|
|
|
|
|
|
|
|
|
|
Таблица 2.4 |
|
|
|
|
|
Методика автоматизированного линейного дорожного районирования |
|
|
|||||
|
|
|
|
|
|
|
|
|
|
|
|
|
Номер |
Наименование этапа |
|
Расчетные параметры и основные формулы |
Метод расчета, |
||||||
|
|
программа |
|||||||||
|
этапа |
|
|||||||||
|
|
|
|
|
|
|
|
|
ПЭВМ |
||
|
|
|
|
|
|
|
|
|
|
||
|
|
|
|
|
|
|
|
|
|
||
|
1 |
Изучение материалов отче- |
|
|
|
|
|
MS |
Excel, |
||
|
|
та по инженерным изыска- |
|
|
|
|
|
Autocad |
|
||
|
|
ниям автомобильной дороги |
|
|
|
|
|
|
|
||
|
|
|
|
|
|
|
|
|
|
||
|
2 |
Подготовка информации по |
|
|
|
|
|
MS Excel, |
|
||
|
|
блоку |
климатических фак- |
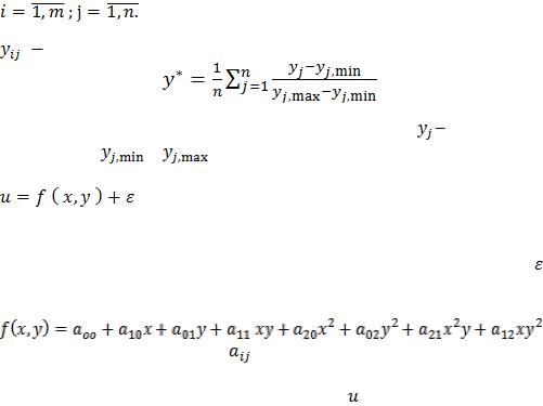
j-е климатические параметры по i-м метеостанциям. |
операции c мат- |
||||||
|
|
торов. Обработка и оцени- |
рицами в |
|
|||||||
|
|
вание |
статистических дан- |
|
|
|
, |
|
Mathematica 5.2 |
||
|
|
ных по |
показателям, харак- |
|
|
|
|
|
|
|
|
|
|
теризующим климатические |
где y*− обобщенный показатель районирования; |
значение j-го |
|
|
|||||
60 |
|
параметры |
окружающей |
показателя; |
, |
– соответственно минимальное и макси- |
|
|
|||
|
среды |
|
|
|
|
||||||
|
|
|
мальное значения j-го критерия |
за период наблюдения |
|
|
|||||
|
|
|
|
|
|
||||||
|
|
|
|
|
|
|
|||||
|
|
|
|
|
|
|
|
|
|||
|
3 |
Разграничение зон действия |
|
, |
|
|
|
Нелинейная рег- |
|||
|
|
климатических факторов по |
где и – значение обобщенного показателя по климатически факторам |
рессия. |
|
||||||
|
|
трассе дороги. Оценка фак- |
для каждой метеостанции; f(x,y) – неслучайная часть поля (функция |
«Mathematica |
|||||||
|
|
торов по показателям каж- |
координат); х,у – координаты точек наблюдения (метеостанций); − |
5.2», |
|
||||||
|
|
дой зоны |
|
случайные, неконтролируемые отклонения поля от f(x,y), не зависи- |
Statistica 6.0 |
||||||
|
|
|
|
|
мые от координат х,у. |
|
|
. |
|
|
|
|
|
|
|
|
|
|
|
|
|
|
|
|
|
|
|
|
Определив |
коэффициенты |
, строят графики линий для инте- |
|
|
||
|
|
|
|
|
гральных функций по метеостанциям, которые и будут являться гра- |
|
|
||||
|
|
|
|
|
ницами климатических зон по переменной |
|
|
|
|||
|
|
|
|
|
|
|
|
|
|
|
|
60
Окончание табл. 2.4
|
Но- |
|
|
|
|
|
|
|
|
|
|
|
|
|
|
|
|
|
|
Метод расче- |
||
|
мер |
Наименование этапа |
Расчетные параметры и основные формулы |
|
|
|
|
|
|
та, программа |
||||||||||||
|
этапа |
|
|
|
|
|
|
|
|
|
|
|
|
|
|
|
|
|
|
ПЭВМ |
|
|
|
|
|
|
|
|
|
|
|
|
|||||||||||||
4 |
Формирование ОТЕ по длине |
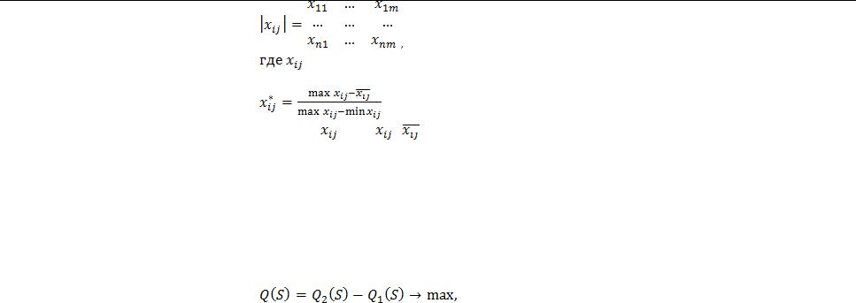
Х ijknp − операционная таксономическая единица (ОТЕ). |
|
Элементный |
MS Excel |
|
||||||||||||||||
|
|
участка в каждой климатиче- |
участок дороги с набором определенных показателей по признакам: |
|
|
|
|
|
||||||||||||||
|
|
ской зоне. Оценка показате- |
i – топографические условия; |
j – геоморфологические условия; k − гид- |
|
|
|
|||||||||||||||
|
|
лей по пикетам, усреднение |
рологические условия; |
n – геоботанические факторы; p – мерзлотные |
|
|
|
|||||||||||||||
|
5 |
параметров в границах ОТЕ |
условия |
; |
|
|
|
|
|
|
|
|
|
|
|
|
MS |
Excel- |
||||
|
Подготовка и ввод показате- |
|
|
|
|
|
|
|
|
|
|
|
|
|
||||||||
|
|
лей по ОТЕ в натуральной |
|
|
|
|
|
|
|
|
|
|
|
|
|
|
нормирова- |
|
||||
|
|
форме, стандартизация дан- |
– значения j-го показателя на i-й ОТЕ в натуральной форме, со- |
ние, |
|
|
||||||||||||||||
|
|
ных. |
|
|
|
T-Analysis |
– |
|||||||||||||||
|
|
Стандартизированные данные |
ответствующей размерности по непрерывной шкале. |
|
|
|
|
|
|
|
|
таксономичес- |
||||||||||
|
|
в виде новой матрицы харак- |
, |
|
|
|
|
|
|
|
|
|
|
|
|
|
кий анализ |
|
||||
61 |
|
теризуются нулевым матема- |
|
|
|
|
|
|
|
|
|
|
|
|
|
|
|
|
|
|||
|
тическим ожиданием и дис- |
где max , min , |
− соответственно максимальное, минимальное и |
|
|
|
||||||||||||||||
|
|
|
|
|
||||||||||||||||||
|
|
персией, равной единице |
среднеарифметическое значения j−го признака на i−м объекте (ОТЕ) |
|
|
|
|
|
||||||||||||||
|
|
|
|
|
|
|
|
|
|
|
|
|
|
|
|
|
|
|
|
|||
|
6 |
Расчет мер |
близости между |
Посредством вычисления |
мер близости |
|
|
|
|
|
|
|
|
|
|
|
MS Excel, |
|
||||
|
|
ОТЕ по совокупности клас- |
|
|
d |
|
|
|
|
|
|
T-Analysis |
с |
|||||||||
|
|
(2.19) исходная матрица признак-ОТЕ (2.16) |
|
|
d ...... |
d |
||||||||||||||||
|
|
сификационных признаков. |
|
|
|
|
|
|
11 |
12 |
|
1n |
|
использова- |
|
|||||||
|
|
Преобразование |
|
матрицы |
преобразуется в матрицу близости между |
|
|
d |
|
d |
|
...... |
d 2n |
|
||||||||
|
|
|
D |
|
21 |
22 |
нием |
агрега- |
||||||||||||||
|
|
«признак-ОТЕ» |
в |
матрицу |
ОТЕ. Матрица расстояний между объектами |
ij |
= |
|
|
|
|
|
|
|||||||||
|
|
|
|
|
|
|
|
|
|
|
|
|
|
|
тивного алго- |
|||||||
|
|
(ОТЕ), последовательное объединение ОТЕ |
|
|
|
.... ..... ...... ..... |
|
|||||||||||||||
|
|
«ОТЕ-ОТЕ». |
|
|
|
|
|
ритма |
|
|
||||||||||||
|
|
|
|
|
|
|
|
|
|
|
|
|
|
|
|
|
|
|
||||
|
|
|
|
|
|
в классы (таксоны) |
|
|
|
|
|
d |
|
d |
|
...... |
d |
|
|
|
|
|
|
|
|
|
|
|
|
|
|
|
|
n1 |
n2 |
nn |
|
|
|
||||||
|
|
|
|
|
|
|
|
|
|
|
|
|
|
|
|
|
|
|||||
|
7 |
Поэтапное |
формирование |
|
|
критерий качества |
агрегирования, |
|
см. |
MS Excel, |
|
|||||||||||
|
|
таксонов и |
оценка |
качества |
формулы (2.20 – (2.22) |
|
|
|
|
|
|
|
|
|
|
|
|
|
T-Analysis |
|
||
|
|
агрегирования. |
Завершение |
|
|
|
|
|
|
|
|
|
|
|
|
|
|
|
|
|||
|
|
|
|
|
|
|
|
|
|
|
|
|
|
|
|
|
|
|
||||
|
|
расчетов с созданием ЛДК |
|
|
|
|
|
|
|
|
|
|
|
|
|
|
|
|
|
|||
|
|
|
|
|
|
|
|
|
|
|
|
|
|
|
|
|
|
|
|
|
|
|
61
По сложности мерзлотно-грунтовых условий участок автодороги отнесен к сложным, район изысканий автодороги входит в I дорожноклиматическую зону. Типы местности по условиям увлажнения – 1, 2 и 3.
Глубокое сезонное промерзание составляет от 2,4 м до 3,5 м. Среднегодовая температура грунта на подошве сезонно-талого слоя не принимает
положительных значений, наибольшие значения температуры − 0,5 °С, многолетнемерзлые грунты являются высокотемпературными. В геологическом отношении район представлен отложениями четвертичного возраста в виде делювиальных, элювиально-делювиальных и аллювиальных образований различного генезиса (супесчано-суглинистые, дресвянощебенистые и гравийно-галечниковые грунты, пески, супесчаносуглинистые грунты с примесью органики и торфа).
Таким образом, по результатам инженерных изысканий на стадии проектно-изыскательских работ определены характеристики местности и естественные геокриологические условия района прохождения трассы
(дорожно-климатическая зона − I2; ландшафт − лесотундра; распространение многолетнемерзлых грунтов − сплошное; температура грунтов на
границе нулевых годовых амплитуд ниже − 1,5 °С; мощность сезонноталого слоя в приделах 0,6-2,5 м; мерзлые и криогенные процессы и явления – заболачивание, криогенные льды; грунты II и III категории просадочности, высокотемпературные; тип местности по условиям увлажнения – 1, 2 и 3). По комплексу природно-климатических факторов трасса принадлежит к одному району, зональное районирование не предусмотрено.
На участке длиной 28 км на основе объединения пикетов выделено 37 ОТЕ. В качестве характеристик ОТЕ приняты показатели физических и физико-механических свойств грунтов по 22 инженерно-геологическим элементам (ИГЭ).
По каждой ОТЕ по результатам инженерно-геологических изысканий представлены следующие количественные характеристики ИГЭ: плотность грунта, г/см3, модуль деформации, МПа, отдельно для сезоннотающего слоя (СТС) и массива нижележащих слоев, включая многолетнемерзлые грунты. Значения показателей рассчитывались как средневзвешенные по толщине слоев ИГЭ в грунтовых массивах. Значения показателей по каждому из факторов для дороги протяженностью 28 км и для одного из ЛДК протяженностью 4,6 км представлены в табл. 2.5.
При реализации таксономического метода выделено шесть относительно однородных классов (ЛДК), объединивших территориально разобщенные ОТЕ. На рис. 2.14 представлены средние значения коэффициентов вариации по 16 показателям по участку дороги протяженностью 28 км, среднее значение по шести сформированным таксонам, средние зна-
62
чения по каждому из шести таксонов. Наибольший разброс данных при включении в таксоны наблюдался по показателям средней температуры на глубине 4 м.
Таблица 2.5
Значения показателей, характеризующих инженерно-геологические условия на трассе участка автомобильной дороги «Лена»
|
|
Значение показателя |
|
||||
|
|
|
|
ЛДК № 2, 4,5 км (объе- |
|||
Показатель, ед.изм. |
Участок дороги, |
динение ОТЕ по степе- |
|||||
|
28 км |
|
ни однородности пока- |
||||
|
|
|
|||||
|
|
|
|
|
зателей) |
|
|
|
µ |
σ |
v |
µ |
σ |
v |
|
Данные по сезоннопромерзающему массиву |
|
|
|||||
Состояние связных грунтов, балл |
0,81 |
0,910 |
1,198 |
0 |
0 |
0 |
|
Состояние несвязных грунтов, |
0,51 |
0,837 |
1,631 |
1,67 |
0,580 |
0,346 |
|
балл |
|||||||
|
|
|
|
|
|
||
Плотность грунта, г/см3 |
2,10 |
0,252 |
0,120 |
1,76 |
0,064 |
0,036 |
|
Модуль деформации, МПа |
43,68 |
16,627 |
0,381 |
36,66 |
5,756 |
0,157 |
|
Степень пучинистости, балл |
2,05 |
1,332 |
0,649 |
1 |
0 |
0 |
|
Глубина сезонного промерзания |
3,12 |
0,362 |
0,116 |
3,40 |
0,238 |
0,070 |
|
грунтов, м |
|||||||
|
|
|
|
|
|
||
Уровень грунтовых вод , м |
2,34 |
2,651 |
1,135 |
2,40 |
1,082 |
0,451 |
|
Данные по массиву многолетнемерзлых грунтов |
|
|
|||||
ВГММГ, м |
5,65 |
3,987 |
0,705 |
2,70 |
0,886 |
0,328 |
|
Температура на глубине 4 м, °С |
-0,53 |
-0,605 |
1,136 |
-0,80 |
-0,500 |
0,625 |
|
Состояние связных грунтов, балл |
0,49 |
1,387 |
2,851 |
2,60 |
0,736 |
0,283 |
|
Состояние несвязных грунтов, |
0,24 |
0,596 |
2,452 |
0 |
0 |
0 |
|
балл |
|||||||
|
|
|
|
|
|
||
Льдистость ММГ, балл |
0,81 |
0,967 |
1,193 |
1,25 |
0,225 |
0,180 |
|
Плотность грунта, г/см3 |
2,18 |
0,309 |
0,142 |
1,83 |
0,029 |
0,016 |
|
Модуль деформации, МПа |
40,56 |
26,874 |
0,663 |
45.50 |
2,138 |
0,047 |
|
Общие характеристики |
рельефа |
|
|
|
|||
Глубина расчленения, м |
12,28 |
17,116 |
1,393 |
26,57 |
7,386 |
0,278 |
|
Ритм рельефа, км |
0,40 |
0,224 |
0,564 |
0,45 |
0,112 |
0,248 |
|
Среднее значение коэффициен- |
− |
− |
1,016 |
− |
− |
0,191 |
|
та вариаций |
|||||||
|
|
|
|
|
|
||
Примечание. µ, σ,. v – соответственно математическое ожидание, среднеквадратическое отклонение, коэффициент вариаций по показателям. Состояние связных, несвязных грунтов по влажности и мерзлых грунтов по льдистости оценивалось в баллах по дискретной шкале (см. табл. 2.2).
63
ЛДК
Рис. 2.14. Коэффициенты вариаций показателей инженерно-геологических изысканий по участку трассы дороги «Лена»:
1 − общее значение по участку; 2 − среднее по выделенным ЛДК; 3-8 – значения по каждому из шести ЛДК
Средний коэффициент вариаций по показателям дороги составил 1,02, по сформированным ЛДК изменяется от 0,19 до 0,4, среднее значе-
ние по ЛДК − 0,3. То есть средний коэффициент вариаций, характеризующий однородность показателей на участках ЛДК, снизился более чем в 3 раза по сравнению со средним значением на дороге.
Примеры линейного дорожного районирования на объектах в I ДКЗ, приведенные в данном подразделе и в прил. 1, свидетельствуют о том, что в процессе моделирования исходные данные не искажаются, а только упорядочиваются определенным образом, при создании классов (таксонов) однородных по совокупности показателей.
Адекватность моделей инженерного районирования оценивается по следующим направлениям:
−оценка качества разбиения на классы в процессе моделирования;
−оценка степени однородности показателей районирования на
ЛДК;
−верификация модели районирования с точки зрения повторяемости для разных условий и объектов районирования;
−сопоставление значений показателей, характеризующих геокриологические условия на трассе дороги по результатам изысканий, с соответствующими значениями показателей, полученных в результате моделирования при районировании трассы дороги.
Рассмотрим каждое из этих направлений применительно к предложенной методике линейного дорожного районирования.
64