Материал: 2501

Внимание! Если размещение файла нарушает Ваши авторские права, то обязательно сообщите нам

Таблица 7

Результаты расчета работы АТС в совокупности микро АТСПГ при втором варианте планового объема перевозок

 

 

 

Выработка

Выработка

 

 

Общий

Время в

 

 

 

 

АТС в

АТС в

 

Время АТС

пробег

 

 

 

 

 

наряде АТС

 

 

 

 

совокуп-

совокупност

Пробег АТС

факти-

АТС в

 

 

 

 

факти-

 

 

ности

и микро

в совокуп-

ческое в

совокуп-

Аэ,

 

ческое в

С

АТСПГ в

ности микро

совокупност

ности

 

ед

 

 

 

микро

совокупност

 

 

 

АТ ПГ в

тонно-

АТСПГ

и микро

микро

 

 

 

 

тоннах за

к лометрах

 

АТСПГ

АТСПГ за

и микро

 

 

 

 

смену

за смену

 

 

смену

АТСПГ

 

 

1

 

2

3

4

5

6

7

8

6

и

343,24

17,23

417,72

20,21

5

 

84,00

1253,16

 

7

 

91,00

1362,76

314,88

16,76

389,36

19,86

5

 

8

 

104,00

1557,44

314,88

17,28

389,36

20,38

5

 

9

 

117,00

1752,12

314,88

17,80

389,36

20,90

5

10

бА

389,36

21,03

5

130,00

1946,80

314,88

17,93

 

11

132,00

1966,91

283,14

16,72

357,62

19,82

5

 

12

144,00

2145,72

283,14

17,20

357,62

20,30

5

 

13

156,00

2324,53

283,14

17,56

357,62

20,66

5

 

14

168,00

2503,34

283,14

18,04

357,62

21,14

5

 

15

180,00

2682,15

283,14

17,56

357,62

20,66

5

 

16

192,00

2860,96

283,14

17,92

357,62

21,02

5

 

17

187,00

2798,71

254,78

16,56

329,26

19,66

5

 

18

198,00

2963,34

254,78

16,89

329,26

19,99

5

 

19

209,00

3127,97

254,78

17,22

329,26

20,32

5

 

20

220,00

3292,60

254,78

17,00

329,26

20,10

5

 

 

 

 

 

 

 

Таблица 8

 

Результаты расчета работы ТС в совокупности микро АТСПГ

 

 

 

 

при третьем варианте планового объема перевозок

 

 

 

 

Выработка

Выработка

 

 

 

Общий

Время в

 

 

 

АТС в

 

Время АТС

 

 

 

АТС в

Пробег АТС

 

наряде АТС

 

 

 

 

Дпробег

 

 

 

совокупнос

совокупност

в сово-

факти-

 

АТС в

факти-

 

 

ти микро

и микро

купности

ческое в

 

совокупнос

ческое в

Аэ,

 

 

АТСПГ в

АТСПГ в

микро

совокуп-

 

ти микро

совокуп-

ед

 

 

тоннах за

тонно-

АТСПГ

ности микро

АТСПГ за

ности микро

 

 

 

километрах

АТСПГ

 

 

 

 

смену

 

 

смену

АТСПГ

 

 

 

за смену

 

 

 

 

 

 

 

 

 

И

 

1

2

3

4

5

 

6

7

8

 

6

114,00

1637,40

471,32

23,60

545,80

26,58

5

 

7

126,00

1779,12

433,84

23,12

508,32

26,22

5

 

8

144,00

2033,28

433,84

23,84

508,32

26,94

5

 

9

153,00

2194,29

413,14

23,33

487,62

26,44

5

 

10

170,00

2438,10

413,14

23,50

487,62

26,61

5

 

11

187,00

2681,91

413,14

24,18

487,62

27,29

5

 

436

Окончание таблицы 8

1

2

3

4

5

6

7

8

12

192,00

2741,64

382,46

23,14

456,94

26,24

5

13

208,00

2970,11

382,46

23,62

456,94

26,72

5

14

224,00

3198,58

382,46

24,26

456,94

27,36

5

15

240,00

3427,05

382,46

23,62

456,94

26,72

5

16

256,00

3655,52

382,46

24,10

456,94

27,20

5

17

272,00

3883,99

382,46

24,58

456,94

27,68

5

18

270,00

3926,16

361,76

23,62

436,24

26,73

5

19

285,00

4144,28

361,76

24,07

436,24

27,18

5

20

300,00

4362,40

361,76

23,77

436,24

26,88

5

 

ти

 

 

Таблица 9

СРезультаты расчета ра оты АТС в совокупности микро АТСПГ

 

 

 

 

 

при четвертом варианте планового объема перевозок

 

 

 

 

 

 

Выра отка

 

 

 

 

 

 

 

 

 

 

б

 

Общий

Время в

 

 

 

 

Выработка

 

АТС в

 

Время АТС

 

 

 

 

АТС в

 

совокупнос-

Про ег АТС

факти-

пробег

наряде АТС

 

 

 

 

совокупнос

 

АТС в

факти-

Аэ,

 

 

ти м кро

 

м кро

в совокуп-

ческое в

совокупнос

ческое в

 

 

 

АТСПГ в

 

АТСПГ в

ности микро

совокуп-

ти микро

совокуп-

ед

 

 

 

 

 

тонно-

АТСПГ

ности микро

 

 

 

 

 

 

тоннах за

 

 

А

АТСПГ за

ности микро

 

 

 

 

смену

 

километрах

 

ТСПГ

смену

АТСПГ

 

 

 

 

 

 

за смену

 

 

 

 

 

 

 

1

2

 

3

 

4

5

6

7

8

 

 

6

168,00

 

2443,68

740,08

36,60

814,56

39,58

5

 

 

7

182,00

 

2620,52

674,24

35,37

748,72

38,48

5

 

 

8

208,00

 

2994,88

Д

39,52

5

 

 

 

674,24

36,41

748,72

 

 

9

225,00

 

3276,09

653,54

36,23

728,02

39,33

5

 

 

10

250,00

 

3640,10

653,54

36,48

728,02

39,58

5

 

 

11

264,00

 

3829,54

621,80

35,75

696,28

38,85

5

 

 

12

276,00

 

3993,60

591,12

34,98

665,60

38,08

5

 

 

13

299,00

 

4326,40

591,12

35,67

665,60

38,77

5

 

 

14

322,00

 

4659,20

591,12

36,59

665,60

39,69

5

 

 

15

345,00

 

4992,00

591,12

35,67

665,60

38,77

5

 

 

16

368,00

 

5324,80

591,12

36,36

665,60

39,46

5

 

 

17

374,00

 

5416,54

562,76

35,33

637,24

38,43

5

 

 

18

378,00

 

5548,86

542,06

34,56

616,54

37,66

5

 

 

19

399,00

 

5857,13

542,06

35,19

616,54

38,29

5

 

 

 

 

 

 

 

И

 

20

420,00

 

6165,40

542,06

34,77 616,54 37,87 5

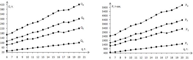
По данным табл. 6-9 построены зависимости влияния грузоподъемности АТС на результаты функционирования совокупности микро АТСПГ, рис. 3 и 4.

437

микро

Рис. 4. Зависимости выработки в тонно-

Рис. 3. Зав с мости выработки в тоннах

группы

в совокупности

километрах группы АТС

АТСПГот зменения

в совокупности микро АТСПГ от

грузоподъемности АТС:

изменения грузоподъемности АТС:

 

бА

Q1,2,3,4 – соответственно первый

P1,2,3,4 – соответственно первый

(второй т.д.) план перевозок грузов

(второй и т.д.) план перевозок грузов

На основе регресс онного анализа установлены функциональные линейные зав с мости Q и P от (рис. 5 и 6), уравнения которой по каждому варианту имеют вид:

Вариант 1: Q1 = 5x; R2 = 1; ɛ = 0;

Вариант 2: Q2 = 28,0333 + 9,7x; R² = 0,99; ɛ = 2,5 %; Вариант 3: Q3 = 34,9214 + 13,4214x; R2 = 0,99; ɛ = 1,7 %; Вариант 4: Q4 = 62,9548 + 18,1214x; R2 = 0,99; ɛ = 1,8 %. Вариант 1: P1 = 74,48x; R2 = 1;Дɛ = 0;

Вариант 2: P2 = 416,93 + 145,05x; R² = 0,99; ɛ = 2,4 %; Вариант 3: P3 = 447,24 + 196,75x; R² = 0,99; ɛ = 1,3 %; Вариант 4: P4 = 864,16 + 267,31x; R² = 0,99; ɛ = 1,5 %.

2

Коэффициент детерминации уравнений неИменее R = 0,99, средняя ошибка аппроксимации составляет от 1,3 % до 2,5 %. Это позволяет утверждать, что регрессионные зависимости влияния грузоподъемности АТС на Q и P на адекватно описывают исследуемый процесс [10, 11].

438

С

совокупности

Р с. 5. Регресс онная зависимости выработки в тоннах группы АТС

в

м кро АТСПГ от изменения грузоподъемности АТС

 

бА

 

И

Рис. 6. Регрессионная зависимости выработкиДв тонно-километрах группы АТС в совокупности микро АТСПГ от изменения грузоподъемности АТС

Заключение.

1. Применение более грузоподъемных АТС в совокупности микро автотранспортных систем сопровождается увеличением выработки, как отдельного автомобиля, так и совокупности микро автотранспортных систем перевозок груза.

Однако если увеличение выработки при первом варианте плана перевозок груза происходит исключительно за счет применения все более грузоподъемных автомобилей, при других планах перевозок – и за счет изменения провозной способности, в том числе числа ездок за смену. При любом варианте плана перевозок количество АТС функционирующих в

439

совокупности микро АТСПГ неизменно и равно количеству микросистем совокупности.

2. Установлены регрессионные зависимости выработки в совокупности микро АТСПГ от увеличения грузоподъемности применяемых АТС при любых принятых к исполнению вариантах плана перевозок строительных грузов, коэффициенты детерминации уравнений R2 составляют не менее 0,99, средние ошибки аппроксимации составляют от 1,3 % до 2,5 %. Это позволяет утверждать, что установленные

С1. Гражданск й кодекс Российской Федерации. Статья 789 // [Электронный ресурс]. – стема ГАРАНТ.

зависимости адекватно оп сывают исследуемый процесс.

автомобильныеВ.А. Гудков, Л.Б. М рот н, А.В. Куликов. – М.: Горячая линия – Телеком, 2016. – 560 с.

Библиограф ческ й сп сок

2. Афанасьев Л.Л. Автомо ильные перевозки. - М.: Транспорт, 1973. - 320 с. Или Афанасьев Л.Л., Островск й Н.Б., Цукерберг С.М. Единая транспортная система и

автомобильныхбАперевозок: дис…. док.тех.наук: 05.22.10 / Николин Владимир Ильич.

перевозки.- М.: Транспорт, 1984. - 333 с.

3. Грузовые автомо льные перевозки: Учебник для вузов / А.В. Вельможин,

4. Никол н В.И. Автотранспортный процесс и оптимизация его элементов. – М.:

Транспорт, 1990. – 191 с.

5. Николин, В.И. Научные основы совершенствования теории грузовых

Москва, 2000. – 341 с.

6. Средняя автотранспортная система перевозок грузов в городах. / Е.Е. Витвицкий, Е.С. Федосеенкова // РазвитиеДтеории и практики автомобильных перевозок, транспортной логистики [Электронный ресурс] : сборник научных трудов кафедры «Организация перевозок и управление на транспорте» в рамках Международной науч.-практ конф. « рхитектурно-строительный и дорожнотранспортный комплексы: проблемы. перспективы, новации», 7-9 декабря 2016 года /

7.Одинцов, Д.Г. Транспортное обеспечение строительныхИдентификацияпотоков: монография

/Д.Г. Одинцов, В.А. Невьянцев. – Москва: Стройиздат, 1992. – 337 с.

8.Единые нормы времени на перевозку грузов автомобильным транспортом и сдельные расценки для оплаты труда водителям. – М.: Экономика, 1988. – 40 с.

9.Витвицкий, Е.Е., Федосеенкова, Е.С. результатов

исследования практики перевозок грузов подвижным составом ООО «АТП-6» в городе Омске / Е.Е. Витвицкий, Е.С. Федосеенкова // «Альтернативные источникиСибАДИ, Кафедра ОПУТ ; [ред. Е. Е. Витвицкий]. - Электрон. дан. - Омск : СибАДИ,

энергии в транспортно-техническом комплексе. Проблемы и перспективы рационального использования», том 3 выпуск 1(4): сб. науч. тр. – ФГБОУ ВП «Воронежский государственный лесотехнический университет имени Г.Ф. Морозова» Омск, 2014. – С. 484-488.

10. Елисеева, И.И. Эконометрика: учебное издание / Елисеева И.И., Курышева С.В., Костеева Т.В. и др. – М.: «Финансы и статистика», 2001. – 345 с.

440