Материал: 2316

Внимание! Если размещение файла нарушает Ваши авторские права, то обязательно сообщите нам

Рис. 4.8. Принципиальная схема разработки календарного плана в программе Microsoft Project 2010

Сетевые модели не в полной мере приспособлены к решению задач календарного планирования в линейном транспортном строительстве, так как в качестве основной характеристики работ принята их продолжительность. В то же время для определения сроков производства работ на про- ектно-технологических модулях, для оценки величины фронтальных связей между процессами необходимы дополнительные расчеты с использованием специальных организационно-технологических моделей.

В работах [19,31,94] дано обоснование перехода от моделей «временного типа», в которых рассматривается степень совмещения работ во времени, к моделям «объемного типа», в которых увязка работ осуществляется по степени совмещения по фронту работ, применительно к строительству линейно-протяженных объектов.

115

Такая зависимость выражается условиями [33, 94]

 

VB (t) =0 при VA(t) ≤ VC ;

(4. 9)

VB (t) ) ≤ VA(t) – VС при VС ≤ VA(t) ≤ VA ,

(4.10)

где VA(t) , VB (t) – объемы работ A и B , выполняемые к моменту t ; VC – величина задела, т.е. объем работы A, который нужно выполнить прежде, чем приступить к работе B ; VA – полный объем работы A.

Из известных имитационных моделей наиболее соответствует требованиям линейного транспортного строительства в сложных условиях ор- ганизационно-технологическая модель, представленная в работах [18,19,94], так как именно в ней учитываются следующие факторы:

неравномерность распределения объемов работ по длине дороги;

разные конструктивные решения земляного полотна, связанные с изменением природных факторов на отдельных участках;

изменение сменной производительности отрядов по длине дороги под действием климатических, технологических и организационных факторов;

изменение технологии при производстве работ в разные сезоны года (летний, зимний);

степень готовности слоев земляного полотна для выполнения следующих технологических операций.

Вто же время данная модель не в полной мере удовлетворяет особенностям работы отрядов при возведении земляного полотна на ММГ. Требуется определенная модернизация модели для учета следующих факторов:

декомпозиция объекта на проектно-технологические модули;

изменение интервала планирования от декадного к суточному для более детального учета динамики производства работ;

учет особенностей производства работ поточно-участковым методом разными специализированными отрядами при параллельном производстве работ на проектно-технологических модулях;

возможность задания разных сроков начала работ специализированным отрядам на проектно-технологических модулях;

разработка современного программного обеспечения расчетов с использованием модели.

Нами выполнена корректировка модели с расширением функций для расчета графиков при параллельно-поточной организации работ, предпо-

116

лагающей декомпозицию линейно-протяженного объекта на проектнотехнологические модули. При этом возможно задание разных сроков работы специализированных отрядов на ПТМ с учетом наиболее благоприятных условий для производства работ по определенной технологии.

Работу специализированных отрядов при сооружении земляного полотна должны обеспечивать вспомогательные подсистемы, деятельность которых должна быть синхронизирована во времени с основными работами или минимально опережать их. Связи между работами определяются следующими условиями:

множество работ s+ , непосредственно выполняемых после работы s;

множество работ s- , непосредственно выполняемых перед рабо-

той s;

множество подготовительных работ q- , предшествующих .

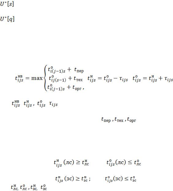
Вразработанной математической модели организации работ на участках ПТМ условия взаимодействия технологических процессов по временным параметрам формализованы и представлены в виде следующих зависимостей [16,52]:

1. Расчет сроков начала и окончания технологических процессов на участках ПТМ:

 

 

 

;

;

, ( 4.11)

где

,

,

соответственно даты возможного начала, начала,

окончания и продолжительности выполнения s-го технологического процесса на j-м участке i-го ПТМ, сутки; соответственно про-

должительности передислокаций, технологических и организационных перерывов в работе отрядов, сутки.

2. Условия выполнения технологических процессов в определенные сезоны года (лс) летний; (зс) – зимний:

 

;

;

( 4.12)

 

,

 

( 4.13)

где

соответственно сроки начала и окончания летнего и

зимнего сезонов.

3. Условие предшествования или совмещения подготовительных и основных работ на общем фронте (ПТМ) по временным параметрам:

117

при 0

,

( 4.14)

где соответственно срок окончания и продолжительность подготовительных работ, сутки; β – относительный показатель совмещения основных и подготовительных работ во времени; при β = 1 подготовительные и основные работы начинаются одновременно.

Проектирование организации строительства других структурных модулей автомобильной дороги (искусственных сооружений, слоев дорожной одежды, обустройства) выполняется также с использованием деления на проектно-технологические модули. При однотипной конструкции слоев дорожной одежды на небольших участках дороги каждый конструктивный слой может рассматриваться как один проектно-технологический модуль. Работы на конструктивных элементах, предшествующих строительству земляного полотна (участки сосредоточенных работ, искусственные сооружения и т.д.), как правило, должны быть завершены к подходу линейных специализированных отрядов.

В комплекс подготовительных работ включаются чаще всего следующие работы:

подготовка карьеров, снятие растительного слоя;

заготовка в бурты глинистого грунта для упорных призм;

заготовка торфа, просушивание в валах;

заготовка торфопесчаной смеси;

очистка дорожной полосы от леса и кустарника;

строительство автозимников, подготовка землевозных дорог;

устройство водоотводных канав и труб;

устройство мерзлотных валиков для водоотвода;

подготовка карьеров к разработке в зимних условиях буровзрывным методом;

создание и развитие производственной базы строительства. Перечень подготовительных и вспомогательных работ уточняется в

конкретном проекте с детальным расчетом объемов работ. На рис. 4.9 приведен фрагмент укрупненного сетевого графика строительства земляного полотна на участке автомобильной дороге «Лена» в условиях высокотемпературной мерзлоты, рассчитанного с применением программных комплексов «POTOK+» и «Project Professional 2010».

При расчете календарного графика организации строительства автомобильной дороги между структурными модулями обеспечиваются фронтальные и технологические связи в зависимости от степени готовности предшествующего элемента конструкции [19].

118

Рис. 4.9. Фрагмент сетевого графика строительства земляного полотна на ММГ

Выполнение комплекса подготовительных и обеспечивающих работ в условиях Севера играет важную роль и должно быть увязано со сроками выполнения работ основных структурных модулей. Состав и содержание проектных решений и документации в ПОС определяют в зависимости от вида и сложности объекта строительства. Общая направленность органи- зационно-технологических решений ПОС должна способствовать своевременному вводу в действие объектов строительства с наименьшими за-

119