Материал: 2316

Внимание! Если размещение файла нарушает Ваши авторские права, то обязательно сообщите нам

участков сосредоточенных работ: 1 глубокая выемка, 2 насыпь на заболоченном участке (мари). Типы конструкций для участков ЛДК назначены с использованием базы конструктивных решений [114] с сохранением мерзлоты в основании насыпи (первый принцип проектирования). Затраты на строительство рассчитывались с учетом расположения карьеров, физико-механических свойств грунтов в карьерах (суглинки и скальные грунты), природных климатических и геокриологических факторов на участках ЛДК. Линейные земляные работы выполняются на двух ПТМ с разными типами конструктивных решений.

Третий тип конструкции (см. табл. 3.2) представляет собой насыпь до

3-4-х метров: первый слой торф 0,3 м; второй кварцит слабовыветрелый, средней прочности толщиной 0,48 м на геотекстильной прослойке; третий слой из суглинка легкого дресвяного мерзлого, между вторым и третьим слоями – геотекстильная прослойка; четвертый слой – щебенистый грунт (мощность слоя 1 м).

Более подробное описание конструкции 3 приведено в прил. 2 (см.

рис. П 2. 4 вариант 4). Четвертый тип конструкции – насыпь из скального грунта с водонепроницаемыми периферийными зонами в нижней части насыпи [63]. Описание конструкции и расчет продухов приведены в прил.

2 (см рис. П. 2.5 вариант 5). Все работы по строительству земляного полотна выполняются в зимнее время.

3.4. Влияние линейного дорожного районирования на качество и надежность конструктивных решений земляного полотна

Итогом ЛДР является разделение дороги на участки с более однородными характеристиками природных климатических и геокриологических факторов для повышения надежности проектных решений на этих участках. Вопрос о связи однородности с показателями качества и надежности при проектировании и строительстве дорог изучался рядом ученых [47,64,82,122] и является достаточно актуальным в настоящее время. Исходя из положений теории вероятности, показатель качества зависит от характера распределения контролируемой величины, жесткости допусков, среднего значения и однородности измеряемой величины (рис. 3.9).

Если известны допускаемые пределы отклонений величины: минимально допустимые (нижний предел) [X1] и максимально допустимые (верхний предел) [X2], тогда заштрихованная область отражает область дефектов для контролируемой величины.

Если рассматривать рис. 3.9, а с точки зрения пределов изменения геокриологических характеристик на ЛДК, то можно сделать вывод, что

95

при проектировании конструкции земляного полотна эти характеристики должны находиться в пределах области допустимых значений.

Рис. 3.9. Зависимость показателя дефектности (качества) от однородности контролируемого параметра

Тогда справедливо выражение [122]

,

( 3.25)

где K уровень допустимых значений параметра, обеспечивающий качество конструктивных решений; F1, F2 – площади фигуры, соответствующие дефектным значениям; Fобщ – общая площадь фигуры, расположенная между кривой распределения и осью абсцисс.

Распределение 1 (рис. 3.9, б) более однородно (имеет меньший разброс измеряемого параметра), чем 2 и 3 , следовательно , показатель качества для случая распределения 1 выше (не попадает в зону дефектов), чем для кривых 2 и 3. Таким образом, повышая однородность параметров на ЛДК в результате линейного дорожного районирования, мы обеспечиваем повышение качества проектных решений и его надежность, которая является одной из характеристик качества.

В дорожной отрасли авторами [122, 146] на основе обобщения данных отечественных и зарубежных исследований доказано влияние однородности показателей, характеризующих свойства элементов дорожных конструкций, на результативные характеристики их качества и надежности. Повышение однородности показателей земляного полотна и дорожных одежд рассматривается как один из наиболее доступных и экономически обоснованных методов повышения качества строительства.

96

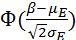
В работах [47,64,82,122] на примерах проектирования дорожных одежд разного типа доказано, что можно проектировать конструкцию с заданной надежностью, не прибегая к прогнозированию вероятных отказов, а базируясь на статистическом анализе качества материалов, уровня технологий, вероятностных факторов природной среды. На основе формулы распространения ошибок, известной из теории вероятности и предложенной для дорожных конструкций И.А. Золотарем, вычисляется дисперсия функции (результата) на основе дисперсий составляющих ее элементов [82]:

,

( 3.26)

где F – рассматриваемая функция , дисперсия которой находится ;

– элемент функции (аргумент) и его дисперсия.

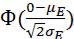
И.А. Золотарь, Ю.А. Мальцев [64,82], используя данную формулу, на основе вероятностной природы геометрических и прочностных характеристик слоев дорожной одежды, разработали алгоритм расчета показателя дорожной конструкции (эквивалентного модуля упругости), обеспечивающего вероятность безотказной работы дороги не менее 0,95. Для этого использовали известные функциональные зависимости . На основании полученных статистических характеристик проектного решения формула (3.26) оценивалась надежность конструкции, т.е. определялась вероятность ее безотказной работы в течение заданного периода (жизненного цикла) по формуле

,

( 3.27)

где P(t) – вероятность отказа; Н – вероятность безотказной работы (надежность конструкции).

Для функции Лапласа вид Ф(x)

вероятность безот-

казной работы конструкции имеет вид

 

 

 

,

( 3.28)

где β – минимально допустимое значение эквивалентного модуля E; и значения функции Лапласа, которые приведены в справочной литературе [83]; – математическое ожидание модуля упру-

97

гости, определенное как функция от случайных значений аргументов; – среднее квадратическое отклонение этого показателя.

При проектировании дорожной одежды можно управлять требованиями к допустимым значениях показателей ровности, толщине слоев, коэффициентам уплотнения, модулям упругости и т.д. , ограничивая разброс их значений допусками и предельными значениями в соответствии с нормативными документами, тем самым обеспечивая однородность факторов, влияющих на качество и надежность дорожной конструкции. Возможности влияния на изменчивость природных факторов при проектировании земляного полотна существенно ограничены, в процессе проектирования и строительства необходимо учитывать их и создавать определенные условия для проектирования в более однородной среде. Собственно все вопросы дорожного районирования направлены на решение именно этой задачи. Речь идет о том, что повышение однородности исходных данных при расчете устойчивости насыпей земляного полотна повлияет на результат, т.е. повысит устойчивость проектной конструкции на определенном участке.

Однородность геокриологических характеристик грунтов на ЛДК является производной от большого количества факторов, учет которых и их регулирование позволяют повышать до определенного уровня однородность и качество проектных решений земляного полотна. В частности, устанавливая связь между коэффициентом вариации технологических параметров слоя дорожной конструкции и оценкой качества продукции при приемке работ, В.А. Семенов [122] приводит такие данные (табл. 3.3).

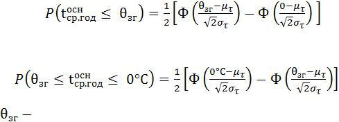
При расчете конструкций земляного полотна в условиях ММГ в качестве функции можно рассматривать вероятностные теплотехнические свойства насыпи определенной конструкции, в качестве аргументов математические ожидания и дисперсии теплотехнических и физических характеристик грунтовых слоев основания и конструкции. Тогда надежность насыпи земляного полотна на ММГ, запроектированной по первому принципу проектирования, можно рассматривать как вероятность того, что отрицательная годовая температура в основании насыпи будет сохраняться ниже температуры замерзания грунта, °С см. формулу (1.1); для второго принципа проектирования должны обеспечиваться условия, при которых среднегодовая температура основания насыпи должна быть меньше и выше температуры замерзания грунта см. формулу (1.2).

98

Таблица 3.3

Связь коэффициентов вариаций технологических параметров с оценкой качества конструктивного слоя

Наименование

 

Качественная оценка конструктивного слоя

параметра

отлично

хорошо

удовлетворительно

неудовлетворительно

Плотность

 

 

 

 

зернистых ма-

< 0,025

0,025-0,038

0,038-0,053

>0,053

териалов

 

 

 

 

Плотность

< 0,025

0,025-0,052

0,052-0,080

>0,080

грунта

 

 

 

 

Модуль упру-

 

 

 

 

гости на слое

< 0,15

0,15-0,21

0,21-0,26

>0,26

щебня

 

 

 

 

Толщина слоя

< 0,12

0,12-0,22

0,22-0,31

>0,31

щебня

 

 

 

 

Следовательно, для оценки тепловой устойчивости основания справедливы выражения:

а) для первого принципа проектирования:

; (3.29)

б) для второго принципа проектирования

, (3.28)

где

минимально допустимое значение температуры замерзания

грунта, °С; – отрицательная среднегодовая температура в основа-

нии насыпи, °С; , – соответственно математическое ожидание и среднеквадратическое отклонение температуры замерзания грунтового основания.

Показатели однородности (коэффициенты вариаций) геокриологических характеристик на ЛДК приняты нами в пределах 0,3 в соответствии с ГОСТ 20522-2012 [36]. Для более глубокого анализа предельных значений коэффициентов вариации параметров оснований в условиях ММГ необходимо продолжение исследований в этой области для обоснования эффективных размеров по протяженности ОТЕ и ЛДК. Обоснование принимаемых допусков должно выполняться с учетом экономических показателей и факторов надежности сооружений. Количественная оценка этой связи может служить предметом дальнейших исследований.

99