Материал: 1740

Внимание! Если размещение файла нарушает Ваши авторские права, то обязательно сообщите нам

21

ОШИМ-1 ФНЧ необходимо выбирать коэффициент следования импульсов μ>4…5.

Выражение для спектра ШИМ-1 при синусоидальной мо-

дуляции и прямоугольной форме импульса может быть получено в виде

 

S( f )

 

f 0

U

( f 0)

 

2U

m

( f FM )

 

 

 

 

 

 

 

 

 

 

 

 

 

 

 

 

T

 

T

 

 

 

 

 

 

 

 

 

 

 

 

 

 

 

 

 

 

 

 

 

 

 

 

 

 

 

 

 

2U

Jm (n

M ) sin

Fn

m

 

( f Fnm ).

(1.30)

n 1 m

 

n

2

 

 

 

 

 

 

 

 

 

 

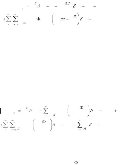
Спектр ШИМ-1 изображѐн на рис. 1.16.

Сравнивая выражения (1.29) и (1.30), можно сделать следующие выводы:

1) амплитуда полезной составляющей (с частотой FM ) при

ШИМ-1 за счет модуляции обоих фронтов импульса в два раза больше, чем при ОШИМ-1 (это справедливо, если максимальный сдвиг каждого фронта при ШИМ равен максимальному сдвигу фронта при ОШИМ);

2) часть комбинационных частот при четных m, попадающих в полосу ФНЧ, при ШИМ-1 имеет значительно меньшую интенсивность, чем при ОШИМ-1. Следовательно, нелинейные искажения при прочих равных условиях будут меньше.

Амплитудный спектр ОШИМ-2 при прямоугольной

форме импульсов и синусоидальной модулирующей функ-

ции может быть представлен следующим образом:

S ( f )

 

 

U

 

 

( f )

 

UF

Jm

mFM

M

( f mFM )

 

 

 

 

 

 

 

 

f 0

 

 

 

 

 

 

 

 

 

 

 

 

T

 

 

m 1 m FM

F

 

 

 

 

 

 

 

 

 

 

 

 

 

 

 

 

 

 

 

 

 

 

 

 

 

 

 

 

 

UF

Jm

 

Fnm M

( f

Fnm )

U

( f nF ).

(1.31)

 

 

 

Fnm

 

 

F

n

n 1 m

 

 

 

 

 

 

 

 

n 1

 

 

Характерной особенностью спектров при использовании всех методов модуляции второго рода (ОШИМ-2, ШИМ-2 и АИМ-2) (см. рис. 1.16) является присутствие высших гармоник

частоты модуляции mFM , что приводит к нелинейным искажениям при демодуляции. Интенсивность гармоник частоты моду-

ляции зависит от индекса модуляции

M

и отношения частот

 

 

22

F FM

(1.31). Расчеты показывают, что с уменьшением

M ам-

плитуды гармоник FM уменьшается и для значений

M <1 и

2 F FM 3 общие нелинейные искажения при ОШИМ-2 да-

же несколько меньше, чем при ОШИМ-1. Однако при

M >3 и

F FM

3 ОШИМ-1 даѐт лучшие результаты.

 

Кроме того, при ОШИМ-2 имеют место частотные искажения. Полезная составляющая на выходе ФНЧ

UM

UF

J1

FM M

,

FM

F

 

 

 

т.е. амплитуда демодулированного сигнала, зависит от частоты

модуляции. Однако при малых индексах модуляции

M

1

 

 

функцию Бесселя можно заменить асимптотическим выражением J1 (x) x2 , и полезная составляющая равна

U

 

U F

J

 

FM

2

m

 

U m

.

(1.

M

 

 

 

1

 

 

 

 

 

 

 

 

FM

 

F

 

T

 

 

T

32)

 

 

 

 

 

 

 

 

 

Таким образом, при малых индексах модуляции частотные искажения незначительны, а амплитуда полезной составляющей такая же, как при ОШИМ-1.

Вслучае ШИМ-2 при прямоугольной форме импульсов

исинусоидальной модуляции амплитудный спектр имеет вид

S ( f )

 

f 0

U

( f )

 

2U

Jm

mFM

M

 

 

T

m 1 mFM

F

 

 

 

 

 

 

 

 

 

sin(m F

m

) ( f mF )

 

(1.33)

 

 

 

 

 

M

2

 

M

 

 

 

 

 

 

 

 

 

 

 

 

 

2UF

Jm

Fnm

 

 

sin( Fnm

 

m

) ( f

Fnm ).

n 1 m Fnm

F

M

2

 

 

 

 

 

Состав спектра такой же, как при ОШИМ-2 (см. рис. 2.16): частотные искажения имеют ту же величину; нелинейные искажения несколько меньше за счет того, что при четных m меньше

интенсивности комбинационных частот Fnm ; амплитуда полезной составляющей больше в два раза за счет модуляции обоих

23

фронтов.

2.4. Спектр сигнала с времяимпульсной модуляцией

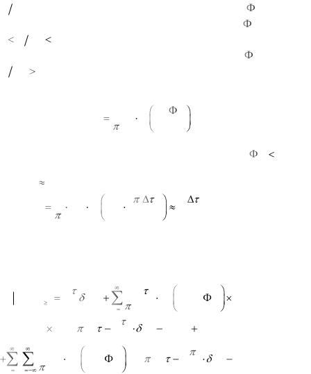
При ВИМ сдвиг импульса относительно тактовых точек kT изменяется по закону модулирующей функции (рис. 1.17.).

Существуют следующие разновидности ВИМ:

1)фазо-импульсная (ФИМ);

2)частотно-импульсная (ЧИМ).

Различие между ними такое же, как при ЧМ и ФМ. В данном случае речь пойдет о ФИМ (часто ее называют просто ВИМ).

По характеру связи между значениями модулирующей функции и временными сдвигами модулированных (информационных) импульсов относительно немодулированных (тактовых) различают:

1) времяимпульсную модуляцию первого рода (ВИМ-1) – временной сдвиг информационного импульса относительно тактовой точки пропорционален значению модулирующей функции в момент посылки этого импульса. Тогда момент появления переднего фронта модулированного импульса с номером k равен

 

tk kT

m x(tk ) ,

(1.34)

где

m - максимальный временной сдвиг импульса при моду-

ляции (девиация); 2) время-импульсную модуляцию второго рода (ВИМ-2) –

временной сдвиг информационного импульса относительно тактовой точки пропорционален значению модулирующей функции в момент времени, соответствующий посылке k-го тактового импульса. Тогда момент появления переднего фронта модулированного импульса с номером k

tk kT

m x(kT ) .

(1.35)

Спектр сигнала с ВИМ-1. Амплитудный спектр последовательности информационных импульсов при любой форме короткого импульса и синусоидальной модулирующей функции

24

имеет вид

 

 

 

 

 

 

 

 

 

 

 

 

 

 

 

 

 

 

 

 

 

 

 

 

 

 

 

 

S

(0)

 

 

 

 

 

So (FM )

 

 

 

F

 

 

 

 

 

 

 

 

 

 

 

 

 

 

 

 

 

 

 

 

 

 

 

 

 

 

 

 

 

 

 

 

S( f )

 

 

 

o

 

 

 

 

( f )

 

 

 

 

 

 

 

 

 

 

M

M

 

( f FM )

 

 

 

f 0

 

 

 

 

 

 

 

 

 

 

 

 

 

 

 

 

 

 

 

 

 

 

 

 

T

 

 

 

 

T

 

F

 

 

 

 

 

 

 

 

 

 

 

 

 

 

 

 

 

 

 

 

 

 

 

 

 

 

 

 

 

 

 

 

 

 

 

 

 

 

 

 

 

 

 

 

 

 

 

 

 

 

 

 

 

 

 

 

 

 

 

 

 

 

 

 

 

 

 

 

2

 

So (Fnm )

 

 

 

Fnm

J

m

(n

M

)

( f F ).

(1.36)

 

 

 

 

 

 

 

 

 

 

 

 

 

 

 

 

 

 

 

 

 

 

 

 

 

 

 

 

 

 

 

 

 

 

 

T

 

 

 

 

 

nF

 

 

nm

 

 

 

 

 

n 1 m

 

 

 

 

 

 

 

 

 

 

 

 

 

 

 

где M

 

2 F tm ,

 

 

 

 

 

 

 

 

 

 

 

 

 

 

 

 

S0 ( f ) – огибающая спектра одиночного импульса.

Спектр ВИМ-1 изображен на рис. 1.17.

Из выражения для спектра (1.36) следует, что по частотному составу ВИМ не отличается от ШИМ и ОШИМ, однако имеют место следующие особенности:

1) амплитуда полезной составляющей в спектре равна

U

M

 

So (FM )

 

M FM

 

 

S

o

(F )

 

 

tm FM

,

(1.37)

 

 

 

 

 

 

 

 

 

 

 

 

 

 

T

T

 

 

M

 

 

T

 

 

 

 

 

 

 

 

 

 

 

то есть пропорциональна отношению tm

T .

 

Для

реальных

многоканальных

систем

величина

tm T 1 , поэтому амплитуда полезной составляющей в спек-

тре ВИМ-1 мала (практически в десятки раз меньше, чем в спектрах АИМ и ШИМ). Это объясняется тем, что для случаев АИМ и ШИМ при модуляции значительно изменяются амплитуда или длительность импульсов, это сопровождается изменением средней мощности передатчика, а, следовательно, и среднего значения модулированной последовательности на приемной стороне; в спектре создается интенсивная полезная составляющая.

При ВИМ сдвиги импульсов при модуляции невелики, среднее значение принятой последовательности с ВИМ меняется мало, мала и амплитуда сигнала на выходе фильтра;

2) амплитуда полезной составляющей на выходе демодулятора зависит от частоты модуляции FM (1.37), поэтому демоду-

ляция сигнала с ВИМ с помощью ФНЧ сопровождается сильными частотными искажениями – завалом нижних и подъемом верхних модулирующих частот;

25

X(t)

0

 

t

S(t)

 

 

0

 

t

SВИМ(t)

tm

t

 

0

 

t

SВИМ-1(f)

 

 

 

 

 

 

 

 

 

 

 

 

 

 

 

 

 

 

 

 

 

 

 

 

 

 

 

 

 

 

 

 

 

 

 

 

 

 

 

 

 

 

 

 

 

 

 

 

 

 

 

 

 

 

 

 

 

 

 

 

 

 

 

 

 

 

 

 

 

 

 

 

 

 

 

 

 

 

 

 

 

 

 

 

 

 

 

 

 

 

 

 

 

 

 

 

 

 

 

 

 

 

 

 

 

 

 

 

 

 

 

 

 

 

 

 

 

 

 

 

 

 

 

 

 

 

 

 

 

 

 

 

 

 

 

 

 

 

 

 

 

 

 

 

 

 

 

 

 

 

 

 

 

 

 

 

 

 

 

 

 

 

 

 

 

 

 

 

 

 

 

 

 

 

 

 

 

 

 

 

 

 

 

 

 

 

 

 

 

 

0F

 

 

 

 

 

 

 

F

 

 

 

 

 

 

 

 

 

 

 

 

 

2F

 

 

 

 

 

 

 

 

3F

 

 

 

 

 

f

M SВИМ-2(f)

 

 

 

 

 

 

 

 

 

 

 

 

 

 

 

 

 

 

 

 

 

 

 

 

 

 

 

 

 

 

 

 

 

 

 

 

 

 

 

 

 

 

 

 

 

 

 

 

 

 

 

 

 

 

 

 

 

 

 

 

 

 

 

 

 

 

 

 

 

 

 

 

 

 

 

 

 

 

 

 

 

 

 

 

 

 

 

 

 

 

 

 

 

 

 

 

 

 

 

 

 

 

 

 

 

 

 

 

 

 

 

 

 

 

 

 

 

 

 

 

 

 

 

 

 

 

 

 

 

 

 

 

 

 

 

 

 

 

 

 

 

 

 

 

 

 

 

 

 

 

 

 

 

 

 

 

 

 

 

 

 

 

 

 

 

 

 

 

 

 

 

 

 

 

 

 

 

 

 

 

 

 

 

 

 

 

 

 

 

 

 

 

 

 

 

 

 

 

 

 

 

 

 

 

0F

 

 

 

 

 

F

 

 

 

 

 

 

 

 

 

 

 

 

 

 

2F

 

 

 

 

 

 

 

 

 

3F

 

 

 

 

 

f

 

 

 

 

 

M

 

 

 

 

 

 

 

 

 

 

 

 

 

 

 

 

 

 

 

 

 

 

 

 

 

 

 

 

 

 

 

 

 

 

 

 

 

 

 

 

 

 

 

Рис. 1.17 – Сигналы с ВИМ, спектры сигналов с ВИМ-1 и ВИМ-2

3) составляющая спектра вида Fn FM имеет амплитуду,

соизмеримую с амплитудой полезной составляющей, что при недостаточной селективности ФНЧ приводит к недопустимым комбинационным искажениям;

4) спектр боковых частот Fn FM асимметричен относи-

тельно центральных частот повторения.

Все перечисленные особенности приводят к тому, что при