Материал: 2316

Внимание! Если размещение файла нарушает Ваши авторские права, то обязательно сообщите нам

шений федеральной автодороги «Амур» Чита Хабаровск, инженерногеокриологических условий трассы, оценке и снижению риска влияния негативных процессов и явлений на эксплуатационные показатели дороги. Учитывая информационную ценность этих работ, целесообразно перейти к решению данной проблемы в условиях криолитозоны.

Информация о ранее построенных объектах на определенных территориях должна включать следующие данные: принятые конструктивные решения, используемые материалы, сроки и условия строительства, а также условия эксплуатации отдельных объектов, особенно на сложных участках. При строительстве новых дорог выполняются детальные инженер- но-геологические и экологические изыскания. Комплекс этих данных вместе с природно-климатическими показателями территории, мониторингом состояния дорог является ценной информационной базой для проектирования, строительства и эксплуатации дорог. Такая информация может представлять собой своеобразный «Паспорт транспортных сооружений» в регионе, отличающийся от существующей формы паспортизации дорог определенной компактной структурой, характеризующей не отдельные километры и выполняемые работы, а конструктивные решения на отдельных участках дорог, принятые меры по обеспечению устойчивости и надежности сооружений, результаты мониторинга эксплуатационного состояния дорог в жизненном цикле. Наиболее эффективными конструкциями являются те, которые включают одновременно и водоотвод от тела земляного полотна.

С целью анализа и подбора конструктивных решений на участках ЛДК разработана информационная база данных (БД) «База конструктивных решений земляного плотна на многолетнемерзлых основаниях Permafrost Construction Base». Получено свидетельство о государственной регистрации [114].

Основой БД является схема, предложенная А.А. Цернантом [138]. В базе представлены реестр и схемы конструктивных решений на основе патентов, паспортов объектов, данных технической документации и литературы, физико-механические и теплофизические характеристики различных грунтов оснований и карьеров, материалов, используемых для стабилизации; нормативно-технические документы. Структура «базы данных представлена на схеме (рис. 3.1).

75

Рис. 3.1. Структура информационной базы данных для проектирования земляного полотна на ММГ

В работе С.М. Ждановой [60] отмечена наибольшая эффективность следующих противодеформационных мероприятий применительно к определенным природным условиям:

на сильнольдистых грунтах теплоизолирующая конструкция из пенопласта, древесных отходов и геосинтетики;

на подходной к мосту насыпи лоток рамного типа с перемычкой из досок и пенопласта;

на обводненных участках бермы из мелкодисперсного грунта;

на участках пучин комбинированная конструкция из пенополистирола и укрепляющих композиций ДВГУПС ;

на участках сплывов, оползня укрепляющие композиции ДВГУПС ;

на термокарстовых участках фильтрующая насыпь по технологии "Сеткон".

Данные конструктивные решения включены в базу данных [114].

76

3.2. Автоматизация расчетов конструкций земляного полотна на участках ЛДК

Всоответствии с ВСН 84-89 [65] под устойчивостью насыпи понимается такое состояние ее основания, при котором верхний горизонт вечномерзлых грунтов (ВГВМ) будет сохраняться в критический по балансу тепла год (не более 1 раза в 11 лет) на требуемой (допустимой) глубине с учетом принятых принципов проектирования.

Впроцессе расчета и конструирования земляного полотна с использованием ПЭВМ предусматривается регулирование параметрами дорожной насыпи: геометрическими размерами слоев, физико-механическими свойствами грунтов, применением дополнительных армирующих, теплоизолирующих и т.п. элементов в грунтовом массиве [138,154,163]. В ра з- ных северных регионах дорожные насыпи на ММГ представляют достаточно разнообразные и сложные конструкции с точки зрения количества и взаимодействия составляющих их элементов.

С увеличением объемов строительства дорог в северных условиях возрастает потребность в совершенствовании методов и моделей для прогнозирования состояния дорог в жизненном цикле. Адекватные модели и программы расчетов создают условия для выбора эффективных и надежных конструкций. Автоматизация расчетов позволяет сократить затраты времени на проектирование конструкций земляного полотна и осуществлять обоснованный выбор из многих вариантов.

Расчеты конструкций земляного полотна на ММГ, как правило, выполняются с использованием различных программ для ПЭВМ [99,100,101,115] с применением, в основном, численных методов на базе нормативных документов и научно-исследовательских работ [65,68,86,90,108]. В расчеты на тепловую устойчивость применительно к автомобильным дорогам включают не только конструкцию земляного полотна, но и конструкцию дорожной одежды (возможно ее варианты). При расчете учитывается, что приняты определенные схемы водоотведения или защиты дорожного сооружения от воздействия паводковых и дождевых вод.

Расчет по ВСН 84-89 [65] предусматривает использование двух принципов проектирования на ММГ и направлен на регулирование высоты насыпи по слоям конструкции. При проектировании насыпи по первому принципу осадка в процессе эксплуатации не допускается. Высота насыпи рассчитывается по формуле

77

 

,

( 3.2)

где высота насыпи, м;

глубина сезонного оттаивания дорожной

конструкции (земляное полотно + дорожная одежда, м).

 

При проектировании насыпи по второму принципу высоту насыпи рассчитывают по формуле

,

(3.3)

где Hдс мощность деятельного (сезоннооттаивающего) слоя, устанавли-

ваемая по данным изысканий или расчетом по формулам (3.4) (3.8), при естественной влажности грунта, м; e относительная осадка грунта основания после его оттаивания под нагрузкой, доли единицы; строительная осадка, зависящая от сезона производства земляных работ, м (опреде-

ляется согласно обязательному прил. 7 ВСН 84-89 [65]);

– допустимая

осадка, м (для асфальтобетонного покрытия

0,04 м);

глубина

сезонного оттаивания дорожной конструкции (земляное полотно + дорожная одежда, м).

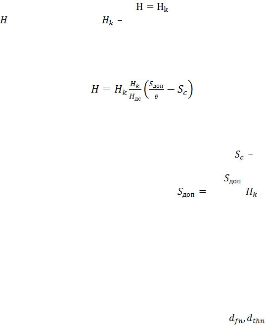
Блок-схема соответствующего алгоритма расчета приведена на рис.

3.2.Расчет по ВСН 84-89 выполняется в следующей последовательности. Первый этап (см. номера блоков на рис. 3.2). Расчет глубины сезон-

ного промерзания и оттаивания грунтов основания насыпи, а также грунтов, из которых планируется возведение слоев земляного полотна, производится по методике, описанной в СНиП 2.02.04-88* (СП 25.13330.2012) [117].

В блок-схеме (рис. 3.2) приведены формулы расчета . В табл.

3.1 приведены параметры, необходимые для расчетов этих показателей, их размерности и обозначения.

При отсутствии натурных наблюдений используют информационные базы данных в виде физических и теплотехнических характеристик различных видов грунтов, в т.ч. теплопроводность и объемная теплоемкость грунтов в мерзлом и талом состояниях [114].

Второй этап. Расчет глубины оттаивания дорожной конструкции производится методом эквивалентных слоев. Если конструкция представляется в виде двухслойной схемы, глубина сезонного промерзания определяется методом эквивалентных слоев по формуле (3.4). В случае, если конструкция представлена в виде трехслойной схемы, расчет ведется по формуле (3.5).

78

; (3.4)

, (3.5)

где , толщины первого (верхнего) и второго слоев, м;

глубины сезонного оттаивания соответствующих слоев основания, м.

 

 

1

 

Расчет нормативной глубины сезонного промерзания d fn ,

 

 

 

 

 

 

 

 

м, и оттаивания грунтов

dthn , в районе строительства Hcн

 

 

 

 

 

 

 

 

 

 

 

 

 

 

 

 

 

 

 

 

 

 

 

 

 

 

 

 

 

 

 

 

 

 

 

 

 

 

 

 

 

 

 

 

 

 

 

 

 

 

 

 

 

 

 

 

 

 

 

 

 

 

 

 

 

 

 

 

 

 

 

 

 

 

 

 

 

 

 

 

 

 

 

 

 

 

 

 

 

 

 

 

 

 

 

 

 

 

 

 

 

 

 

 

 

 

 

 

 

 

 

 

 

 

 

 

 

 

 

 

 

 

 

 

 

 

 

 

3

 

Определение

 

 

 

 

 

 

 

 

 

 

 

 

 

 

 

 

 

 

 

 

 

 

 

 

 

 

 

 

 

 

 

 

 

 

 

 

 

 

 

 

 

 

 

 

4

 

 

 

Определение от-

 

 

 

 

 

 

 

 

 

 

 

 

 

 

 

 

 

 

 

 

 

 

 

 

 

 

 

 

 

 

 

 

 

 

 

 

 

 

 

 

 

 

 

 

 

 

 

 

 

 

 

 

 

 

 

 

 

 

 

 

 

 

 

 

 

 

 

мощности

 

 

 

 

 

 

 

 

 

 

 

 

 

 

 

 

 

 

 

 

 

 

 

 

 

 

 

 

 

 

 

 

 

 

 

 

 

 

 

 

 

 

 

 

 

 

 

 

 

 

 

kwc

 

 

 

(Tfm Tbf )t fm

 

 

 

 

 

деятельного

 

 

 

 

 

 

 

 

 

 

носительной

 

 

 

 

d fn

= d f

 

 

 

 

 

 

 

 

 

 

 

 

 

 

 

 

 

 

осадки грунта ос-

 

 

 

 

 

 

 

 

 

 

 

 

слоя Hдс

 

 

 

 

 

 

 

 

 

 

 

 

 

 

 

 

 

 

 

 

 

 

 

 

 

 

 

 

 

 

 

 

 

 

 

 

 

 

 

 

 

 

 

 

 

 

нования после его

 

 

 

k

 

 

 

 

 

(T

 

T

)t

 

 

 

 

 

 

 

 

 

 

 

 

 

 

 

 

 

 

 

 

 

 

 

 

 

 

 

 

w

 

 

 

 

f

 

bf

 

 

f

 

 

 

 

 

 

 

 

 

 

 

 

 

 

 

 

 

 

 

 

 

оттаивания под

 

 

 

 

 

 

 

 

 

 

 

 

 

 

 

 

 

 

 

 

 

 

 

 

 

 

 

 

 

 

 

 

 

 

 

 

 

 

 

 

 

 

 

 

 

 

 

нагрузкой

 

 

 

 

 

 

 

 

 

 

 

 

 

 

 

 

 

 

 

 

 

 

 

 

 

 

 

 

 

 

 

 

 

 

 

 

 

 

 

 

 

 

 

 

 

 

 

 

 

 

 

 

 

 

kwc

 

 

(Tthc Tbf )tthc

 

 

 

 

 

 

 

 

 

 

н

 

 

 

 

 

 

 

 

 

 

 

 

 

 

 

 

 

 

 

 

 

 

dthn = dth

 

 

 

 

 

 

 

 

 

 

 

 

 

 

 

 

 

 

 

 

 

Hc1 = Hc1kwkп

 

 

 

 

 

 

 

 

 

 

 

 

 

 

 

 

k

 

 

 

 

 

(T

 

T

)t

 

 

 

 

 

 

 

 

 

 

 

 

 

 

 

 

 

 

 

 

 

 

 

 

 

 

 

 

 

 

 

 

 

 

 

 

 

 

 

 

 

 

 

 

 

 

 

 

 

 

 

 

 

 

Определение

 

 

 

 

 

 

 

 

 

 

 

 

 

 

 

 

 

 

 

 

 

 

 

 

Hc2 = Hcн2kw

 

 

 

 

 

 

 

 

 

 

 

 

 

 

 

 

 

 

 

 

 

w

 

 

 

h

 

bf

 

th

 

 

 

 

 

 

 

 

 

 

 

 

 

 

 

 

допустимой

 

 

 

 

 

 

 

 

 

 

 

 

 

 

 

 

 

 

 

 

 

 

 

 

 

 

 

 

 

 

 

 

 

 

 

 

 

 

 

 

 

 

 

 

 

 

 

 

 

 

осадки по

 

 

 

 

 

 

 

 

 

 

 

 

 

 

 

 

 

 

 

 

 

 

 

 

 

 

 

 

 

 

 

 

 

 

 

 

 

 

 

 

 

 

 

 

 

 

 

 

 

2

 

Определение глубины от-

 

 

 

 

 

 

 

 

 

 

 

 

 

 

 

 

 

 

 

 

 

 

 

 

 

 

 

 

 

 

покрытию

 

 

 

 

 

 

 

 

 

 

 

 

 

 

 

 

 

 

 

 

 

 

 

 

 

 

 

 

 

 

 

 

 

 

 

 

 

 

 

 

таивания конструкции, вклю-

 

 

 

 

 

 

 

 

 

 

 

 

 

Hc2

 

 

 

 

 

 

 

 

 

 

 

 

 

 

чающей земляное полотно и

 

 

 

 

 

 

 

 

 

 

 

 

 

 

 

 

 

 

 

 

 

 

 

 

 

 

 

 

 

 

 

 

 

 

 

 

 

 

 

 

 

 

 

 

 

 

 

 

 

 

 

 

 

 

дорожную одежду

 

 

 

 

 

 

 

 

 

 

Hдс

= Hc2 + h1 1

 

Hc1

 

 

 

 

 

 

 

 

 

 

 

 

 

 

 

 

 

 

 

 

 

 

 

 

 

 

 

 

 

 

 

 

 

 

 

 

 

 

 

 

 

 

 

 

 

 

 

 

 

 

 

 

5

 

 

 

 

 

 

 

 

 

 

 

 

 

 

 

 

 

 

 

 

 

 

 

 

 

 

 

 

 

 

 

 

 

 

 

 

 

 

 

 

 

 

 

 

 

 

 

 

 

 

 

 

 

 

 

 

 

 

 

 

 

 

 

 

 

 

 

 

 

 

 

 

 

 

 

 

 

 

 

 

 

 

 

 

 

 

 

 

 

 

 

 

 

 

 

 

 

 

 

 

 

 

 

 

 

 

 

 

 

 

 

 

 

 

 

 

 

 

 

 

 

 

 

 

 

 

 

 

 

 

 

 

 

 

 

 

 

 

 

 

 

 

 

 

 

 

 

 

 

 

 

 

 

 

 

 

 

 

 

 

 

 

 

 

 

 

 

 

 

 

 

 

 

 

 

 

 

 

 

 

 

 

 

 

 

 

 

 

 

 

 

 

 

 

 

 

 

 

 

 

 

 

 

Расчет строи-

 

 

 

 

 

Расчеты по формулам (3.4) – (3.8)

 

 

 

 

 

 

 

 

 

 

 

 

 

 

 

 

 

 

 

 

 

 

 

 

 

 

 

 

 

 

 

 

основного текста

 

 

 

 

 

 

 

 

 

 

 

 

 

 

 

 

 

 

 

 

 

 

 

 

 

 

 

 

 

 

 

 

тельной осадки

 

 

 

 

 

 

 

 

 

 

 

 

 

 

 

 

 

 

Расчет высоты насыпи

 

 

 

 

 

 

 

 

 

 

 

 

 

 

 

 

 

 

 

 

 

 

 

 

 

 

 

 

 

 

 

 

грунтов осно-

 

 

 

 

 

 

 

 

 

 

 

 

 

 

 

 

 

 

 

 

 

 

 

 

 

 

 

 

 

 

 

 

 

 

 

 

 

 

 

 

 

 

 

 

 

 

 

 

 

 

 

 

 

 

 

 

 

 

 

 

 

 

 

 

 

 

 

 

 

 

 

 

 

 

 

 

 

 

 

 

 

 

 

 

 

 

 

 

 

 

 

 

 

 

 

 

 

 

 

 

 

 

 

 

 

при проектировании по

 

 

 

 

 

 

 

 

 

вания и тела

 

 

 

 

 

 

 

 

 

 

 

 

 

 

 

 

 

 

 

 

 

 

 

 

 

 

 

 

 

второму принципу

 

 

 

 

 

 

 

 

 

 

 

 

насыпи на раз-

 

 

 

 

 

Назначение высоты насыпи

 

 

 

 

 

 

 

 

 

 

 

 

 

 

 

 

 

 

 

 

 

 

 

 

 

 

 

 

 

 

 

 

 

 

 

 

 

 

 

 

 

 

 

 

 

 

 

 

 

 

 

 

 

личных стадиях

 

 

 

 

 

 

при проектировании по пер-

 

 

 

 

 

 

 

 

 

 

 

 

 

 

 

 

 

 

 

 

 

 

 

 

 

 

 

 

 

 

 

проектирова-

 

 

 

 

 

 

 

 

 

 

 

 

 

 

 

 

 

 

 

 

 

 

 

 

 

 

 

 

 

 

 

 

 

 

 

 

 

 

 

 

 

 

 

 

вому принципу

 

 

 

 

 

 

 

 

 

 

 

 

 

 

 

 

 

 

 

 

 

 

 

 

 

 

 

 

 

 

 

 

ния с учетом

 

 

 

 

 

 

 

 

 

 

 

 

 

 

 

 

 

 

 

 

Hk

 

S

 

 

 

 

 

 

 

 

 

 

 

 

 

 

 

 

 

 

 

 

 

 

 

 

 

 

 

 

 

 

 

 

 

 

 

 

 

 

 

 

 

доп

 

 

 

 

 

 

 

 

 

 

 

условий строи-

 

 

 

 

 

 

 

 

 

 

 

 

 

 

 

 

 

 

 

 

 

 

 

 

 

 

H = Hk

 

 

 

 

Sc

 

 

 

 

 

 

 

 

тельства

 

 

 

 

 

 

 

 

 

 

 

 

 

 

 

 

 

 

 

 

 

 

 

 

 

 

 

 

 

 

 

 

 

 

 

 

 

 

 

 

 

 

 

 

 

 

 

 

 

 

 

 

 

 

 

 

 

 

 

 

 

 

 

 

 

 

Hдс

 

 

e

 

 

 

 

 

 

 

 

 

 

 

 

 

 

 

 

 

 

 

 

 

 

 

 

 

H = Hk

 

 

 

 

 

 

 

 

 

 

 

 

 

 

 

 

 

 

 

 

 

 

 

 

 

 

 

 

 

 

 

 

 

 

 

 

 

 

 

 

 

 

 

 

 

 

 

 

 

 

 

 

 

 

 

 

 

 

 

 

 

 

 

 

 

 

 

 

 

 

 

 

 

 

 

 

 

 

 

 

 

 

 

 

 

 

 

 

 

 

 

 

 

 

 

 

 

 

 

 

 

 

 

 

 

 

 

 

 

 

 

 

 

 

 

 

 

 

 

 

 

 

 

 

 

 

 

 

 

 

 

 

 

 

 

 

 

 

 

 

 

 

 

 

 

 

 

 

 

 

 

 

 

 

 

 

 

 

 

 

 

 

 

 

 

 

 

 

 

Рис. 3.2. Блок-схема алгоритма расчета насыпей на ММГ по ВСН 84-89

79