Для свободно опертой балки максимальный прогиб определяют по
формуле: |
|
|||
|
|
|
(100[4]) |
|
где S – коэффициент, зависящий= |
||||
от расчетной схемы и вида нагрузки; |
||||
при действии равномерно распределенной нагрузки S = 5/48; при двух равных моментах по концам балки от силы обжатия – S = 1/8.
Сибгде М – изгибающий моментАДот внешней нагрузкиИили момент усилия предварительного обжатия относительно оси, проходящей через центр тяжести
– полная кривизна в сечении с наибольшим изгибающим
моментов от нагрузки, при которой определяется прогиб.
Полную кр в зну изгибаемых элементов определяют для участков без
трещин
в растянутой зоне по формуле: |
|
|
|
|
|
|
||||||||
|
|
|
1 |
= |
1 |
+ |
1 |
+ |
|
1 |
||||
Где |
|
– кр в зна от непродолжительного действия кратковременных |
||||||||||||
|
||||||||||||||
нагрузок; |
|
|
|
|
|
|
|
|
|
|
|
|
|
|
|
|
|
– кривизна от продолжительного действия постоянных |
|||||||||||
|
|
|
||||||||||||
длительных нагрузок |
|
|
|
|
|
|
||||||||
|
|
|
– кривизна от непродолжительного действия усилия |
|||||||||||
|
|
|
||||||||||||
предварительного обжатия P(1), вычисленного с учётом только первых потерь |
||||||||||||||
т.е. при действии момента |
|
|
|
( |
) |
|
||||||||
|
|
|
|
|
|
|
|
|
|
|
|
|
||
Кривизну элемента на участке без |
трещин определяют по формуле: |
|||||||||||||
|
= |
|
|
|
||||||||||
|
|
|
|
1 |
= |
|
|
|
|
|
|
|
||
|
|
|
|
|
|
|
|
|
||||||
приведенного сечения;
Ired – момент инерции приведенного сечения;
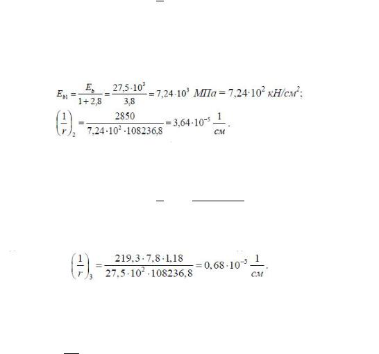
Eb1 – модуль деформации сжатого бетона, определяемый по формуле:
= 1+ ,
21
где φb,cr – коэффициент ползучести бетона, принимаемый:
− |
φb,cr = 0,18 − при непродолжительном действии нагрузки; |
||||
− |
по табл.5 [4] или по Приложению 16 в зависимости от класса |
||||
бетона на сжатие и относительной влажности воздуха окружающей |
|||||
среды − при продолжительном действии нагрузки; |
|
||||
− |
при непродолжительном действии нагрузки, Eb1=0,85Eb, (4.33 [6]) |
||||
СибАДИ |
|||||
Прог б определяется с учетом эстетико-психологических требований, |
|||||
т.е. от действ я только постоянных и временных длительных нагрузок [1]: |
|||||
|
1 |
= |
|
|
|
Mnl– зг ающ й момент от продолжительного |
действия постоянных и |
||||
длительных нагрузок, равный Мnl = 28,5 кН·м (см. п.2.2) |
|
||||
Кривизна от кратковременного выгиба при действии усилия |
|||||
предварительного обжатия |
|
( ) |
|
|
|
|
1 |
= |
|
|
|
Р(1) |
- усилие обжатия с учетом первых потерь; Р(1) = 219,3 кН; |
||||
В запас жёсткости плиты оценим её прогиб только от постоянной длительной нагрузок (без учёта выгиба от усилия предварительного обжатия):
= |
5 |
3.64 10 |
569 = 1.23см < 2.845 см |
|
48 |
||||
|
Допустимый прогиб f = (1/200)l = 569/200 = 2,845 см. |
|||
Кроме того, может быть учтена кривизна |
, обусловленная выгибом |
|||
элемента в следствие усадки и ползучести бетона в стадии изготовления от неравномерного обжатия по высоте сечения плиты.
22
Значение |
|
определяется по формуле: |
|
|||
|
|
|||||
|
1 |
|
(4.31[6]) |
|||
|
|
|
= |
|
||
|
|
|||||
σsb, sb σ ′ - значения, численно равные сумме потерь предварительного
напряжения арматуры от усадки и ползучести бетона соответственно для
арматуры растянутой зоны для арматуры, условно расположенной в уровне |
|||||
крайнего сжатого волокна бетона. |
|
||||
Напряжен е в уровне крайнего сжатого волокна: |
|||||
Р(2) |
= |
( ) |
− |
( ) |
( − ) |
– ус л е предвар тельного обжатия с учетом полных потерь; |
|||||
Р(2) |
= 178,98 кН; |
|
|||
Следовательно, в верхнем волокне в стадии предварительного обжатия |
|||||
возникает растяжение, поэтому σsb ′ принимается равным нулю: |
|||||
σsb ′=0.
Следует проверить, образуются ли в верхней зоне трещины в стадии |
|||||
СибАДИ |
|||||
предварительного обжатия: |
( |
,) − ( ) |
, − |
, |
(4.6[6]) |
= Ɣ |
|||||
где Wredsup – значение Wred , определяемое для растянутого от усилия обжатия P(1) волокна (верхнего);
rinf – расстояние от центра тяжести приведенного сечения до ядровой точки, наиболее удаленной от грани элемента, растянутой усилием P(1) ;
P(1) и eop1 – усилие обжатия с учетом первых потерь и его эксцентриситет относительно центра тяжести приведенного сечения;
bt,ser– значение Rbt,ser при классе бетона, численно равном передаточной 76прочности Rbр;
γ = 1,25 – для двутаврового симметричного сечения (табл. 4.1 [6]); rinf = 9664/1826,4 = 5,29 см; eop1 = 7,8 см; P(1) = (σsр - σsр(1)) ·Аs;
P(1) = (48 – 1,44) ·4,71 = 219,3 кН;
Wredsup = 9664 см3.
23
Передаточная прочность назначается не менее 15 МПа и не менее 50 % принятого класса бетона (п. 2.1.1.5 [4]). Тогда для 15 Rbp = МПа получаем:
R = 1,1 МПа = 0,11 кН/см2;
Mcrc = 1,25·9664·0,11 – 219,3(7,8 – 5,29) = 778,36 кН·см = 7,8 кН·м > 0.
ледовательно, трещины в верхней зоне в стадии предварительного
обжатия не образуются. В нижней зоне в стадии эксплуатации трещин также |
||||||||||||||||||||||||
Си5бА1 ДИ |
||||||||||||||||||||||||
нет. |
|
|
|
|
|
|
|
|
|
|
|
|
|
|
|
|
|
|
|
|
|
|
||
Для элементов без трещин сумма кривизн |
|
|
|
|
|
|
принимается не |
|||||||||||||||||
менее кр в зны от ус |
л |
я предварительного |
обжатия при продолжительном |
|||||||||||||||||||||
|
|
|
+ |
|
|
|
|
|
|
|||||||||||||||
его действ (см.п.4.2[6]) |
|
|
|
|
|
|
|
|
|
|
|
|
|
|
|
|
||||||||
При продолж тельном действии усилия предварительного обжатия: |
||||||||||||||||||||||||
|
|
|
|
|
|
27.5 10 |
|
|
|
|
|
|
|
|
|
кН |
||||||||
|
|
|
= |
1+2.8 |
= 7.24 10 МПа = 7.24 10 |
см |
|
|
||||||||||||||||
|
|
|
1 |
|
= |
|
178.98 7.8 |
= 1.78 10 |
1 |
|
|
|
||||||||||||
|
|
|
|
|
|
7.24 10 |
108236.8 |
см |
|
|
|
|||||||||||||
|
|
|
= |
|
|
|
+ |
|
; = 74.73МПа = 7,473 |
кН |
; |
|||||||||||||
|
|
|
|
|
|
|
см |
|||||||||||||||||
|
|
|
|
|
|
|
|
|
|
|
|
|
|
кН |
|
|
|
|
|
|
|
|||
|
|
|
|
|
|
1 |
|
|
|
= 2 10 |
см |
; |
|
|
1 |
|
|
|
|
|
|
|||
|
|
|
|
|
|
7.473 |
|
|
|
|
|
|
|
|
|
|
|
|||||||
1 |
1 |
|
|
|
= |
2 10 |
19 |
= 1.967 10 |
см |
; |
|
|
1 |
|||||||||||
|
|
|
|
|
||||||||||||||||||||
|
|
+ |
|
|
|
|
= 0.68 10 |
+1.967 10 = 2.65 10 |
|
см |
||||||||||||||
|
|
|
|
|
|
|||||||||||||||||||
Это значение больше, чем кривизна от усилия предварительного обжатия при продолжительном его действии (1,78·10-51/см).
Таким образом, прогиб плиты с учётом выгиба (в том числе его приращения от неравномерной усадки ползучести бетона в стадии изготовления вследствие неравномерного обжатия сечения по высоте) будет равен:
= 48 3.64 10 − 8 2.65 10 569 = 0.155 м
24
3. ВАРИАНТ РАСЧЕТА МНОГОПУСТОТНОЙ ПРЕДВАРИТЕЛЬНО НАПРЯЖЕННОЙ ПЛИТЫ ПЕРЕКРЫТИЯ ПРИ
ДЕЙСТВИИ ВРЕМЕННОЙ НАГРУЗКИ, РАВНОЙ 4,5 кН/м2
3.1. Исходные данные
Постоянная нагрузка та же, что при расчете плиты перекрытия на действие
СибАДИ |
||||||
нагрузки V=1,5 кН/м2 (см. п. 2.1). |
|
|
|
|
||
|
Нагрузки на 1м2 перекрытия |
|
|
|
|
|
|
|
Табл ца 3 |
|
|
|
|
|
|
В д нагрузки |
Нормативная |
Коэф-т |
|
Расчетная |
|
|
|
нагрузка, |
надежности |
|
нагрузка, |
|
|
|
кН/м2 |
по нагрузке |
|
кН/м2 |
|
|
|
|
γf |
|
|
|
|
1 |
2 |
3 |
|
4 |
|
|
Постоянная нагрузка g |
4,14 |
|
|
4,7 |
|
Временная: Перегородки, δ = |
|
|
|
|
|
|
120 мм (пр веденная нагрузка, |
0,5 |
1,2 |
|
0,6 |
|
|
длительная) Vp |
4,5 |
1,2 |
|
5,4 |
|
|
Полезная (из задания)в том |
|
||||
|
числе: |
|
|
|
|
|
|
|
кратковременнаяVsh |
2,9 |
1,2 |
|
3,48 |
|
|
длительная Vlon |
1,6 |
1,2 |
|
1,92 |
|
Итого временная нагрузка V |
5,0 |
|
|
6,0 |
|
|
Временная нагрузка без учета |
4,5 |
|
|
5,4 |
|
|
|
перегородок V0 |
|
|
||
|
|
|
|
|
|
|
|
|
Полная нагрузка g + V |
9,14 |
|
|
10,7 |
|
Нагрузка на 1 погонный метр длины плиты при номинальной ее |
|||||
ширине1,5м: |
|
|
|
|
||
- |
расчетная постоянная g = 4,7·1,5·0,95 = 6,7 кН/м; |
|
||||
|
- расчетная полная (g + V) = 10,7·1,5·0,95 = 15,25 кН/м; |
|
||||
- |
нормативная постоянная gп = 4,14·1,5·0,95 = 5,9кН/м; |
|
||||
|
- нормативная полная (gп + V п) = 9,14·1,5·0,95 = 13,02 кН/м; |
|
||||
- |
нормативная постоянная и длительная |
|
|
|
||
|
|
(gп + V lon,п) = (4,14 + 2,1) ·1,5·0,95 = 8,89 кН/м. |
|
|||
25