Материал: 2218

Внимание! Если размещение файла нарушает Ваши авторские права, то обязательно сообщите нам

6.3. Определение высоты фундамента

Рабочая высота фундамента из условия продавливания

СибАДИПолная высота фундамента устанавливается из условий:

1) продавл ван я Hf =(h0+0,05)= 0,485 + 0,05 = 0,535 м; 2) заделки колонны в фундаменте:

Hf = 1,5hcol + 0,25(м) = 1,5·0,4 + 0,25 = 0,85 м;

3) анкеровки сжатой арматуры колонны

Hf = han + 0,25(м).

Базовая дл на анкеровки, нео ходимая для передачи усилия в арматуре с полным расчетным сопротивлением Rs на бетон, определяется по формуле [3]:

где As и Us – соответственно площадь поперечного сечения анкеруемого стержня арматуры и периметр его сечения (в нашем случае для арматуры Ø20),

As =3,142см2; Us = πd = 3,14·2,0 = 6,28см);

Rbond – расчетное сопротивление сцепления арматуры с бетоном, принимаемое равномерно распределенным по длине анкеровки

Rbond = γb1·η1·η2·Rbt,

где η1 – коэффициент, учитывающий влияние вида поверхности арматуры. Для горячекатаной арматуры периодического профиля η1 = 2,5;

η2 - коэффициент, учитывающий влияние размера диаметра арматуры, принимаемый равным:

1,0 – при диаметре продольной арматуры ds≤32мм; 0,9 – при ds = 36 мм ds = 40 мм.

Rbond = 0,9·2,5·1·1,05 = 2,36 МПа

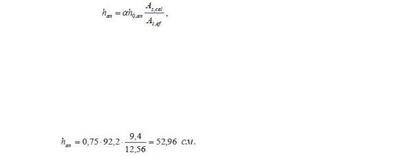
Требуемая расчетная длина анкеровки арматуры с учетом конструктивного

56

решения элемента в зоне анкеровки определяется по формуле [3]:

где As,cаl и As,ef – площади поперечного сечения арматуры, соответственно требуемая по расчету и фактически установленная (для нашего случая As,cаl = 9,4 см2; As,ef = 12,56 см2);

α – коэффициент, учитывающий влияние на длину анкеровки

СибАДИ

напряженного состояния бетона и арматуры.

Для

сжатых

стержней

период ческого проф ля α = 0,75. Тогда:

 

 

 

Кроме того, согласно тре ованиям [3], фактическую длину анкеровки

необход мо пр н мать han ≥ 0,3 h0,an = 0,3·92,2 = 27,66 см;

 

 

han ≥ 15ds= 15·2,0 = 30см;

han ≥ 20см.

Из четырех вел ч н принимаем максимальную длину анкеровки, т.е.

han = 52,96см.

 

 

 

Следовательно, з условия анкеровки арматуры

 

 

 

Hf = 52,96 + 25 = 77,96 см.

 

 

 

Принимаем трехступенчатый фундамент общей высотой 90 см

с

высотой ступеней 30 см. При этом ширина первой

ступени а1 = 1,1 м, а

второй а2 = 1,8 м.

 

 

 

Проверяем, отвечает ли рабочая высота нижней ступени

 

h03 = 30 – 5 = 25 см условию прочности при действии поперечной силы

без поперечного армирования в наклонном сечении.

ля единицы ширины

этого сечения (b = 100 см) должно выполняться условие:

Q = pl Qb,min = 0,5γb1Rbth03b.

Поперечная сила от давления грунта:

Q = pl = 0,5(а - a2 - 2 h03)р,

где а - размер подошвы фундамента; h03 = 30– 5 = 25 см;

р – давление на грунт от расчетной нагрузки (на единицу длины).

Q = 0,5(2,7 – 1,8 - 2·0,25) ·328,1 = 65,62 кН;

Q = 65,62 кН < Qb,min = 0,5·0,9·1,05·103·0,25·1,0 = 118,13 кН – прочность обеспечена.

57

6.4.Расчет на продавливание

Проверяем нижнюю ступень фундамента на прочность против продавливания. Расчет элементов без поперечной арматуры на продавливание при действии сосредоточенной силы производится из условия (6.97 [3]):

F γb1RbtAb ,

где F − продавливающая сила, принимаемая равной продольной силе в СибАДИколонне подвального этажа на уровне обреза фундамента за вычетом нагрузки,

создаваемой реакт вным отпором грунта, приложенным к подошве фундамента в пределах площади с размерами, превышающими размер площадки оп ран я (в случае второй ступени фундамента

a2 a2 1,8 1,8 м ) на величину h0 во всех направлениях; Ab – площадь расчетного поперечного сечения, расположенного на расстоянии 0,5 h0 от границы площади пр ложения силы N с рабочей высотой сечения h0. В нашем случае h0 = h03 = 0,25 м.

Площадь Ab определяется по формуле:

Ab = U·h03,

где U – пер метр контура расчетного сечения (см. рис.12,а);

U = (а2 + 2·0,5h03) ·4 = (1,8 + 2·0,5·0,25) ·4 = 8,2 м.

Площадь расчётного поперечного сечения Ab = 8,2·0,26 = 2,05 м2. Продавливающая сила равна:

F=N-p·A1,

здесь p =316,3 кН/м2, − реактивный отпор грунта,

A1 − площадь основания продавливаемого фрагмента нижней ступени фундамента в пределах контура расчётного поперечного сечения, равная:

A1=(a2+2·0,5·h03)2=(1,8+2·0,5·0,25)2=4,2 м2.

= 2391.6 − 328.1 4.2 = 1013.58кН

Проверка условия (6.97) [3] показывает:

F=1013,58 кН < 0,9·1,05·103·2,05=1937,3 кН,

т.е. прочность нижней ступени фундамента против продавливания обеспечена.

При невыполнении этого условия, прочность при продавливании нижней ступени не будет обеспечена. В этом случае можно принять двухступенчатый фундамент с высотой ступеней по 45 см и шириной верхней ступени

a1= 1,6м (см.рис.12,б).

58

СибАДИРис. 12. К расчету фундамента на прдавливание.

1 – расчетное поперечное сечение; 2 – контур площадки приложения нагрузки

59

6.5. Определение площади арматуры подошвы фундамента

Подбор арматуры производим в 3-х вертикальных сечениях фундамента, что позволяет учесть изменение параметров его расчётной схемы, в качестве которой принимается консольная балка, загруженная действующим снизу вверх равномерно распределенным реактивным отпором грунта. Для рассматриваемых сечений вылет и высота сечения консоли будут разными,

СпоэтомуивыявитьбАДИнаиболее опасное сечение можно только после определения требуемой площади арматуры в каждом из них

(см. р с.13).

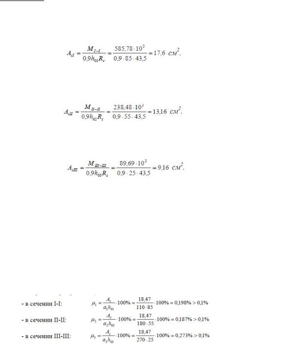
ечен е I-I

МI-I = 0,125р· (а hcol)2· a = 0,125·328,1·(2,7 – 0,4)2·2,7 = 585,78кН·м

Площадь сечен я арматуры определяем по формуле:

Сечен е II-II

МII-II = 0,125р·(а а1)2·а = 0,125·328,1·(2,7 – 1,1)2·2,7 = 283,48 кН·м

Сечение III-III

МIII-III= 0,125р·(а а2)2·а = 0,125·328,1·(2,7 – 1,8)2·2,7 = 89,69 кН·м

Из трёх найденных значений подбор арматуры производим по максимальному значению, т.е. As,max = 17,6 см2.

Шаг стержней принимается от 150 мм до 300 мм (кратно 50 мм). При ширине подошвы фундамента а ≤ 3 м минимальный диаметр стержней

dmin = 10мм, при а >3 м dmin = 12мм.

Принимаем нестандартную сварную сетку с одинаковой в обоих направлениях арматурой из стержней Ø14 500 с шагом 250 мм.

Имеем 12Ø14 А500 сAs = 18,47 см2 > AsI =As,max 17,6см2.

Процент армирования μ:

60