Материал: 2316

Внимание! Если размещение файла нарушает Ваши авторские права, то обязательно сообщите нам

тратами трудовых, материальных и топливно-энергетических ресурсов при обеспечении качества работ в соответствии с техническими регламентами и стандартами. Предлагаемые методы организационнотехнологического проектирования и программное обеспечение были использованы при разработке проектной документации на объектах общей протяженность 47,4 км.

Проектирование организации работ на проектно-технологических модулях при строительстве земляного полотна выполняется в следующей последовательности:

1.Выполнение линейного дорожного районирования на основе полного комплекса инженерных изысканий.

2.Проектирование конструкций земляного полотна на участках ЛДК с относительно однородными природными условиями.

3.Обоснование выбора варианта конструкции.

4.Выделение участков с региональными природными особенностями (глубокие выемки, болота, подходы к мостам, мари и т.д.) в отдельные

модули для сосредоточенных работ сосредоточенные проектнотехнологические модули (СПТМ).

5.Уточнение количества линейных проектных модулей (ЛПТМ). При однотипных конструктивных решениях земляного полотна на разных ЛДК возможно их объединение в укрупненный линейный проектнотехнологический модуль.

6.Составление перечня подготовительных и сопутствующих работ.

7.Расчет объемов работ на проектно-технологических модулях.

8.Вариантное проектирование линейных графиков строительства по схемам:

а) последовательно поточный метод – один отряд для выполнения всех линейных работ на дороге;

б) формирование организационной схемы для параллельно-поточного метода на ЛПТМ;

9.Критериальная оценка и выбор варианта организации строительст-

ва.

Обобщенная схема структурно-модульного проектирования с учетом разработанных рекомендаций представлена на рис. 4.10.

120

Анализ и обработка информации по результатам инженерных изысканий трассы дороги. Группировка и оценка природноклиматических, геологических и гидрогеологических факторов

Реализация методики линейного дорожного районирования (ЛДР) трассы. Создание линейных дорожных комплексов (ЛДК) с учетом зональных, интразональных и региональных факторов

Проектирование и расчет дорожных конструкций с учетом параметров ЛДК.Формирование проектно-технологических модулей (ПТМ)

Расчет организационно-технологических параметров специализированных отрядов на (ПТМ)

Расчет вариантов сетевых графиков организации строительства земляного полотна

Технико-экономическое обоснование выбора варианта организации строительства

Рис. 4.10. Схема структурно-модульного проектирования земляного полотна на ММГ

4.4. Оценка экономической эффективности проектных решений земляного полотна на ММГ с учетом прогнозирования состояния дорожной конструкции

В соответствии с современными методами экономической оценки эффективности инновационных мероприятий в дорожном строительстве необходимо учитывать не только капитальные вложения, но и дисконтируемые эксплуатационные затраты на ремонт и содержание дорог, доходы пользователей дорог, а также экологические результаты дорожной деятельности за период срока службы дорожной конструкции [46].

Технико-экономическое сравнение и выбор вариантов конструктивных и организационно-технологических решений должны производиться на основе прогнозных оценок технического состояния автомобильной дороги.

Трудности технического прогнозирования состояния дорожных объектов на ММГ связаны с недостаточной и неполной информацией о фак-

121

тическом состоянии различных дорожных конструкций с применением новых материалов и технологий в межремонтный период.

Как правило, оценка эффективности инновационных решений базируется на увеличении сроков службы и снижении затрат при эксплуатации дороги. Эти показатели не всегда подкреплены наблюдениями за реальными объектами в различных климатических условиях РФ и в дальнейшем должны уточняться, так как при назначении новых конструктивных решений необходимо исключать субъективный подход.

Поскольку затраты на сооружение и эксплуатацию земляного полотна существенно зависят от возможной осадки грунтов основания и тела насыпи, в нормативной и научной литературе предлагаются различные методы ее прогнозирования. Прогнозирование – это способ научного предвидения, в котором используется накопленный опыт и вырабатывается научно обоснованное суждение о возможном состоянии объекта в будущем. При этом, в отличие от экономического, научно-технический прогноз определяет натурально-вещественное состояние прогнозируемого объекта.

Согласно общей теории прогнозирования [113] процесс прогнозирования можно представить как некоторое операторное преобразование (П) исходной информации об исследуемом объекте в виде ее отображения на будущее, ограниченное глубиной прогноза:

,

( 4.15)

где П – оператор прогнозирования; I – информация об исходном состоянии объекта; – период упреждения прогноза (горизонт прогноза); R

результат прогноза.

Оценка прогноза выполняется в определенных, наиболее вероятных внешних условиях. Из большого количества методов прогнозирования наиболее приемлемы для прогнозирования состояния дорожных конструкций на ММГ методы комбинированного и структурного прогнозирования, позволяющие найти решение при сохранении функций объекта, но при изменении значений внешних параметров прогнозирования. Например, в качестве моделей структурного прогнозирования можно использовать модели теплофизических режимов в жизненном цикле конструкций

[8,108,144].

Для оценки точности прогнозирования используют коэффициент парной корреляции между последовательностями прогнозных значений для разных моделей. Наиболее распространенными оценками точности прогнозирования являются средняя ошибка аппроксимации и средняя квадратическая ошибка прогнозов.

122

Различные методы прогнозирования теплотехнического режима дорожных конструкций позволяют оценить необходимые объемы земляных работ для компенсации строительных и эксплуатационных осадок. Расчет дополнительных объемов работ за счет осадки при строительстве по 2-му принципу выполняют по методике, приведенной в [102].

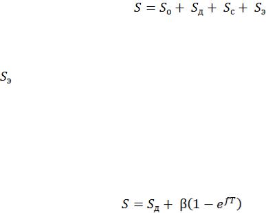
Суммарную осадку S насыпей определяют по формуле

,

(4.16)

где So величина осадки, возникающая при оттаивании ММГ основания, см; Sд осадка насыпи за счет деформации грунтов деятельного слоя, см; Sc, осадки, происходящие соответственно в строительный и эксплуатационный периоды, см.

Процесс формирования осадок насыпей во времени за счет оттаивания и уплотнения ММГ основания можно описать зависимостями на основе экспериментальных данных для конкретных регионов и типов конструкций дорог. Так, в работе [102] прогнозируемая осадка описывается формулой

,

( 4.17)

где e основание натурального алгоритма; Т –время осадки оттаявших

грунтов основания, годы; β, f параметры зависимостей, отражающие влияние местных условий на осадку оттаивающих грунтов основания (для

насыпей от 2 до 4 м β=79,000; f = 0,070).

Строительные осадки грунтов основания как на стадии рекогносцировочных изысканий, так и на стадии составления рабочих чертежей для разной высоты насыпи определяют по формулам [65]. В расчетах строительной осадки грунтов следует учитывать время производства работ (лето, зима), технологию и организацию возведения земляного полотна и подготовительных работ.

В качестве примера оценки эффективности рассмотрим два типа конструкций земляного полотна автомобильной дороги III технической категории. (рис. 4.11, а, б). Конструкции дорожной одежды приняты по данным проектной документации (Транспроект). Конструкция дорожной одежды представлена в следующем виде: покрытие из горячего плотного мелкозернистого асфальтобетона типа Б II марки на модифицированном битуме ПБВ 130 толщиной h = 5 см; верхний слой основания из пористого крупнозернистого асфальтобетона II марки на битуме марки БНД 90/130 толщиной h = 7 см; основание из черного щебня, приготовленного в уста-

123

новке, уложенного по способу заклинки, толщиной h = 8 см; нижний слой основания из щебеночно-песчаной смеси С-4 толщиной h = 22 см; рабочий слой грунта земляного полотна из крупнообломочного грунта h = 100 см. Характеристики конструктивных слоев земляного полотна приведены на схеме (рис. 4.11).

Снижение затрат на второй вариант конструкции (рис. 4.11, а) получено за счет:

уменьшения объема привозных качественных грунтов и открывающихся возможностей использования в нижней части насыпи местных мерзлокомковатых грунтов с сохранением их в мерзлом состоянии с помощью конструктивных методов;

сокращения сроков строительства и ускорения ввода дороги в эксплуатацию;

повышения надежности и долговечности конструкции, устраиваемой с сохранением вечной мерзлоты;

снижения экологического ущерба при строительстве дорог в зоне вечной мерзлоты;

снижения затрат на ремонтные работы.

Распределение строительных затрат во времени соответствует следующим графикам производства работ.

Вариант 1. Строительство земляного полотна (рис. 4.11, а) осуществляют в летнее время из талых грунтов. Заготовку талого глинистого грунта выполняют частично в предшествующий летний период, частично по мере оттаивания из резервов в летнее время. Очистка полосы отвода от леса и кустарников выполняется в зимнее время. Растительный слой сохраняется. Дорожную одежду строят в две стадии: щебеночное основание

– через год после строительства земляного полотна и досыпки земляного полотна на величину осадки деятельного слоя под насыпью. Учитывая продолжительный период стабилизации осадки основания насыпи при летнем строительстве земляного полотна, к строительству покрытия приступают только на третий год – в летнее время.

Вариант 2. Сооружение земляного полотна (рис. 4.11, б) осуществляют в зимнее время из мерзлых грунтов. В предшествующий летний сезон осуществляют подготовку карьеров со снятием растительного слоя. Заготовку торфа выполняют ранней весной с просушиванием в валах в летнее время. После просушивания производят заготовку торфопесчаной смеси для укрепления откосов. Осенью ведут подготовку карьеров к буровзрывным работам. Очистку дорожной полосы от леса и кустарника выполняют после промерзания растительного слоя в начале зимы.

124