Материал: 2187

Внимание! Если размещение файла нарушает Ваши авторские права, то обязательно сообщите нам

§ 10. Схема исследования функции и построения графика

хема исследования функции и построения графика:

1.

Найти область определения функции.

2.

Выяснить, является ли функция чётной, нечётной или общего

С

 

 

 

 

 

 

 

вида.

 

 

 

 

 

 

 

 

 

3.

Найти точки пересечения графика с осями координат.

4.

Найти ас мптоты графика функции (вертикальные, горизон-

тальные, наклонные).

 

 

 

 

 

Найти

 

 

 

5.

 

первую производную функции. Определить интервалы

возрастан я, убыван я, точки экстремума функции.

6.

 

вторую производную функции. Определить интервалы

выпуклости (вогнутости) и точки перегиба графика функции.

7.

На основан

 

 

проведённого исследования выбрать масштаб,

постро ть граф к функции.

 

 

 

 

 

Четность и нечетность функции

Функция

y f (x) называется четной, если y ( x) y x . Гра-

фик четной функции симметричен относительно оси Oy.

Пример

 

 

 

 

1

 

 

Функции y x2 ;

y cos x; y

четные.

 

 

 

 

 

 

Д

 

 

 

 

 

 

x

2

 

 

ФункциябАy f (x) называется нечетной, если y ( x) y x .

График нечетной функции симметричен относительно начала коор-

динат.

 

 

 

 

 

 

 

 

 

Пример

 

 

 

1

 

 

Функции

y x

3

;

– нечетные.

 

y sin x; y

 

 

 

 

 

 

 

x

 

 

 

 

Асимптоты графика функции

Прямая x a

 

называется вертикальнойИасимптотой кривой

y f (x), если

lim

 

f (x) или

 

lim

f (x) .

 

 

x a 0

 

 

x a 0

Прямая x a может быть вертикальной асимптотой графика функции, только если при x a функция не определена.

161

Прямая

y =

kx+ b

является

наклонной асимптотой кривой

y f (x), если

 

 

 

 

 

 

k

lim

 

f (x)

0;

b

lim ( f (x) k x) 0.

 

 

 

x x

 

 

x

Замечание.

Функция y f (x)

может иметь разные правую и

левую наклонные ас мптоты.

 

 

Частным случаем наклонной асимптоты является горизонталь-

Сная ас мптота. Прямая y b является горизонтальной асимптотой,

k 0.

 

 

 

 

 

 

 

 

 

 

 

 

b lim

f x 0.

еслиx

 

 

Замечан я

 

 

 

 

 

 

1. Функц я y f (x)

может иметь разные правую и левую гори-

зонтальные асимптоты.

 

 

 

2. Функция

y f (x) не может иметь одновременно и наклон-

ную и горизонтальную правую (левую) асимптоты.

тервале (– , + ), поэтому вертикальных асимптот нет.

Пример

 

Найти асимптоты линии y = e x – x.

бА

Решение. Функция f (x) = ex – x определена, непрерывна на ин-

 

Дe

Найдем наклонные асимптоты, для этого вычислим пределы:

 

 

k lim

 

f (x)

= lim

(

x

– 1) = ,

 

 

 

 

 

 

 

x

x

 

 

x

x

 

 

 

ex

 

 

 

 

 

что при x правой

так как lim

 

= . Отсюда следует,

 

x

x

 

 

 

 

 

И

наклонной асимптоты нет.

 

 

 

 

 

Так как

lim ex x , то правой горизонтальной асимптоты

уфункции нет.

Ищем левые наклонные асимптоты:

162

k lim

 

f (x)

 

 

 

 

 

ex

 

 

 

 

 

 

 

 

ex

 

 

отсюда k = –1.

 

 

 

 

 

= lim

 

 

(

 

 

– 1) = –1, так как

lim

 

 

 

 

= 0,

 

 

 

x

 

 

 

 

x

x

x

 

 

 

 

x

 

 

 

 

 

 

x

 

 

 

 

 

 

 

Далее, b lim

 

 

(f(x) – k x) =

lim

(e x – x + x) = lim e x = 0, зна-

чит, b = 0.

 

 

x

 

 

 

 

 

 

 

 

 

x

 

 

 

 

 

 

 

x

 

 

 

 

 

 

 

 

 

y = – x

 

 

 

 

 

 

 

 

 

 

 

 

 

 

 

 

Итак,

прямая

 

 

 

 

есть левая

наклонная асимптота при

x для графика функции y = e x – x.

 

 

 

 

 

 

 

 

 

 

 

Левой гор зонтальной асимптоты нет, так как есть левая на-

клонная ас мптота.

 

 

 

 

 

 

 

 

 

 

 

 

 

 

 

 

 

 

 

 

 

 

 

 

 

 

 

меры

 

 

 

 

 

 

 

 

 

 

 

 

 

 

 

 

 

 

 

 

 

 

 

 

 

С

сследование

функции

и

построить ее

 

график:

1.

 

 

 

 

 

 

 

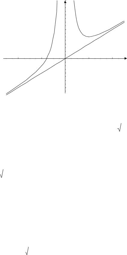
y x3 4.

 

 

 

 

 

 

 

 

 

 

 

 

 

 

 

 

 

 

 

 

 

 

 

 

 

 

 

 

x2

 

 

 

 

 

 

 

 

 

 

 

 

 

 

 

 

 

 

 

 

 

 

 

 

 

 

 

 

 

 

 

Решен

 

 

 

 

 

 

 

 

 

 

 

 

 

 

 

 

 

 

 

 

 

 

 

 

 

 

Провести1. Наход м ласть определения: х 0.

 

 

 

 

 

 

 

 

 

 

2.Исследуем на

четность.

f ( x)

x3

4

f (x),

следова-

x2

 

 

тельно, это функция о щего вида.

 

 

 

 

 

 

 

 

 

 

 

 

 

 

 

 

 

 

 

 

 

 

 

 

 

3. Находим точки пересечения графика функции с координат-

ными осями:

 

 

 

 

 

 

 

 

 

 

 

 

 

 

 

x3 4 0;

 

 

 

 

 

 

 

 

c осью Ох: y =

0,

 

поэтому

x 3

 

. Точка

 

 

 

 

4

(3

 

;0) точка пересечения графика с осью Ох;

 

 

 

 

4

 

 

 

 

 

 

 

 

бА

 

 

 

 

 

 

 

с осью Оу: x = 0;

y не существует.

 

 

 

 

 

 

 

 

 

 

4.

Находим асимптоты графика функции.

 

 

 

 

 

 

 

 

 

 

Сначала исследуем функцию на непрерывность. Функция опре-

делена и непрерывна при

всех

 

х 0. Точка х = 0 –

точка

 

разры-

ва 2-го

рода,

так как

 

 

 

 

 

 

Д

 

 

 

 

 

 

 

 

 

 

 

 

 

 

 

 

 

 

 

 

 

 

 

lim

y lim

 

x3 4

 

; lim y

lim

x3 4

.

 

 

 

 

 

 

x2

 

 

x2

 

 

 

x 0 0

x 0

 

 

 

x 0 0

x 0

 

 

 

 

 

 

Так как в точке

х=0

 

функция имеетИбесконечный разрыв, то

прямая х = 0 является вертикальной асимптотой.

 

 

 

 

 

 

 

 

Наклонные асимптоты ищем в виде y = kx + b.

 

 

 

 

 

 

 

 

k lim

 

 

f (x)

 

 

x3 4

 

 

 

 

4

 

 

 

 

 

 

 

 

 

 

 

 

 

 

 

lim

 

 

 

lim 1

 

 

 

1;

 

 

 

 

 

 

 

 

 

 

 

 

 

 

 

 

 

 

 

 

 

 

 

 

 

 

x x

x x3

x

 

 

x3

 

 

 

 

163

 

 

 

 

 

 

 

 

x3 4

 

 

 

 

4

 

 

 

 

 

 

 

 

b lim ( f (x) kx) lim

 

 

 

 

 

x

lim

 

 

0.

 

 

 

 

 

 

 

2

 

 

 

3

 

 

 

 

 

 

 

x

 

 

 

x

 

 

 

x x

 

 

 

 

 

 

 

 

 

 

 

 

x

 

 

 

 

 

 

 

 

 

 

 

Наклонная асимптота у = х.

 

 

 

 

 

 

 

 

 

 

 

 

 

 

 

С

интервалы монотонности функции и точки экстре-

 

5. Находим

 

мума с помощью первой производной. Исследование оформляем в

 

виде табл. 3.

 

 

 

 

 

 

 

 

 

 

 

 

 

 

 

8

 

 

 

при

 

 

 

 

 

 

 

 

 

 

 

 

Таблица 3

 

Определяем кр т ческие точки 1-го рода:

y

1 x3

; y = 0

 

 

 

х = 2; у = при х = 0.

 

 

 

 

 

 

 

 

 

 

 

 

 

 

 

 

 

 

Точка х = 0 не может ыть критической точкой функции, так как

 

 

 

 

бА

 

 

 

 

 

 

 

 

 

в этой точке функц я не определена. Точка x

2

– критическая точ-

 

ка 1-го рода.

 

 

 

 

 

 

 

 

 

 

 

 

 

 

 

 

 

 

 

 

 

х

 

 

 

(- ,0)

 

0

 

 

 

 

 

(0,2)

 

 

 

2

 

 

 

(2,+ )

 

 

 

y

 

 

 

+

 

 

 

 

 

 

 

 

 

 

0

 

 

 

+

 

 

 

y

 

 

 

Возрастает

 

Не

 

 

 

 

Убывает

 

 

 

3

 

 

 

Возрастает

 

 

 

 

 

 

 

 

 

существует

 

 

 

 

 

 

 

 

 

 

 

 

 

Итак, точка (2, 3) является точкой минимума. Экстремум функ-

 

ции ymin 3.

 

 

Д

 

 

 

 

 

 

 

 

 

 

 

 

 

 

 

 

 

 

 

 

 

6. Находим

интервалы

выпуклости и точки перегиба графика

 

функции с помощью второй производной.

И

 

 

 

24

 

 

 

 

 

 

 

 

 

 

 

 

 

 

 

 

 

 

 

 

 

 

 

y

x4 > 0 при любом х 0, следовательно,

функция

вогнутая

на всей области определения.

7. Построим график функции, начертив сначала наклонную асимптоту , отметив точку экстремума и точку пересечения с осью Ох

(рис. 51).

164

 

 

 

 

 

 

 

 

 

 

 

 

 

 

y

 

 

 

 

 

 

 

С

 

 

 

 

 

 

 

6

 

 

 

 

 

 

 

 

 

 

 

 

 

 

4

 

 

 

 

 

 

 

 

 

 

 

 

 

 

-2

 

 

 

 

 

 

 

и

2

 

 

 

 

 

 

 

 

 

 

 

 

-4

 

 

 

-2

 

 

 

0

 

 

2

 

4

x

 

 

 

 

 

 

 

 

 

 

 

 

 

 

 

 

 

бА

 

 

 

 

 

 

 

 

 

 

 

 

 

 

 

 

-4

 

 

 

 

 

 

 

 

 

 

 

 

 

 

 

 

 

 

 

 

 

Рис. 51

 

 

 

 

 

 

2. Провести полное исследование функции

y 3

6x2 x3

и по-

строить её график.

 

 

 

 

Д

Решение

 

 

 

 

 

 

 

 

 

1. Область определения функции

 

( ; ).

 

 

 

2.

 

Исследуем

 

функцию

на

четность,

нечетность:

 

 

 

 

 

 

 

 

 

f ( x) 3

6x2

x3

 

f (x), следовательно, это функция общего вида.

3. При x 0

 

 

 

 

 

 

 

 

 

 

И

 

находим, что y 0, то есть

О(0,0) – точка пересе-

чения с осью Oy;

 

при y 0 получаем,

что x 0 и

x 6. так, точки

О(0,0)

и M 6,0

)

– точки пересечения с осью Ox

.

 

 

 

 

(

 

 

 

 

 

 

 

 

 

 

 

 

 

 

 

 

4. Ищем асимптоты: вертикальных нет, так как у функции нет

точек разрыва.

 

 

 

 

 

 

 

 

 

 

 

 

 

 

 

 

 

Наклонная асимптота – это прямая y = kx+ b, где

 

 

 

 

 

 

 

 

 

 

 

 

 

 

 

 

 

k lim

f (x)

 

 

 

3

6x2 x3

 

1;

 

 

 

 

 

 

 

 

 

lim

 

 

 

 

 

 

 

 

 

 

 

 

 

 

 

 

 

 

x

 

 

 

 

 

 

 

 

 

x

x

x

 

 

 

 

 

 

 

 

 

 

 

 

 

 

165