В приведенной формуле число верхних и нижних индексов рав но, а величины т,т-],...,\,0;ак,ак_1,а1,а0 - принимают значения
Рис. 1.15. Геометрическое представление обобщенного условия инцидентности
чисел натурального ряда. Число т определяет размерность искомого элемента (т-плоскость), а нижний или нижние индексы - размер ность пространства или подпространства, которому принадлежит ис комый элемент. Рассмотрим принадлежность (инцидентность) точки к плоскости в трехмерном пространстве. В этом случае т - флаг со стоит из одной точки, то есть т = 0, а ак - флаг состоит из одной
плоскости размерности ак=2. В таком случае получаем е?. Другой пример. Определим в четырехиараметрическом многообразии прямых пространства Е3 те прямые, которые пересекают заданную прямую. В этом случае получаем, что т = 1 и т-флаг состоит из прямой и точки, ей принадлежащей, а а^-флаг состоит из трехмерного пространства и прямой в нем. Следовательно, прямая флага принадлежит простран ству Е3, а ее точка принадлежит заданной в этом пространстве пря мой. Таким образом, получаем е3\\ Если т-флаг состоит из плоско сти, инцидентной ей прямой и инцидентной этой прямой точки, а ак - флаг состоит из пространства Е3, плоскости и точки, то условием ин-
цидентности |
е32\ |
определяется множество плоскостей пространства |
|
Е3, проходящих через заданную точку, то есть связку. |
|||
|
Приведем простейшие условия инцидентности для точек, прямых |
||
и |
плоскостей |
пространства Е3. Для точек это следующие условия: |
|
0 |
0 0 0 |
о |
|
е0,е1,е2,е3, где |
е§- |
условие совпадения точки пространства с задан |
|
ной точкой; |
ef- |
условие принадлежности точки заданной прямой |
|
|
|
о |
|
пространства; |
е^ - |
условие принадлежности точки заданной плоско- |
|
|
|
|
о |
сти пространства; |
условие принадлежности точки пространству |
||
Е3. |
|
|
|
Для прямых линий имеют место следующие условия инцидент ности: e[§;e2j/,e2j\elfQ;el'°-,el'2. Расшифруем некоторые из этих усло вий. Условие е2°0 определяет пучок прямых, е3°0 - связку прямых,
е2®— поле прямых.
•л- |
•• |
2,1,0 2,1,0 2,1,0 2.1,0 лг„ |
|
Для плоскостей |
имеют место условия: |
^ ' i J ^ A O ^ . i . o ^ y . o - Уо " |
|
ловие е3'\'® |
определяет пучок плоскостей, |
условие ej'i'o определяет |
|
совпадение плоскости пространства с заданной в нем плоскостью. Обобщенное условие инцидентности характеризуется размерно
стью, которая определяется по формуле [5]: |
|
fc.№^!S±J)_f;e„ |
(,.4) |
где п - размерность объемлющею пространства; т - размерность плоскости, которая удовлетворяет обобщенному условию инцидент ности; а, - "нижние" коэффициенты обобщенного условия инцидент ности.
Определим на основе формулы (1.4) размерности условий инци дентности для точки, прямой и плоскости прострапства Е3:
Qo6(e°) = 2; |
QJ&) = b |
О#0 °) = 3; |
<206 (Ч?) =1; аб(4;°о) = 2; QoM") = 2; |
= 3; О* (eft) = 4; |
|
Qo6(4$) = i; Q |
o 6 ( & = |
2; QoMii) = з . |
Рассмотрим подробное получение некоторых из указанных ре зультатов вычислений по формуле (1.4):
30 |
31 |
1.7.2.Аффинные условия
Для рассмотрения аффинных условий требуется введение поня тия несобственных (бесконечно удаленных) элементов. Прямая линия
адополняется несобственной точкой Ат, плоскость В- несобствен ной прямой b о» пространство Еъ — несобственной плоскостью Ат
пространство Е„ - несобственной гиперплоскостью /Г," " . Т о м а па раллельными будем считать такие две прямые, точка пересечения ко торых принадлежит несобственной прямой плоскости этих прямых. Прямая и плоскость параллельны, если их точка пересечения принад лежит несобственной прямой этой плоскости. Две плоскости парал лельны, если их линия пересечения принадлежит несобственной плоскости А,, пространства Еъ. Понятие "параллельность" является понятием аффинной геометрии. Не всякие два линейных элемента пространства могут быть параллельными. Например, в общем случае две прямые пространства Еъ являются скрещивающимися, также как прямая и плоскость в четырехмерном пространстве. Следовательно, параллельность двух линейных элементов пространства возможна при выполнении двух условий: линейные элементы должны пересе каться в этом пространстве, элемент их пересечения должен быть не
собственным. Предположим, что в пространстве Еп |
пересекаются два |
|||||||||||
подпространства размерностей |
т и |
q. Каждое из них определяется |
||||||||||
множеством |
(т + \) |
и |
(q + \) |
точек соответственно. Пусть их общая |
||||||||
часть |
пересечения будет пространством размерности s , |
определяе |
||||||||||
мом |
( s + 1 ) |
точкой. В таком случае подпространство размерности т, |
||||||||||
определяемом (т +1) |
независимыми точками, кроме |
(s +1) |
точек со |
|||||||||
держит еще |
(т - s) |
независимых точек, а подпространство размерно |
||||||||||
сти q, |
определяемое |
(q + \) |
независимыми точками, кроме |
(.? + !) |
со |
|||||||
держит |
еще |
(q — s) |
независимых точек. Суммарное |
число |
независи |
|||||||
мых точек (s +1 + т — s + q — s) равно числу |
(п + \) |
независимых то |
||||||||||
чек, |
|
определяющих |
объемлющее |
пространство |
п, |
то |
сеть |
|||||
n + \-s + \ |
+ m-s + |
q- s. |
Таким |
образом, |
получаем |
формулу: |
||||||
s - т + q - |
п, которая позволяет определять размерность |
простран |
||||||||||
ства |
пересечения. Из |
этой |
формулы |
следует, что две прямые в про- |
||||||||
|
|
|
|
|
|
|
32 |
|
|
|
|
|
странстве Е3 в общем случае действительно не пересекаются: 1 + 1-3 = - 1 .
Две гиперплоскости в пространстве Ел пересекаются по плоско сти, поскольку 3 + 3 - 4 = 2. Если эта плоскость несобственная, то две гиперплоскости параллельны в этом пространстве. Гиперплоскость и плоскость в пространстве ЕА пересекаются по прямой линии, по скольку 3 + 2 - 4 = 1. Если эта прямая несобственная, то названные элементы параллельны в рассматриваемом пространстве. Исходя из числа независимых точек, определяющих несобственный элемент пе ресечения, можно сформулировать условие параллельности исходных элементов. Так в последнем случае несобственная прямая определяет ся двумя точками. Поэтому гиперплоскость и плоскость в простран стве Е4 параллельны, если две пересекающиеся прямые плоскости параллельны каким-либо двум прямым гиперплоскости.
Условия параллельности одних и тех же элементов, но принад лежащих разным объемлющим пространствам, существенно разли чаются. Например, две плоскости в пространстве Е4 пересекаются в точке (2 + 2 — 4 = 0), следовательно, они будут параллельными, если прямая в одной плоскости будет параллельна какой-либо прямой в другой плоскости. В пространстве Е3 две плоскости пересекаются по прямой, так как 2 + 2 - 3 = 1. Если она несобственная, то получаем из вестный в школьном курсе стереометрии признак параллельности этих плоскостей. Различие параллельностей одних и тех же элементов в разных пространствах характеризуется степенью параллельности,
которая определяется формулой |
[16]: |
|
|
|
|
£+1 |
|
П ч~\ |
|
Рц= |
. |
С1-5) |
||
|
||||
где к — размерность общего несобственного элемента двух |
парал |
|||
лельных элементов (прямых, плоскостей, гиперплоскостей), т и q -
размерности параллельных элементов, при этом m<q. Рассмотрим
применение этой формулы. Для плоскостей пространства Е3 |
получа |
||||||
ем: |
Рц~~^ = ^- |
Следовательно, |
две плоскости |
пространства |
Е3 |
||
вполне параллельны. Те же две плоскости в пространстве Е4 |
имеют |
||||||
степень параллельности, |
равную Рц=^~^- = \- |
Следовательно, |
две |
||||
плоскости в пространстве |
ЕА полупараллельны. Две гиперплоскости |
||||||
в |
пространстве |
Е4 обладают |
степенью параллельности, |
равной |
|||
|
|
|
|
зз |
|
|
|
Рц = —у- = 1, то есть гиперплоскости в этом пространстве вполне па
раллельны.
Для определения размерности условия параллельности существу ет формула [4]:
Qjj= p//-m(n-m-q + рц-т). |
(1.6) |
Согласно формуле размерность условия параллельности |
прямой |
и плоскости в пространстве £3 определится следующим образом: e//=l-J(3-l-2 + l-l) = l.
Размерность условия параллельности двух плоскостей в про
странстве Е3 определится так: |
= 1 • 2(3 - 2 - 2+1 • 2) |
= 2. |
|
Условие параллельности |
подпространств Ет и |
Е , т < q, можно |
|
сформулировать |
следующим |
образом. Подпространства Ет и Е |
|
пространства Еп |
будут вполне параллельны, если одно из них можно |
||
перенести в другое параллельным переносом. Или, если для любых
т прямых |
пространства Ет, |
проходящих через одну |
точку, в |
про |
странстве Е |
найдутся т параллельных им прямых, не обязательно |
|||
проходящих |
через одну точку, |
то подпространства Ет |
и Е |
вполне |
параллельны. При этом их линейным расширением будет подпро
странство £ , с: Еп, размерности |
(q + l). |
|
|
|
||||
Если же для любых т прямых пространства Ет, проходящих |
||||||||
через одну точку, в |
пространстве |
Е |
найдутся |
(/и-1) |
нарачлельных |
|||
им прямых, то пространства Ет и |
Е |
|
будут не |
вполне параллельны. |
||||
П |
^ |
|
|
W _ 1 |
ТА |
|
||
Степень их параллельности будет равна |
|
. Их линейным расши- |
||||||
т |
||||||||
|
|
|
|
|
|
|
||
рением будет подпространство Eq+2 <zz Еп. И так далее. |
|
|||||||
Если же для любых т прямых пространства |
Ет в |
пространстве |
||||||
Eq не найдется ни одной параллельной им прямой, то это означает, что пространства Ет и Ед не параллельны. Степень их параллельно сти равна нулю. Их линейным расширением будет подпространство
34
1.7.3.Условия перпендикулярности
Втрехмерном пространстве £3 через произвольную точку О не которой прямой можно провести плоскость А, перпендикулярную данной прямой. Все прямые этой плоскости, проходящие через точку О, то есть пучок прямых (0), перпендикулярны данной прямой. В пучке (0) прямых всегда найдутся две взаимноперпендикулярные прямые. Следовательно, в любой точке пространства Еъ существует тройка взаимно перпендикулярных прямых. В пространстве ЕА на некоторой его прямой выберем точку О. Проведем через эту точку все возможные прямые, плоскости и 3 -плоскости, перпендикулярные исходной прямой. Параметрическое число прямой пространства £ 4 ,
проходящей |
через |
точку |
О, |
по |
формуле |
(1.3) |
равно: |
D](0) = (4 -1)(1 - 0) = 3. |
Введение |
условия |
перпендикулярности этой |
||||
прямой к заданной прямой уменьшает на единицу ее параметрическое число. Поэтому множество прямых пространства £ 4 , проходящих че рез точку О перпендикулярно заданной прямой, двухпараметрично, то есть образует связку. В пучке прямых этой связки существует' две взаимноперпендикулярные прямые, перпендикулярные заданной прямой. В связке прямых существует прямая вне плоскости этих взаимноперпендикулярных прямых, перпендикулярная этой плоскости. То есть, через точку О заданной прямой пространства £4 проходит тройка взаимноиерпендикулярных прямых, перпендикулярных задан ной прямой. Эта тройка прямых определяет подпространство £ 3 , ко торое проходит через точку О перпендикулярно заданной прямой. Очевидно, все прямые подпространства £ 3 , проходящие через точку О, также перпендикулярны заданной прямой. Обобщая на простран ство Е„, можно утверждать о том, что через точку О заданной пря мой этого пространства проходит (и —1) независимых прямых, пер пендикулярных данной прямой, при этом никакая тройка таких пря мых не принадлежит одной плоскости. Следовательно, через точку О заданной прямой пространства Еп проходит единственное подпро странство Еп ,, перпендикулярное этой прямой.
Очевидно, обратное утверждение также имеет место: через точку О подпространства £„_, в пространстве Е„ проходит единственная прямая пространства, перпендикулярная к подпространству Еп_х, то есть перпендикулярная к его 1-плоскости, плоскости, 3 -плоскости,
35
... , проходящих через точку О. Таким образом, через произвольную точку пространства Еп проходят п взаимноперпендикулярных пря мых. Рассмотрим подробнее свойство перпендикулярности этих п прямых.
|
Выберем из п взаимноперпендикулярных прямых |
q прямых. |
|||||
Они |
определяют q -плоскость Eq. Тогда любая прямая q -плоскости |
||||||
Eq, |
проходящая |
через |
точку О, |
будет перпендикулярна |
оставшимся |
||
n-q |
прямым, |
следовательно, |
перпендикулярна |
( и - ^ - п л о с к о с т и |
|||
Еп |
определяемой (n-q) прямыми и любой прямой (n-q)- |
||||||
плоскости Е |
, проходящей через точку О. |
|
|
|
|||
|
(/-плоскость Е |
и (п-q)—плоскость En_q, |
пересекающиеся |
в |
|||
точке О, на основании вышеизложенною, характеризуются тем, |
что |
||||||
любая прямая одной из них, проходящая через точку О, перпендику лярна всем прямым другой, также проходящим через точку О. Такие две су-плоскость Е и (л — ^)—плоскость En_q, или два подпростран ства Е и Еп_д. называются вполне перпендикулярными.
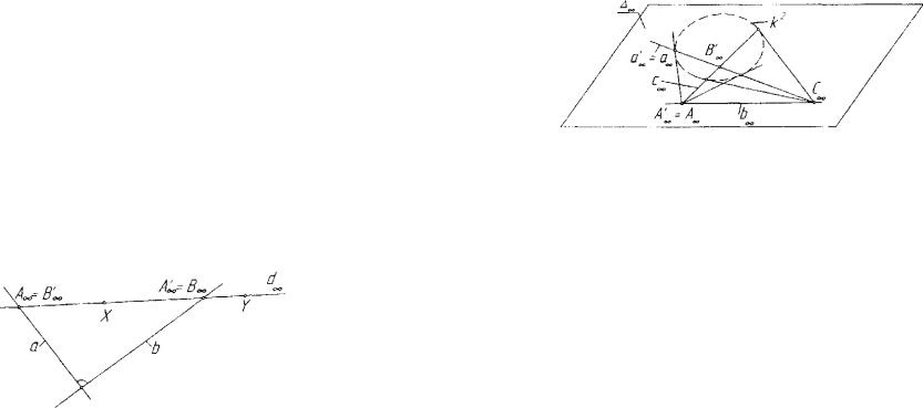
Строгое определение понятия перпендикулярности может быть дано на основе абсолютов расширенных плоскости и пространства, которые дополнены несобственными элементами. Абсолют плоскости представляет собой несобственную прямую dXi этой плоскости с ус тановленной па ней эллиптической (абсолютной) инволюцией точек, определяемой парой циклических (мнимых) точек X и Y пересечения окружности этой плоскости с прямой d,r (рис. 1.16).
Рис. 1.16. Абсолют расширенной евклидовой плоскости
С проективной точки зрения, две прямые а |
и |
Ь в плоскости |
перпендикулярны, если их точки пересечения 4» |
и |
являются со- |
36 |
|
|
ответственными |
в |
абсолютной |
инволюции: Ах++А'ю, ВХ<->В'Х, |
||
А'т = Вх, |
В^=АЛ |
[10,16,37]. |
|
|
|
Абсолютом расширенного пространства £ 3 называется мнимая |
|||||
окружность |
к2 |
в несобственной |
плоскости |
Ахи полярное соответст |
|
вие в плоскости |
А,„, устанавливаемое этой |
окружностью (рис. 1.17). |
|||
Мнимая окружность к2 представляется как линия пересечения сферы пространства Е3я его плоскости А«>-
Рис. 1.17. Интерпретации перпендикулярности прямой и плоскости
В проективной интерпретации прямая а и плоскость О будут перпендикулярными, если точка А^= а(\Аюя прямая ах~ Q Г]А1Х1 соответственны в полярном соответствии относительно мнимой ок ружности к2:
Ах <г> о ж , аж <-> А сс, а х = аЛ, А сг. = Ах.
Две плоскости Ф и W в пространстве Е2 будут перпендикуляр ными, если образ А'^ несобственной прямой ах = Фр|4» в полярном
соответствии относительно мнимой окружности к2 принадлежит не
собственной прямой |
bx = WC\Aa>. Или же: обр*аз В'^ |
несобственной |
||||
прямой Ьх — !РП4» |
8 т о м же полярном соответствии принадлежит не |
|||||
собственной прямой ах = ФГ)4» . |
|
|
|
|||
|
Выполним обобщение понятия перпендикулярности на простран |
|||||
ство Еп. Абсолютом этого пространства |
является |
мнимая |
(п — 2)- |
|||
сфера |
Кп_2, полученная в пересечении гиперсферы |
К пространства |
||||
Еп |
с |
его несобственной гиперплоскостью |
Ах, и полярное соответст |
|||
вие, |
устанавливаемое ( « - 2 ) - с ф е р о й Кп__2 |
в гиперплоскости |
4 Х . В |
|||
|
|
|
37 |
|
|
|
этом полярном |
соответствии |
точке соответствует |
(п - 2) - плоскость |
||||||||
£„°°2> прямой линии Ej0 |
соответствует («-3)-плоскость Е™_3, |
... , т |
|||||||||
-плоскости Е™ |
соответствует |
(п -т - 2 ) -плоскость |
Е™_т 2. |
|
|||||||
Предположим, что в расширенном евклидовом пространстве Е |
|||||||||||
заданы |
т-плоскость |
Фт |
и |
q-плоскость |
4Jq, |
при |
этом |
m>q. |
Пусть |
||
их общей частью будет р-илоскость 1р, определяемая |
(р + 1) |
неза |
|||||||||
висимыми точками. В таком случае /и |
плоскость |
Фт |
кроме |
(р + 1) |
|||||||
точек будет содержать (т - р) |
независимых точек, a q -плоскость У |
||||||||||
кроме |
(р + 1) точек |
будет содержать еще (q-р) независимых |
точек. |
||||||||
Следовательно, |
общее |
число |
независимых |
точек |
будет |
равно |
|||||
р + \ + т-p + q-p = m + q-р + \, |
и оно |
равно |
0 + |
1) |
независимых |
||||||
точек, определяющих пространство Еп . В итоге получаем формулу:
|
|
|
p = m + q-n. |
|
|
(1.7) |
|
w-плоскость Фт |
и (/-плоскость |
!? в пересечении с гиперпло |
|||||
скостью |
Aw |
образуют |
элементы: ФтГ\Л«,= <&Z-\ \ |
^Л\Л^=^_Х. В по- |
|||
лярпом |
соответствии относительно мнимой |
( я - 2 ) - с ф е р ы |
Кп_2 в ги |
||||
перплоскости А,, (т-1) плоскости Ф'°.-\ соответствует |
(п-т-1) - |
||||||
плоскость |
Ф*4„^у.2~Ф2-т-[- Очевидно, |
в |
общем |
случае |
элементы |
||
Ф^-т-\ 11 'Уд'-]* принадлежащие несобственной гиперплоскости Aaj, между собой не пересекаются, поскольку согласно формуле (1.7) по
лучаем: |
\(n-m-\) + (q-])-(n-Y)] |
= ~m |
+ |
q-\<Q. |
Это |
говорит |
о |
том, что исходные /и-плоскость |
Фт |
и |
плоскость W |
не перпен |
|||
дикулярны в пространстве Еп. Если же элементы Ф"п-т-\ |
и |
пе |
|||||
ресекаются по г-плоскости Е?, |
то они считаются вполне перпенди |
||||||
кулярными и степень их перпендикулярности определяется по фор
муле [16]: |
|
|
|
|
Р. = |
г + 1 |
(1.8) |
|
Ч |
||
где |
q - меньшая из размерностей т и q |
исходных плоскостей Ф и |
|
q |
|
|
|
|
Рассмотрим несколько примеров. Две прямые а и Ъ в плоскости |
||
Е2 |
при условии А'Х = ВХ или |
В'х = Ат |
(рис. 1.16) имеют степень |
|
|
38 |
|
перпендикулярности, равную рх = — j — = 1, то есть они вполне пер
пендикулярны. Прямая а и плоскость в в пространстве Е3 при усло
вии а'х = ах или /г" = 4 * (рис. 1.17) имеют степень перпендикуляр
ности, равную р± =^у-^- = 1, то есть они также вполше перпендику
лярны. Две плоскости Ф и W пространства Еъ при условии Ф' е <//к или У,» ефх, где ф<в=ФГ\Ла>, ^00 =!РГ П^« (рис. 1.18) имеют степень
0 + 1 1
перпендикулярности, равную/?± = = - , т о есть две плоскости
этого пространства лишь полуперпендикулярны.
Рис. 1.18. Интерпретации перпендикулярности двух плоскостей
Для определения размерности условия перпендикулярности при
меняется формула [4]: |
|
|
||
|
|
Q1=pL-q(m-q + p1-q), |
(1.9) |
|
в которой |
т и q |
- размерности взаимно перпендикулярных элемен |
||
тов (m>q). |
Размерность условия перпендикулярности двух прямых в |
|||
плоскости |
Е2 |
в |
соответствии |
с формулой (1.9) равна: |
QL =1-1(1 -1 + 1-1) = 1. |
Размерность |
условия перпендикулярности |
||
прямой и плоскости в пространстве Е3 |
равна: QL -1 • 1(2 -1 +1 • 1) = 2. |
|||
Размерность условия перпендикулярности двух плоскостей в про странстве Е3 равна: Qx - — • 2(2 - 2 + — • 2) = 1.
39