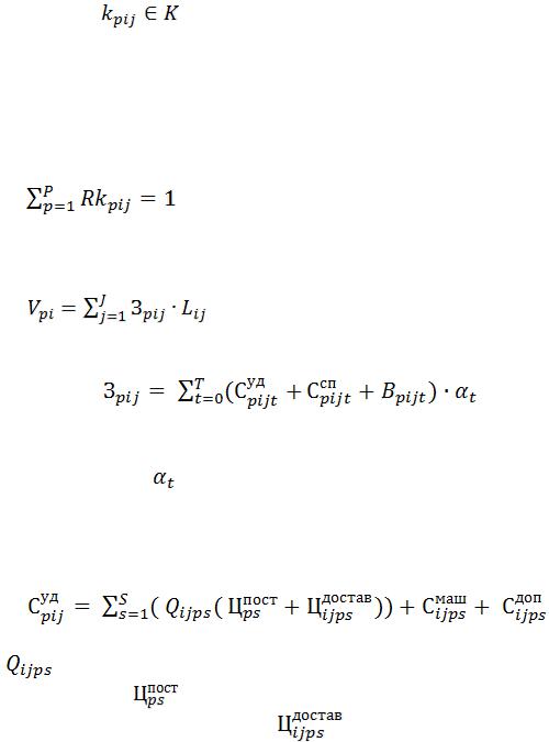
Целевая функция задачи:
. (3.22)
Ограничения задачи и расчетные формулы:
1. Требование обеспечения прочности, устойчивости по сдвигу в грунтовом массиве, тепловой устойчивости основания земляного полотна по всем конструктивным решениям.
Для всех должна быть обеспечена прочность, устойчивость
на сдвиг и тепловая устойчивость при расчете по ВСН 84-89 или по фо р-
муле (3.18).
2.Rkpj = 0, если решение о закреплении p-го типа конструкции на j-м участке не принято.
3.Rkpj = 1, если решение о закреплении p-го типа конструкции на j-м участке принято.
4.− за каждым участком закрепляется только один p-
йтип конструкции, не может быть участка без одной закрепленной конструкции любого типа (итог конструктивных решений по каждому столбцу матрицы равно 1).
5. |
− затраты по i-й строке с p-й конструкцией на |
всех участках ЛДК, тыс.руб.
, ( 3.23)
где t − шаг дисконтирования (1год); T – горизонт расчета, годы до расчетного срока службы; – коэффициент дисконтирования.
Период приведения затрат – начало строительства.
6. Удельные затраты на строительство j-го участка по p-му варианту конструкции рассчитывают по формуле
|
|
|
, |
( 3.24) |
где |
− объем s- го слоя p-го типа конструкции на j-м участке i-го |
|||
ЛДК, ед. изм./км; |
– цена поставщика материала (грунта) s-го слоя p- |
|||
й конструкции, тыс.руб./ед.изм; |
− цена доставки автомобильным |
|||
транспортом от поставщика (карьера) до места укладки единицы материала s-го слоя p-й конструкции на среднее расстояние до j-го участка i-го ЛДК, тыс. руб.;
– сметная стоимость эксплуатации машин специали-
90
зированного отряда при работе на s-м слое конструкции, тыс. руб./км;
– дополнительные неучтенные ранее затраты, тыс. руб./км.
Расчет объемов работ (количество слоев конструкции) принимается в зависимости от средней высоты насыпи на j-м участке i-го ЛДК.
Целевая функция задачи формулируется следующим образом: закрепить конструктивные решения из массива К по одному за каждым j-м участком i-го ЛДК, чтобы минимизировать дисконтированные затраты на строительство всех участков данного ЛДК. Учитывая однородность природных условий на участках ЛДК, массив принятых конструктивных решений желательно ограничить до 3-х в зависимости от общей длины дороги. При незначительных отклонениях конструкций по стоимости целесообразно сохранять однотипность конструкций на участках ЛДК для более эффективной загрузки специализированных отрядов. При реализации алгоритма для следующих ЛДК рекомендуется включать в массив исходных данных ту конструкцию, которая получила преимущество на предыдущем ЛДК. Алгоритм решения задачи представлен на рис. 3.6.
Выбор минимального значения из массива затрат на реализацию p-го типа конструктивного решения на всех j-х участках i-го ЛДК Vpi = min. Присвоение этому типу конструкции ранга p (б) (базовый)
|
|
|
|
|
|
|
|
|
|
|
|
|
|
|
|
|
|
|
|
|
|
|
|
|
|
|
|
|
|
|
|
|
|
|
|
|
|
Переход к анализу вариантов по столбцам |
|||||||||||||||
|
|
|
|
|
|
|
|
|
|
матрицы с оценкой затрат на каждом участке |
||||||||||||||||
|
|
P: P-1 |
|
|
|
|
||||||||||||||||||||
|
|
|
|
|
|
|
|
|
|
j=1…J по конструкциям из массива Р-1 |
||||||||||||||||
|
|
|
|
|
|
|
|
|
|
|||||||||||||||||
|
|
|
|
|
|
|
|
|
|
|
|
|
|
|
|
|
|
|
|
|
|
|
|
|
|
|
|
|
|
|
|
|
Зр(б)j ≤ Зрj {P-1}min |
|
|
|
|
|
|
|
|||||||||||||
|
|
|
|
|
|
|
|
|
|
|
|
|
||||||||||||||
|
|
|
|
|
|
|
|
|
|
j:=1 |
|
|||||||||||||||
|
|
|
|
|
|
|
|
|
|
|||||||||||||||||
|
|
|
Нет |
|
|
|
Да |
|
|
|
|
|
|
|
||||||||||||
|
|
|
|
|
|
|
|
|
|
|
|
|
||||||||||||||
|
|
|
|
|
|
|
|
|
|
|
|
|
||||||||||||||
|
|
|
|
|
|
|
|
|
|
|
|
|
|
|
|
|
|
|
|
|
|
|
||||
|
|
|
|
|
|
|
|
|
|
|
|
|
|
|
|
|
|
|
|
|
|
|
|
|
||
|
|
|
Выбор Зрjmin |
|
|
|
|
|
|
|
|
|
|
|
|
|
|
|
|
|
||||||
|
|
|
|
|
|
RKpj (б) =1 |
|
|
|
|
|
|
|
|
||||||||||||
|
|
|
|
RK pj :=1 |
|
|
|
|
|
|
|
|
|
|
|
|||||||||||
|
|
|
RKpj (б) =0 |
|
|
|
|
|
|
|
|
|
|
|
|
|
|
|
|
|
||||||
|
|
|
|
|
|
|
|
Нет |
|
|
|
|
|
|
|
|
|
|||||||||
|
|
|
|
|
|
|
|
|
|
|
|
|
|
|
|
|
|
|
|
|
|
|
||||
|
|
|
|
|
|
|
|
|
|
|
|
|
|
|
|
|
|
|
|
|
|
|
|
|||
|
|
|
|
|
|
|
|
|
|
|
|
|
|
|
|
|
|
|
|
|
|
|
|
|||
|
|
|
|
|
|
|
|
|
|
j<J |
|
|
|
j: j+1 |
|
|
|
|
||||||||
|
|
|
|
Да |
|
|
|
|
|
|
|
|
|
|
|
|
|
|
||||||||
|
|
|
|
|
|
|
|
|
|
|
|
|
|
|
|
|
|
|
|
|
|
|
|
|||
Массив рекомендуемых конструкций для участков i-го ЛДК сформирован
Рис. 3.6. Привязка конструктивных решений к i-му ЛДК
91
Демонстрационный пример возможного |
преобразования исходной |
||||||||||
матрицы после реализации алгоритма представлен на рис. 3.7. |
|
||||||||||
Вариант |
Участки для линейных работ по i-му ЛДК / Протяженность, км |
Суммарные |
|||||||||
|
|
|
|
|
|
|
|
|
затраты по |
||
конструкции |
|
|
|
|
|
|
|
|
|
||
1.1/L1.1 |
1.2/L1.2 |
1.3/L1.3 |
1.4/L1.4 |
варианту |
|||||||
|
|||||||||||
|
k111 |
Суд111 |
k112 |
Суд112 |
k113 |
Суд113 |
k114 |
Суд114 |
|
||
1 |
R111 |
R112 |
|
|
|
|
|
V*11 |
|||
З111 |
З112 |
|
|
|
|
|
|||||
|
|
|
|
|
|
|
|||||
|
Ссп111 |
В111 |
Ссп112 |
В112 |
Ссп113 |
|
В113 |
Ссп114 |
В114 |
|
|
|
k211 |
Суд211 |
K212 |
Суд212 |
k213 |
Суд213 |
k214 |
Суд214 |
|
||
2 |
|
|
|
|
R213 |
|
R214 |
V*21(б) |
|||
|
|
|
|
З213 |
|
З214 |
|||||
|
|
|
|
|
|
|
|||||
|
Ссп211 |
В211 |
Ссп212 |
В212 |
Ссп213 |
|
В213 |
Ссп214 |
В214 |
|
|
|
k311 |
Суд311 |
k312 |
Суд312 |
k313 |
Суд313 |
k314 |
Суд314 |
|
||
3 |
|
|
|
|
|
|
|
|
|
V31 |
|
|
Ссп311 |
В311 |
Ссп312 |
В312 |
Ссп313 |
|
В313 |
Ссп314 |
В314 |
|
|
Рис. 3.7. Пример изменения исходной матрицы после расчета по программе
Верификация алгоритма показала, что итог расчета с полным перебором всех вариантов (число сочетаний из n по m,
= n!/m!(n-m)! идентичен расчету по сокращенной схеме и дает существенную экономию времени. Расчеты выполняются в программе Excel.
После того как за каждым участком всех ЛДК на дороге закреплены эффективные конструктивные решения, можно считать, что объект структурирован на однотипные проектно-технологические модули (ПТМ) – участки с однотипными конструкциями. При этом однотипные конструкции могут присутствовать на разных ЛДК, но в каждом случае устойчивость земляного полотна обеспечивается расчетом высоты насыпи и различными геометрическим размерами и характеристиками свойств материалов конструктивных элементов. Эти расчеты выполнены на стадии, предшествующей формированию исходной матрицы.
Последовательность действий при решении данной задачи представлена в виде блок-схемы (рис. 3.8).
92
Формирование массивов ЛДК (I = 1, ….I) и участков ЛДК в каждом массиве
(J = 1….J) на протяжении дороги
Выделение из общего массивов участков с особенностями региональных условий для индивидуального проектирования на i-м ЛДК
Определение Lij –протяженность j-го участка на i-м ЛДК с относительно однородными интразональными факторами
Анализ расположения карьеров относительно трассы дороги, определение физико-механических характеристик грунтов в карьерах по данным изысканий. Расчет зон действия карьеров. Расчет среднего расстояния перевозок грунта из карьеров до участков
Анализ возможных вариантов конструктивных решений на основе «Базы данных», объектов-аналогов. Создание массивов информации предполагаемых вариантов конструкций Kpij – p-й вариант конструктивного решения на j-м участке i-го ЛДК
Расчет конструкций применительно к участкам ЛДК при условии обеспечения тепловой устойчивости основания земляного полотна по принятому принципу проектирования.
Расчет объемов работ на реализацию вариантов конструктивных решений
Расчет удельных затрат на реализацию p-го варианта конструкции на j-м участке i-го ЛДК на основе сметных нормативов Расчет приведенных дисконтированных затрат на строительство и эксплуатацию земляного полотна на участке
Составление матрицы «Конструкция-участок-затраты». Решение комбинаторной задачи по критерию минимизации приведенных затрат. Ранжирование конструктивных решений на ЛДК по критерию приведенных затрат на строительство и эксплуатацию земляного полотна на j-м участке
Рис. 3.8. Блок-схема подготовки информации для решения распределительной задачи «участок ЛДК – тип конструкции»
Выбор конструкций земляного полотна для участков ЛДК продемонстрирован на примере участка автомобильно дороги III технической кате-
93
гории, на многолетнемерзлых грунтах, в Саха-Якутии (I ДКЗ), конструкции приведены в прил. 2.
В табл. 3.2 отображена взаимосвязь компонентов проектирования земляного полотна на многолетнемерзлых грунтах: линейных дорожных комплексов, рассчитанных на основе инженерного районирования; типов конструктивных решений земляного полотна на участках ЛДК; линейных и сосредоточенных проектно-технологических модулей для формирования отрядов при строительстве земляного полотна.
Таблица 3.2
Декомпозиция земляного полотна на проектно-технологические модули на основе линейного дорожного районирования
|
Номер уча- |
Границы уча- |
Протяжен- |
Тип конструк- |
|
Номер |
стка(j) на i-м |
||||
стка, ПК: нача- |
ность уча- |
тивного реше- |
|||
ЛДК (i) |
ЛДК, обо- |
||||
ло−конец |
стка , км |
ния p |
|||
|
значение i.j |
||||
|
|
|
|
||
|
|
|
|
|
|
1 |
1.1 |
521-526 |
0,5 |
3 |
|
2 |
2.1 |
526-530 |
0,4 |
||
|
|||||
3 |
3.1 |
530-533 |
0,3 |
4 |
|
2 |
2.2 |
533-537 |
0,4 |
3 |
|
4 |
4.1 |
537-538 |
0,1 |
1 |
|
3 |
3.2 |
538-541 |
0,3 |
|
|
5 |
5.1 |
541-548 |
0,7 |
|
|
3 |
3.3 |
548-552 |
0,4 |
4 |
|
6 |
6.1 |
552-554 |
0,2 |
||
3 |
3.4 |
554-557 |
0,3 |
|
|
5 |
5.2 |
557-560 |
0,3 |
|
|
3 |
3.5 |
560-563 |
0,3 |
|
|
7 |
7.1 |
563-566 |
0,3 |
3 |
|
2 |
2.3 |
566-576 |
1,0 |
||
|
|||||
8 |
8.1 |
576-578 |
0,2 |
2 |
|
2 |
2.4 |
578-583 |
0,5 |
4 |
|
6 |
6.2 |
583-585 |
0,2 |
||
4 |
4.2 |
585-590 |
0,5 |
|
|
9 |
9.1 |
590-596 |
0,6 |
3 |
|
10 |
10.1 |
596-600 |
0,4 |
||
|
По результатам линейного дорожного районирования на участке протяженностью 7,8 км было выделено 10 линейно-дорожных комплексов с разными природными условиями. На участках ЛДК запроектировано 4 типа конструкций земляного полотна. Два типа конструкций приняты для
94