Материал: 2218

Внимание! Если размещение файла нарушает Ваши авторские права, то обязательно сообщите нам

где ε b1,red =28 10-4 при продолжительном действии нагрузки при

относительной влажности воздуха окружающей среды 75 % ≥ W ≥ 40% (табл.6

[4])

( ) , = = 35.98 кН м

=

СибАДИ

Р(2)

– усилие предварительного обжатия с учетом всех потерь, Р(2)

= 231,42

кН.

 

 

 

 

 

 

 

 

 

 

 

 

 

 

 

Определяем вел ч ны, необходимые для нахождения ϕс:

 

 

 

 

 

( −

)

′ (146 − 45.9) 3.85

 

 

 

 

 

=

 

 

 

 

=

 

 

45.9 19

= 0.442,

 

 

 

 

 

 

=

 

 

 

=

 

6.09

= 0.00698

 

 

 

 

 

 

 

 

45.9 19

 

Коэфф ц ент пр ведения арматуры к бетону

 

 

 

=

,

(117[4]),

 

,

 

=

 

(118[4]),

=

,

 

,

 

 

 

Приведенный модуль деформаций сжатого бетона

36

, = ,

,

=

15

= 5357 МПа = 535.7

кН

28 10

см

=

2 10

= 37.33;

= 0.26, =

3598

= 15.55см;

 

=

15.55

0.2 5357

231.42

 

19

= 0.818

Теперь по табл. 4.5 [6] или по таблице Приложения 15 путем интерполяции

СибАДИ

находим ϕс = 0,572.

 

 

 

 

 

 

 

 

1

 

Определяем кривизну, имея все данные:

 

 

 

1

3598

 

 

 

 

 

 

 

 

 

 

 

=

0.572 45.9 19 535.7

= 3.73 10

см

 

 

 

 

 

5

 

1

 

 

 

 

 

5

=

48

 

 

 

;

= 2.845 см

Услов е 97

= 48

3.73 10 569

= 1.26 <

[4] удовлетворяется, т.е. жесткость плиты достаточна.

4. РАСЧЕТ И КОНСТРУИРОВ НИЕ ОДНОПРОЛЕТНОГО РИГЕЛЯ

Для опирания пустотных панелей принимается сечение ригеля высотой hb=45 см или hb=60 см, для опирания ребристых панелей принимается сечение

ригеля высотой hb = 60 см. Ригели могут выполняться обычными или предварительно напряженными. Высота сечения обычного ригеля hb=(1/15…1/10)lb.

4.1. Исходные данные

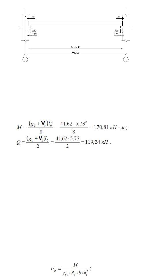
Нормативные и расчетные нагрузки на 1 м2 перекрытия принимаются те же, что при расчете панели перекрытия. Ригель шарнирно оперт на консоли колонны, hb = 45 см. Расчетный пролет (рис. 6)

l0 = lb b – 2×20 – 130 = 6300 – 400 – 40 – 130 = 5730 мм = 5,73 м

где lb – пролет ригеля в осях; b – размер колонны;

20 – зазор между колонной и торцом ригеля;

130 – размер площадки опирания.

Расчетная нагрузка на 1 м длины ригеля определяется с грузовой полосы, равной шагу рам, в данном случае шаг рам 6 м. (табл. 1)

Постоянная (g):

- от перекрытия с учетом коэффициента надежности по ответственности здания γп = 0,95:

37

- от перекрытия с учетом коэффициента надежности по ответственности здания γп = 0,95:

gfl =g·ln·γn= 4,7·6·0,95 = 26,8 кН/м,

где ln –шаг рам - от веса ригеля:

gbn = (0,2·0,45 + 0,2·0,25) ·2500·10-2 = 3,5 кН/м,

где 2500 кг/м3 – плотность железобетона. С учетом коэффициента надежно-

СибАДИ

сти по нагрузке γf = 1,1 и по ответственности здания γп = 0,95,

 

gb = 3,5·1,1·0,95 = 3,66 кН/м ≈ 3,7 кН/м.

Итого постоянная нагрузка погонная, т.е. с грузовой полосы, равной шагу

рам:

g1= gfl + gb = 26,8 + 3,7 = 30,5 кН/м;

Временная нагрузка (V1) с учетом коэффициента надежности по ответственности здан я γп = 0,95 и коэффициента сочетания (см. табл.1)

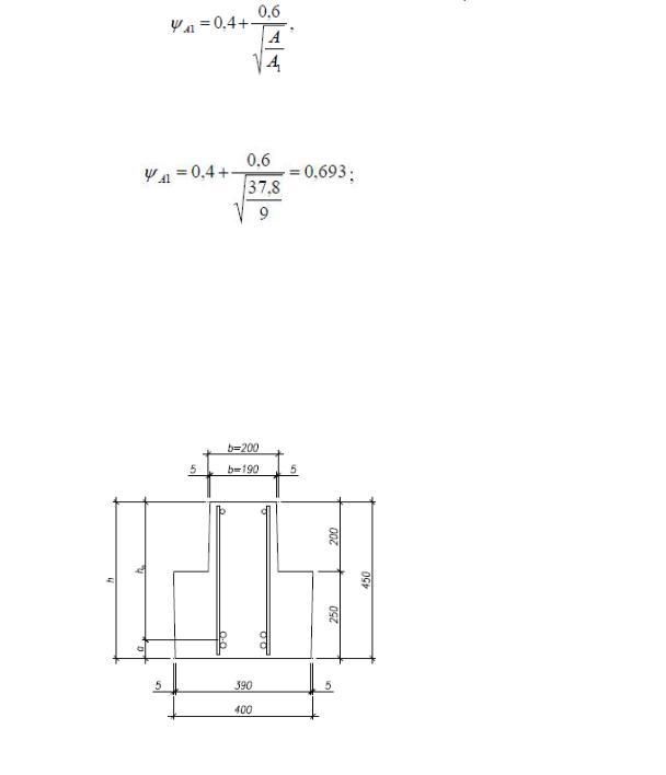
где 1 = 9 м2 для помещений, указанных с поз. 1, 2, 12 [1]; А – грузовая площадь ригеля; = 6,0×6,3 = 37,8 м2;

На коэффициент сочетания умножается нагрузка без учета перегородок:

V1=(Vp+ A1 ψ·V0) · γn·ln

V1= (0,6+0,693·1,95)·0,95·6,0 = 11,12 кН/м.

Полная погонная нагрузка:

g1 + V1 = 30,5 + 11,12 = 41,62 кН/м.

38

СибАДИР с.6. Расчетный пролет ригеля

4.2. Определение усилий в ригеле

Расчетная схема р геля – однопролетная шарнирно опертая балка пролетом l0. Выч сляем значение максимального изгибающего момента М и

максимальной поперечной силы Q от полной расчетной нагрузки:

Рис.7. Расчетное сечение ригеля

Характеристики прочности бетона и арматуры:

- бетон тяжелый класса В30, расчетное сопротивление при сжатии Rb = 17,0 МПа, при растяжении Rbt = 1,15 МПа (табл. 5.2 [3], приложение 4), γb1 = 0,9

(табл. 5.1.10 [3]); - арматура продольная рабочая класса А500С диаметром 10-40 мм, расчетное

сопротивление Rs = 435 МПа=43,5 кН/см2, поперечная рабочая арматура класса 400 диаметром 6-8 мм, Rsw = 285 МПа=28,5 кН/см2 (табл. 5.8 [3]).

4.3. Расчет ригеля по прочности нормальных сечений при действии изгибающего момента

Определяем высоту сжатой зоны х = ξ· h0, где h0 – рабочая высота сечения ригеля;

ξ – относительная высота сжатой зоны, определяемая в зависимости от αт. h0 = (hb – 5) = 40 см,

39

М = 170,81 кН·м = 17081 кН·см; Rb = 17 МПа = 1,7 кН/см2;

b – ширина сечения ригеля, b = 20 см.

СибАДИвысота сжатой зоны х = ξ·h0 = 0,45·40 = 18 см.

Гран ца сжатой зоны проходит в узкой части сечения ригеля,

следовательно, расчет ведем как для прямоугольного сечения.

Расчет по прочности нормальных сечений производится в зависимости от

соотношен я относ тельной высоты сжатой зоны бетона граничной

относительной высоты ξR, при которой предельное состояние элемента наступает по сжатой зоне бетона одновременно с достижением в растянутой арматуре напряжен я, равного расчетному сопротивлению Rs.

Значен е ξR определяется по формуле:

где εs,el – относительная деформация растянутой арматуры при напряжениях,

равных Rs;

εs,el = Rs / Еs, ε , Rs = 435 МПа, Еs = 2·105 МПа;

εs,ult – относительная деформация сжатого бетона при напряжениях, равных

Rb, принимаемая равной 0,0035 (п. 6.2.7 [3])

значение ξR можно определить по табл. 3.2 [5] или по Приложению 11, т.к. ξ < ξR, площадь сечения растянутой арматуры определяется по формуле:

Если ξ > ξR, следует увеличить сечение ригеля или повысить класс бетона, или запроектировать в сжатой зоне сжатую рабочую арматуру с площадью

А's.

40