Материал: 2426

Внимание! Если размещение файла нарушает Ваши авторские права, то обязательно сообщите нам

χ

X0, УЛЕ

χ

X0, УЛЕ

χ

X0, УЛЕ

X0, УЛЕ

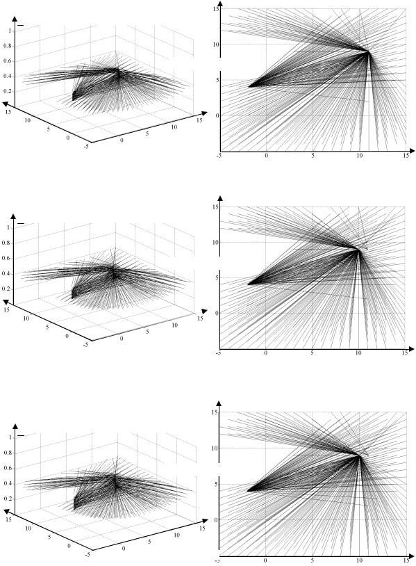
λ1=0,4; λ2=0,6

Z0, УЛЕ

Z0, УЛЕ

X0, УЛЕ

λ1=0,5; λ2=0,5

Z0, УЛЕ

Z0, УЛЕ

X0, УЛЕ

λ1=0,6; λ2=0,4

Z0, УЛЕ

Z0, УЛЕ

Рис. 5.10. Представление результатов 1-й серии экспериментов в виде линий уровня, соединяющих начала систем координат двух базовых шасси

при различных сочетаниях λ1 и λ2 (продолжение)

305

χ

X0, УЛЕ

χ

X0, УЛЕ

χ

X0, УЛЕ

X0, УЛЕ

λ1=0,7; λ2=0,3

Z0, УЛЕ

Z0, УЛЕ

X0, УЛЕ

λ1=0,8; λ2=0,2

Z0, УЛЕ

Z0, УЛЕ

X0, УЛЕ

λ1=0,9; λ2=0,1

Z0, УЛЕ

Z0, УЛЕ

Рис. 5.10. Представление результатов 1-й серии экспериментов в виде линий уровня, соединяющих начала систем координат двух базовых шасси при различных сочетаниях λ1 и λ2 (окончание)

306

При совмещении линий, полученных описанным способом для различных положений поочередно первого, затем второго базовых шасси, на одном объемном графике появляется возможность визуализации наилучших по принятому критерию положений начал систем координат двух базовых шасси при различных сочетаниях весовых коэффициентов λ1 и λ2 комплексного критерия эффективности χ (рис. 5.10).

Для каждого сочетания значений весовых коэффициентов λ1 и λ2 на соответствующем графике (см. рис. 5.10) может быть выбрана прямая с наименьшей высотой. Совокупность указанных прямых представляет собой подмножество неулучшаемых решений, оптимальных по Парето [166, 253], и может быть визуализирована в виде графиков, представленных на рис. 5.11, где позициями обозначены следующие сочетания значений весовых коэффициентов λ1 и λ2: 1 – [λ1=0,1;

λ2=0,9]; 2 – [λ1=0,2; λ2=0,8]; 3 – [λ1=0,3; λ2=0,7]; 4 – [λ1=0,4; λ2=0,6]; 5 – [λ1=0,5; λ2=0,5]; 6 – [λ1=0,6; λ2=0,4]; 7 – [λ1=0,7; λ2=0,3]; 8 – [λ1=0,8; λ2=0,2]; 9 – [λ1=0,9; λ2=0,1].

15 X0, УЛЕ

 

 

 

1,0

 

 

 

 

 

 

 

 

 

 

 

χ

 

 

 

 

 

 

 

10

 

 

 

 

0,8

 

 

 

 

 

 

 

 

 

 

8, 9

 

 

 

 

 

 

 

 

 

 

 

 

 

6, 7

0,6

 

 

 

 

 

 

 

 

5

 

 

4

 

 

 

 

 

 

 

 

 

 

 

 

 

 

 

 

 

 

 

 

 

 

 

 

0,4

 

 

 

 

 

 

 

 

 

 

 

 

 

 

 

6

 

5

 

 

 

0

5

2, 3

 

 

 

 

 

 

3

 

 

 

 

0,2

 

7

 

9 4

 

2

1

 

 

 

 

8

 

 

 

1

 

 

Z0, УЛЕ

0 X0, УЛЕ

 

 

 

 

 

 

 

 

 

 

 

 

-5

-5

0

5

10

15

15

 

10

5

 

0

 

Рис. 5.11. Подмножество неулучшаемых решений задачи при использовании комплексного критерия эффективности χ (пример)

На рис. 5.12 на виде сверху на рабочую область (в плане) показаны оптимальные по критерию χ расположения базовых шасси двух кранов при перемещении общего груза при сочетании значений весовых коэффициентов комплексного критерия λ1=0,5 и λ2=0,5.

Варьируемые технологические параметры при указанном сочетании значений λ1 и λ2 принимали следующие оптимальные значения:

q1,1=1 УЛЕ; q3,1= –1 УЛЕ; q6,1=1,178 рад; q1,2=5 УЛЕ; q3,2=13 УЛЕ; q6,1= –1,374 рад. Комплексный критерий принимал значение χ =0,237.

307

Z0, q3,1, q3,2, УЛЕ

q6,2, рад

q6,1, рад

X0, q1,1, q1,2, УЛЕ

 

 

zш0min

 

 

 

xш0max

 

 

 

 

xш0min

Рис. 5.12. Оптимальное по критерию χ расположение базовых шасси двух кранов при перемещении общего груза при значениях весовых коэффициентов комплексного критерия: λ1=0,5; λ2=0,5 (пример, вид в плане)

Результаты 2-й серии экспериментов. Во второй серии экспери-

ментов в качестве критерия эффективности использовалось значение максимального относительного критерия эффективности χmax по (5.5). Проведение 2-й серии экспериментов выполнялось полностью аналогично 1-й серии, за исключением другого критерия эффективности.

Визуализация наилучших по принятому критерию положений начал систем координат двух базовых шасси при различных сочетаниях весовых коэффициентов λ1 и λ2 комплексного критерия эффективности χmax приведена на рис. 5.13.

Подмножество неулучшаемых решений для 2-й серии экспериментов приведено на рис. 5.14. Позициями обозначены сочетания значений весовых коэффициентов λ1 и λ2: 1 – [λ1=0,1; λ2=0,9]; 2

[λ1=0,2; λ2=0,8]; 3 – [λ1=0,3; λ2=0,7]; 4 – [λ1=0,4; λ2=0,6]; 5 – [λ1=0,5; λ2=0,5]; 6 – [λ1=0,6; λ2=0,4]; 7 – [λ1=0,7; λ2=0,3]; 8 – [λ1=0,8; λ2=0,2]; 9 – [λ1=0,9; λ2=0,1].

На рис. 5.15 в качестве примера приведены синхронизированные временные зависимости обобщенных управляемых координат двух кранов для сочетания значений весовых коэффициентов [λ1=0,5; λ2=0,5] (расположение начал систем координат базовых шасси см. на рис. 5.14).

308

χmax

X0, УЛЕ

χmax

X0, УЛЕ

χmax

X0, УЛЕ

X0, УЛЕ

λ1=0,1; λ2=0,9

Z0, УЛЕ

Z0, УЛЕ

X0, УЛЕ

λ1=0,2; λ2=0,8

Z0, УЛЕ

Z0, УЛЕ

X0, УЛЕ

λ1=0,3; λ2=0,7

Z0, УЛЕ

Z0, УЛЕ

Рис. 5.13. Представление результатов 2-й серии экспериментов в виде линий уровня, соединяющих начала систем координат двух базовых шасси при различных сочетаниях λ1 и λ2 (начало)

309