= |
2 |
|
− |
, |
|
+ +10 = |
2(119.24 − 30 2.26) |
+8.5+10+1.2 |
||||||
. |
|
|
|
= 56.2см |
|
|
|
|
|
2.88 |
|
|
||
|
что не |
|
|
|
|
|
|
|
|
|
||||
|
|
|
|
меньше базовой (основной) длины анкеровки, равной: |
||||||||||
|
l0,an |
|
R |
|
435 |
45, 4см , |
|
|
||||||
|
|
|
|
|
|
|
|
|||||||
|
|
|
|
|
|
|
|
|
|
|
|
|||
|
|
|
|
|
|
1,131 2,875 |
|
|
||||||
|
|
|
s As |
|
|
|
|
|
||||||
СибАДИ |
||||||||||||||
|
|
|
Rbondus |
3,77 |
|
|
|
|
|
|
|
|
||
|
г |
Rbond − расчётное сопротивление сцепления арматуры с бетоном: |
||||||||||||
де |
|
|
|
|
|
|
|
|
|
|
|
|||
|
|
Rbond |
R |
2,5 1, 0 1,15 2,875МПа. |
|
|
||||||||
|
|
|
|
|
|
1 |
2 |
|
bt |
|
|
|
|
|
|
Выясн м |
нео ход мость устройства |
анкеров |
для нижнего ряда |
||||||||||
продольной арматуры р геля. Для этого выполним расчёт по прочности |
||||||||||||||
наклонного сечен я, |
расположенного вне |
подрезки |
начинающегося на |
|||||||||||
расстоян |
|
|
|
|
|
|
|
|
|
|
|
|||
|
h0 h01 42 27 15 см от торца ригеля, на действие изгибающего момента; |
|||||||||||||
тогда расстоян |
е от конца анкеруемого стержня до рассматриваемого сечения |
|||||||||||||
ls 15 1 14 см .
При пересечении наклонного сечения с продольной растянутой арматурой, не имеющей анкеров в пределах зоны анкеровки, усилие в этой арматуре Ns
определяется по формуле [5]:
lan − длина зоны анкеровки арматуры, lan ands 37,8 2 75, 6 см, равная
− коэффициент, учитывающий влияние поперечного обжатия бетона в зоне анкеровки арматуры и при отсутствии обжатия принимаемый равным
1,0.
Учитывая, что в пределах длины ls =14 см к стержням нижнего ряда продольнойарматуры приварены 2 вертикальных и 1 горизонтальный стержень Ø8 А400,
увеличим усилие, найденное по формуле (7), на величину:
46
здесь w − коэффициент, зависящий от диаметра хомутов dsw и принимаемый по таблице Приложения 17.
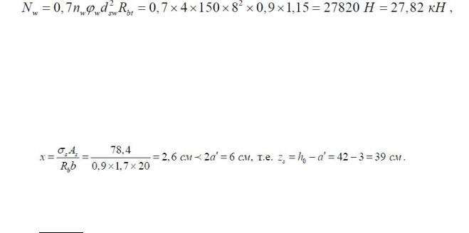
Тогда s As Ns Nw 50, 6 27,8 78, 4 кН .
Определим высоту сжатой зоны бетоны (без учёта сжатой арматуры):
Сs,ибi АДИ |
|||
Невыгоднейшее значение «с» равно: |
|
||
|
119.24 |
|
|
= |
+ |
= 2.88+0.416 = 36.2см < −( − |
) = 56.2 −(42.7 − 27) |
|
|
= 41.2 см |
|
т.е. при таком значении «с» наклонное сечение пересекает продольную арматуру короткой консоли. Принимаем конец наклонного сечения в конце
указанной арматуры, т.е. на расстоянии w0 |
=56,2 см от подрезки, при этом |
||||
= 41,2см |
Расчётный момент M в сечении, проходящем через конец |
||||
наклонного сечения, равен: |
+ |
) |
|
||
= ( |
+ ) − 0.5 ( |
|
|||
|
|
= 119.24(8.5+56.2) −0.5 0.416 (85.5+56.2) |
|||
Проверяем |
= 6844.1кН см = 68.44кН м |
||||
|
|
условие (6): |
+0.5 |
|
= 78.4 39+0.5 2.88 41.2 |
= 68.44кН м > |
|
||||
Поскольку |
= 5501.9кН см = 55,02кН |
||||
|
|
условие прочности |
по |
рассматриваемому наклонному |
|
сечению не соблюдается, необходимы дополнительные мероприятия по анкеровке концов стержней нижнего ряда продольной арматуры ригеля или устройство отгибов у входящего угла подрезки. Примем два отгиба из
стержней Ø12 |
500С сечением |
||
A |
2, 26 см2 , что позволяет создать дополнительный момент в |
||
|
наклонном сечении, равный: |
||
Ms,inc = RswAs,inczs,inc =30*2,26*0,553=37,5 кН *м, где |
|||
0.707 |
, = |
cos0+( − )sin0 = 39 0.707+41.2 |
|
1= 56.7, т.смк. |
, здесь |
||
a |
0 |
начало рассматриваемого наклонного сечения и начало отгиба в |
|
растянутой зоне практически совпадают. Проверка условия (6) даёт:
47
= 68.44кН м < |
+0.5 |
+ |
, , = 55.02+37.5 |
= 92.5кН м |
|
|
|
Таким образом, установка отгибов позволяет обеспечить соблюдение условия прочности по наклонному сечению вне подрезки.
4.5. Построение эпюры материалов
СибАДИИзгибающий момент, воспринимаемый сечением ригеля, определяется из условия равновесия:
Продольная рабочая арматура в пролете 2Ø20 А500С и 2Ø22 А500С. Площадь этой арматуры Аs определена из расчета на действие максимального изгибающего момента в середине пролета. В целях экономии арматуры по
мере уменьшен я зг бающего момента к опорам два стержня обрываются в пролете, а два друг х доводятся до опор. Если продольная рабочая арматура разного д аметра, то до опор доводятся два стержня большего диаметра.
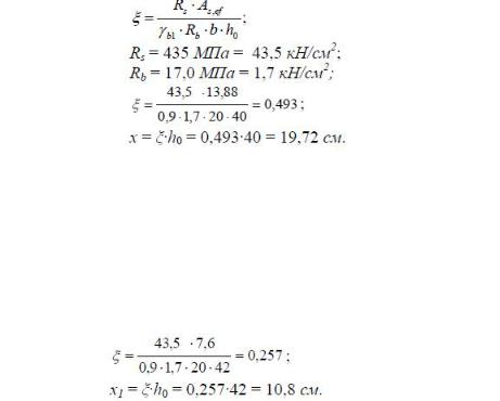
Площадь рабочей арматуры Аs,ef = 13,88 см2. Определяем изгибающий момент, восприн маемый сечен ем ригеля с полной запроектированной арматурой
2Ø20 А500С 2Ø22 А500С (Аs = 13,88 см2).
Из услов я равновес |
я: |
Rs·As = b1 Rb·b·x, |
где х = ξ·h0; |
М = Rs·As(h0 –0,5х);
М(2Ø20+2Ø22)= 43,5·13,88·(40 – 0,5·19,72) = 18197,9 кН·см = 182кН·м
182 кН·м > 170,81 кН·м, то есть больше действующего изгибающего момента от полной нагрузки, это значит, что прочность сечения обеспечена.
До опоры доводятся 2Ø22 500С, h0 = 45 – 3 = 42 см (см. рис. 9), As=7,6 см2.
Определяем изгибающий момент, воспринимаемый сечением ригеля с рабочей арматурой в виде двух стержней, доводимых до опоры
М(2Ø22) = Rs·As(2Ø22) (h0 –0,5х1);
М(2Ø22) = 43,5·7,6·(42 – 0,5·10,8) = 12099,96 кН·см = 121 кН·м.
Откладываем в масштабе на эпюре моментов полученные значения изгибающих моментов М(2Ø20+2 Ø22) и М(2Ø22) и определяем место
48
теоретического обрыва рабочей арматуры – это точки пересечения эпюры моментов с горизонтальной линией, соответствующей изгибающему моменту, воспринимаемому сечением ригеля с рабочей арматурой в виде двух стержней
М(2Ø22) (рис. 10).
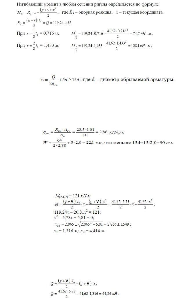
Эпюра моментов для этого должна быть построена точно с определением значений изгибающих моментов в 1/8, в 2/8 и в 3/8 пролета.
СибАДИРис. 9. Расчетное сечение ригеля в месте обрыва арматуры
Рис. 10. Эпюра материалов
49
СДлинаибанкеровки обрываемыхАДИстержней определяется по следующей зависимости:
Поперечная с ла Q определяется графически в месте теоретического обрыва, в данном случае Q = 64 кН.
Поперечные стержни Ø8 А400 Rsw = 285 МПа с Аsw = 1,01 см2 в месте теорет ческого о рыва имеют шаг 10 см;
Принимаем W = 30 см.
Место теоретического обрыва арматуры можно определить аналитически. Для этого общее выражение для изгибающего момента нужно приравнять моменту, воспринимаемому сечением ригеля с арматурой 2Ø22 500
Это точки теоретического обрыва арматуры. |
|
|
Длина обрываемого стержня будет равна |
4,414 – 1,316 + 2·0,3 = |
|
3,693 м. |
|
|
Принимаем длину обрываемого стержня 3,7 м. |
|
|
Определяем аналитически величину поперечной силы в месте |
||
теоретического обрыва арматуры |
х = 1,321 м. |
|
50