Таблица 3.1
Обозначения параметров и размерности (к блоку 1 , рис. 3.2)
Показатель |
|
|
Обозначение |
Ед.изм |
|
Влажность грунта суммарная |
|
|
Wtot |
д.е. |
|
Наибольшая глубина сезонного оттаивания грунта в годо- |
dth |
|
|
||
вом периоде, устанавливаемая по данным натурных наблю- |
м |
|
|||
дений |
|
|
|
|
|
Коэффициент, принимаемый в зависимости от Wtot |
в пери- |
kwc |
д.е |
|
|
од эксплуатации сооружения |
|
|
|
||
|
|
|
|
|
|
Коэффициент, принимаемый в зависимости от Wtot |
в пери- |
kw |
д.е. |
|
|
од наблюдений |
|
|
|
||
|
|
|
|
|
|
Температура начала замерзания грунта |
|
|
Tbf |
°C |
|
Расчетная температура поверхности грунта в летний период |
Tthc |
°C |
|
||
Расчетная продолжительность летнего периода |
|
tthc |
ч |
|
|
Средняя температура воздуха за период положительных |
Th |
°C |
|
||
температур |
|
|
|
||
Продолжительность периода положительных температур по |
tth |
ч |
|
||
метеоданным |
|
|
|
||
Наибольшая глубина сезонного промерзания грунта в годо- |
d f |
м |
|
||
вом периоде, устанавливаемая по данным натурных наблю- |
|
||||
дений |
|
|
|
|
|
Средняя по многолетним данным температура воздуха за |
Tfm |
°C |
|
||
период отрицательных температур |
|
|
|
||
|
|
|
|
|
|
Средняя продолжительность периода с |
отрицательными |
t fm |
ч |
|
|
температурами по многолетним данным |
|
|
|
||
|
|
|
|
|
|
Средняя температура воздуха за период |
отрицательных |
Tf |
°C |
|
|
температур в год наблюдения |
|
|
|
||
|
|
|
|
|
|
Продолжительность периода отрицательных температур в |
t f |
ч |
|
||
год проведения наблюдений |
|
|
|
||
|
|
|
|
|
|
Величины Hc1, Hc2 , Hc3 определяются по следующим формулам: |
|||||
|
; |
|
|
(3.6) |
|
|
; |
|
|
(3.7) |
|
|
, |
|
|
(3.8) |
|
где
– нормативные глубины сезонного оттаивания материалов слоев конструкции; Kw – поправочный коэффициент на расчетную
80
влажность грунта, принимаемый по графикам [65];
– коэффициент,
учитывающий интенсивность оттаивания материала дорожной одежды. Третий этап. Если основание представлено в виде двухслойной кон-
струкции, мощность деятельного слоя Hдс = Hk определяется методом
эквивалентных слоев по формуле (3.4). При многослойной конструкции количество слоев увеличивается с сохранением структуры формулы (3.5).
Четвертый этап. Относительная осадка грунта основания после его оттаивания под нагрузкой определяется согласно СНиП 2.02.04-88*(СП 25.13330.2014) [ 117]. В качестве грунта основания принимается грунт деятельного слоя. При наличии в основании глинистых грунтов с крупнообломочными включениями относительную осадку корректируют с помощью коэффициентов по ВСН 84-89 [65, прил.4, табл. 1].
Пятый этап. Строительная осадка, зависящая от сезона производства земляных работ, определяется согласно ВСН 84-89 [65, прил.7]. В расчетах строительной осадки грунтов основания при сооружении насыпей следует учитывать время производства работ (лето, зима) и технологию возведения земляного полотна (на полную высоту или послойно).
Результатом расчета по блок-схеме является минимальная рекомендованная высота насыпи по первому или второму принципу расчета. Автоматизация расчетов позволяет упростить проектирование конструкций земляного полотна в условиях распространения ММГ и осуществлять обоснованный выбор из многих вариантов конструкций.
Исследования, связанные с расчетом дорожных конструкций на ММГ, являются достаточно актуальными в настоящее время. Авторы [8,60] рассматривают проблемы обоснования эффективных дорожных конструкций на ММГ с позиций термической (тепловой) устойчивости основания земляного полотна. С.М. Жданова [60], анализируя состояние теплового равновесия для верхнего слоя вечной мерзлоты, формулирует условия состояния мерзлотного процесса через отношение глубины зим-
него промерзания |
м, к мощности деятельного слоя |
, м: |
|
|
1) |
для стабильного состояния мерзлоты |
; |
; |
|
2) |
для наступления (подъема) вечной мерзлоты |
> 1; |
||
3) |
для состояния деградации первого вида 1,2 |
|
||
4) |
Для интенсивной деградации второго вида по Кудрявцеву [80] |
|||
1. Дальнейшее развитие и обоснование данного подхода представле-
но в работах [8,108]. Авторами предложена методика оценки условий стационарности массива многолетнемерзлого грунта, при которой обеспечивается устойчивость земляного полотна. Авторы [8], опираясь на работы
81
Н.А. Цытовича [141], П.И. Мельникова [84], условие устойчивости формулируют следующим образом: тепловое состояние массива мерзлого грунта устойчиво, если оттаивающий летом слой грунта полностью промерзает зимой.
Аналитическое представление этого условия в работе [84] имеет вид
|
|
1 , |
|
(3.9) |
где |
− коэффициенты теплопроводности грунта массива в мерзлом и |
|||
талом состояниях соответственно, ккал/(м·ч·град); |
– |
сумма отрица- |
||
тельных градусочасов поверхности грунта, град·ч; |
– |
сумма положи- |
||
тельных градусочасов поверхности грунта, град·ч. |
|
|
||
Авторы [8] назвали отношение (3.9) коэффициентом термической (те- |
||||
пловой) |
устойчивости |
и на основе практических мерзлотных наблю- |
||
дений обосновали, что «межгодовая изменчивость сезонного оттаивания при относительной стабильности компонентов природного комплекса не
выходит за пределы 20 − 30 %». Приняв линейную зависимость между количеством тепла, поступившего за сезон промерзания (оттаивания)
, и глубиной промерзания (оттаивания) грунта деятельного слоя, авторы [8] приходят к следующим выражениям для условия тепловой устойчивости земляного полотна на ММГ:
, |
(3.10) |
1,3, |
(3.11) |
где – соответственно величины промерзания и оттаивания грунта деятельного слоя, м.
Отношение |
обозначено через I и названо климатическим мерзлот- |
ным индексом. Эту величину можно считать постоянной для данной территории на продолжительном промежутке времени, на котором существенно не меняется климат.
I |
, |
(3.12) |
Условия (3.10) − (3.12) после подстановок и преобразований представлено в виде нестрогого неравенства:
I ≥1,3 |
, |
(3.13) |
Выражение (3.13) авторами методики [8] принято в качестве критерия естественной тепловой (термической) устойчивости многолетнемерзлого
82
грунта, находящегося в основании насыпного сооружения (насыпи, дамбы, промышленной площадки, дорожного земляного полотна и т.д.).
Данный критерий дает возможность, исходя из значения климатического индекса I, на стадии проектирования прогнозировать тепловую устойчивость многолетнемерзлого грунта, находящегося в основании насыпи. При этом должны учитываться теплофизические свойства грунтов и материалов вышележащих конструктивных слоев.
Анализ изменения значений теплофизических характеристик талых и мерзлых грунтов в зависимости от их влажности свидетельствует о необходимости учёта не только их коэффициентов теплопроводности, но и их объёмной теплоёмкости. Это реализуется через температуропроводности грунта в талом и мерзлом состояниях соответственно αт и αм, м2/ч, определяемых по общей формуле
α |
, |
(3.14) |
где λ – коэффициент теплопроводности, Вт/м * оС (ккал/м*ч*оС); С – объёмная теплоёмкость, кДж/м * оС (ккал/м3*оС).
В результате формула критерия тепловой устойчивости мёрзлого основания с учетом выражений (3.13) и (3.14) в уточнённом виде может быть записано как
I ≥ 1,3 αт / αм . |
( 3.15) |
Выражение (3.15) не учитывает общее термическое сопротивление многослойной конструкции R, которое определяют по формуле
R = h1/λ1 + h2/λ2 + …+ hn/λn + Rп , |
( 3.16) |
где h1,…, hn – толщины слоёв многослойной конструкции с коэффициентами теплопроводности λ1,…, λn; Rп = 1/а – сопротивление теплопередаче
поверхности (оС*м2*ч/ккал); а − коэффициент теплоотдачи от воздуха к
поверхности грунта или дорожного покрытия (в среднем равный 20 ккал/м2 * ч * оС).
Суммарное термическое сопротивление ΣRα , учитывающее теплоемкость грунтовых и конструктивных слоёв через коэффициент температуропроводности α, без учета коэффициента теплоотдачи от воздуха к поверхности покрытия, определяют по формуле
83
ΣRα = h1/α1 + h2/α2 + …+ hn/αn , |
( 3.17) |
где h1,…, hn – толщины слоёв многослойной конструкции с соответствующими коэффициентами температуропроводности α1,…,αn .
Таким образом, условие тепловой устойчивости многолетнемерзлого основания под насыпными инженерными сооружениями (дорожными насыпями, промышленными площадками, дамбами и т.д.) представлено в [108] в следующем виде:
I ≥ 1,3Σ Rαт /ΣRαм , |
( 3.18) |
где ΣRαт и ΣRαм – общие (суммарные) термические сопротивления всех слоев дорожной конструкции (земляное полотно + дорожная одежда) соответственно в талом и мёрзлом состояниях.
На основе данной методики выполнено моделирование конструкций земляного полотна с разными параметрами конструктивных слоев [108] и разработана программа для ЭВМ «Система автоматизированного проектирования земляного полотна автомобильных дорог в сложных условиях «Permafrost» [115]. Методы расчета глубины сезонного оттаивания и промерзания многослойной системы из слоёв дорожной конструкции и грунтового основания разработаны авторами [8] на основе решений Г.М. Фельдмана [136].
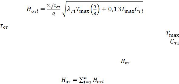
Глубину сезонного оттаивания грунтовых слоёв дорожной насыпи и её основания
определяют по формуле
, (3.19)
где − время, год в часах (8760 ч) ; q − количество скрытой теплоты фа-
зовых переходов влаги при промерзании грунта в 1 м3, ккал/м3; |
− |
|
среднемесячная температура за самый тёплый летний месяц, °C; |
− |
|
объёмная теплоёмкость грунтов, кДж/(м3·°C). |
|
|
Суммарная глубина оттаивания конструкции |
из n слоев определя- |
|
ется по формуле |
|
|
. |
|
(3.20) |
Глубину сезонного промерзания многослойной системы из слоёв дорожной насыпи и грунтового основания
определяют по формуле
84