорожные и климатические условия необходимо учитывать при определении эффективности ТЭ, но они практически неуправляемые для конкретного АТП, работающего в соответствующем регионе. Система ТО и ремонта и ее основные нормативы разрабатываются на основе исследований

иобобщения передового опыта и рекомендуются для всех предприятий и организаций автомобильного транспорта, независимо от формы собственности. Но обеспечение выполнения рекомендаций системы и корректирования ее нормативов является управляемым подфактором для АТП. Ряд факторов может со временем изменять уровень управляемости.

3)Необходимо различать факторы подвижные и консервативные. Требуется значительное время для создания новой или реконструкции существующей производственной базы (3-5 лет), хотя ее влияние на эффективность технической эксплуатации значительно. К консервативным, хотя и важным факторам, следует отнести и исходный уровень новых и капитально отремонтированных автомобилей и агрегатов при отсутствии реальной конкурен-