Материал: Усовершенствование экскаватора-погрузчика JCB 4 CX

Внимание! Если размещение файла нарушает Ваши авторские права, то обязательно сообщите нам

=0,91

=0,97

Выбираю по ГОСТ 8753-80 насос шестеренный Н1(на схеме) с рабочим объемом 32х10-4 м3/с.

Насос предназначен для создания давления в контуре включающем аутригеры и поворотную колонку.

Определяю мощность второго насоса:

Выбираю шестеренный насос с рабочим объемом 46х10-4 м3/с.

=24,1 кВт

V=45,7 см3

Частота вращения 120 об/мин

1.14 Конструирование виброуплотняюшей плиты


Для уплотнения насыпных несвязных грунтов применяют поверхностные вибрационные машины. Этот тип уплотняющих машин особенно эффективен при работе на грунтах с большим количеством каменистых включений.

При работе вибрационных машин под действием кинетической энергии, создаваемой вибратором, частицы грунта, расположенные в зоне действия вибратора, приводятся в состояние колебательного движения.

Поскольку массы частиц грунта не одинаковы, возникающие при этом силы инерции также будут иметь разную величину. Если разность сил инерции в отдельных смежных частицах невелика, то возникающие на их границах напряжения будут уравновешиваться силами трения и сцепления.

Если же эта разность будет достаточно большой, силы связей между частицами окажутся нарушенными, произойдет отрыв частиц друг от друга и начнется их относительное перемещение.

В результате воздействия вибратора на грунт разрушается его первоначальная структура, отдельные частицы внутри уплотняемого слоя начинают двигаться и, перемещаясь, заполняют пустоты, увеличивая тем самым плотность грунта.

При прочих равных условиях уплотнение грунтов будет происходить тем интенсивнее, чем больше разница в размерах частиц и чем меньше силы связей между ними. Поэтому несвязные грунты, содержащие в своем составе частицы различной крупности со слабыми связями между ними, хорошо уплотняются вибрированием, связные же грунты, являющиеся по своему составу более однородными материалами с большими внутренними силами связей, плохо поддаются уплотнению этим способом.

При возрастании возмущающей силы увеличивается амплитуда колебаний вибратора и грунта. До определенного значения возмущающей силы колебания вибратора будут гармоническими или близкими к ним, затем колебания приобретают беспорядочный характер и далее возможен отрыв вибратора от поверхности грунта.

Машины, у которых происходит отрыв вибрационной плиты от поверхности грунта, а затем удар о грунт относятся к вибротрамбующим, а в машинах у которых это явления почти не наблюдается относятся к вибрационным.

Конструкция виброплиты должна обеспечивать неизменность параметров вибротрамбовки и возможность их регулирования в процессе эксплуатации с учётом износа отдельных элементов.

В процессе работы виброплита не должна выходить за пределы установленных габаритных размеров для исполнительных органов. В транспортном режиме они должны находиться в пределах габаритов базовой техники.

.14.1 Описание конструкции

Разрабатывается уплотняющее устройство, выполненное в виде вибротрамбующей плиты, навешенной на нижнюю заднюю часть ковша .

На виброплите размещены два возбудителя колебаний, несущая рама и приводной механизм работающий от гидромотора, подключенного к гидросистеме базовой машины. Перед началом работ вибротрамбовка ковша из транспортного положения опускается на уплотняемую поверхность до соприкосновения с ней с помощью гидроцилиндров , тем самым принимая положение уплотненительных работ. При включении привода вращение от гидромотора посредством зубчатой передачи передается валу дебалансных вибраторов. За счет вертикальной составляющей возмущающей силы вибратора происходит уплотнение грунта. Уплотнение основано на способе, который заключается в непрерывном и интенсивном вибрационно-ударном трамбовании грунта по горизонтальной плоскости. Перемещение виброплиты происходит за счет передвижения базовой машины.

1.14.2 Выбор параметров вибротрамбующей плиты

Основная цель выбора параметров - обеспечение режима вибротрамбования грунта, при котором достигается требуемая степень уплотнения материала и требуемая скорость передвижения.

Основными параметрами вибротрамбования грунта являются: амплитуда Sa и частота f колебаний, скорость передвижения при уплотнении Vупл , время вибрирования tв , длина l, ширина Bк и толщина b плиты, угол наклона рабочей поверхности плиты к оси поверхности (пути) α.


Рис. 1.14. - Основные параметры вибротрамбования грунта

.14.3 Геометрические параметры

Значения и соотношения геометрических параметров устанавливаются исходя из необходимости формирования зон уплотнения грунта с требуемой степенью и глубиной уплотнения, достаточного для закрепления.

Эти условия представлены в виде соотношения:

где b - толщина плиты, м (а = 0,026 м );- длина плиты, м;

α - угол наклона плиты к оси поверхности (пути), град (принят α = 8˚);

K1 - коэффициент, учитывающий неравномерное попадание грунта под плиту (принят K1 = 1,25);- коэффициент уменьшения объёма грунта, сдвигаемого виброплитой (принят K2 = 1,1);

С - площадь пустот грунта под плитой (ямы) С ≈0,01 м2 .

Из соотношения находится l :


Длина плиты l = 0,419 м найдено из условия обеспечения зон уплотнения грунта.

Далее находим скорость уплотнения Vупл исходя из условия обеспечения требуемой степени уплотнения грунта.

Для этого определим минимально необходимое число вибровоздействий на грунт, при котором возможно получение требуемой степени уплотнения:


где ε - требуемая степень уплотнения (принят ε = 0, 145 );

D, E - эмпирические коэффициенты, зависящие от вида грунта и способа вибровоздействия. Для щебня D = 3300, E = 10 ;

λ - коэффициент, определяющий степень использования воздействия плиты (λ = 2);

ψ - коэффициент, определяющий долю объёма материала охватываемого относительными перемещениями (ψ = 1);

.

Находится время воздействия tв,с :


где ω - угловая частота колебаний виброплиты, с-1:


где f - частота колебаний (принимается f = 27…23 Гц);

Тогда :

Находится Vупл рабочую скорость уплотнения машины по формуле:


Принимается длина плиты l=0,419 м и рабочая скорость уплотнения Vупл=0,175м/c обеспечивающие требуемое число вибровоздействий на уплотняемый грунт.

.14.4 Режим вибротрамбования грунта

К параметрам, характеризующим режим вибротамбования, относятся: амплитуда Sa , частота колебаний f и рабочая скорость уплотнения Vупл.

Для обеспечения наивысшего эффекта уплотнения значение Sa , f, Vупл должны находиться между собой в определённом соотношении.

Рекомендуемые значения амплитуды Sa , частоты колебаний f скорости уплотнения Vупл находятся в пределах: Sa = 4…8 мм, f = 25...40 Гц, Vупл = 70 …200 мм/с .

Предварительно принимается: Sa = 4 мм, f = 25 Гц.

Должно выполняться условие:


условие выполняется.

Окончательно принимается: Sa = 4 мм, f = 25Гц, Vупл=175 мм/с.

.14.5 Корпус плиты

Основная цель компоновки корпуса плиты - это определение его возможных размеров, с учётом которых разрабатывается возбудитель колебаний. Определению подлежат: высота корпуса HК, длина LК и ширина BК (рисунок 2.1). Высота корпуса HК зависит от его длины и определяется габаритными размерами вибровозбудителя, необходимостью расположения шарнирных соединений рессорных комплектов с плитой.

В первом приближении принимается:


где LК - длина корпуса, м (конструктивно принято Lk=0,419 м);

γ - угол наклона нижней стенки плиты к горизонтальной плоскости, град (γ≈8˚).

Ширина корпуса BК определяется исходя из необходимости обеспечения безопасности производства работ при вибротрамбовке грунта.

Максимально возможная ширина корпуса конструктивно принимаем примерно равной ширине ковша Вк ≈ 2,5 м

В процессе разработки возбудителя колебаний размеры корректируются.

При транспортировке машины плита не должна выходить за приделы габаритов ковша и базовой машины.

1.14.6 Разработка возбудителя колебаний

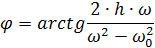
Для дебалансного возбудителя рассчитывается требуемая вынуждающая сила FВ и, соответственно, конструкция дебалансов, обеспечивающих колебания виброплиты, с заданной амплитудой.

При вращении дебалансов с угловой частотой ω и амплитудой Sa суммарная вынуждающая сила составит:


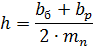
где mn - приведенная масса колеблющихся элементов, кг;

ωo - частота свободных колебаний плиты с учётом жёсткости грунта, с-1;

h - коэффициент демпфирования, с-1.

Находим mn:

mn = an ·m

где    m -масса корпуса плиты с вибровозбудтелями, кг (m ≈ 150 кг);

aп - коэффициент приведения (aп=1,15).

mn = 1,15·150=172,5 кг.

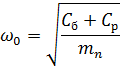
Находим ωo:


где Cр - приведенный коэффициент жёсткости виброподвески (принят Cр = 1·106 Н/м);

Cб - приведенный коэффициент жёсткости грунта, Н/м:

Cб = Cуд · a · l · kгр

где b - толщина плиты, м (a=0,026 м);

l - длина плиты, м (l=0,419 м);

Cуд - удельный коэффициент жёсткости груна, Н/м4 , принимается по графику, (Cуд= 3·107 Н/м3 );

kгр - переводной коэффициент зависящий от модуля деформации грунта, для несвязных грунтов (щебня) kгр ≈ 0,1

Cб = 3·107 ·0,1· 0,026 · 0,419 = 32,7 ·104 Н/м .

Тогда:

Далее находится коэффициент демпфирования h:


где bб , bр - соответственно коэффициент сопротивлений грунта и плиты, Н·с/м (принят bр = 5·103 Н·с/м [5]).

bб = bуд·kгр ·b · l

где bуд - удельный коэффициент вязкостных сопротивлений, Н·с/м4, принимается по графику , при :


bуд = 12 · 104 Н·с/м4.

bб = 12·104 · 0,1· 0,026 · 0,419 = 0,13·103 Н·с/м .

Тогда:

В итоге получили:

Принята FВ ≈ 17 кН.

По найденной FВ и принятой компоновке вибровозбудителя найдём вынуждающую силу одного дебаланса FВ’:

FВ’ = FВ / n

где n - принятое число дебалансов (n=4).

FВ’ = 17 / 4 = 4,25 кН .

1.14.7 Компоновка дебалансов

Для устранения действия горизонтальной составляющей возмущающей силы применяются вибраторы с направленным действием возмущающей силы. Простейшим вибратором такого типа является двухвальный вибратор. Валы, на которых установлены дебаланса, соединены зубчатыми колесами и вращаются в противоположные стороны с одинаковой угловой скоростью. При этом горизонтальные составляющие возмущающей силы Fх (если равны массы дебалансов) всегда будут равны по величине, но противоположны по направлению, следовательно, они будут взаимно уравновешивать одна другую. Вертикальные составляющие возмущающей силы также будут иметь одинаковую величину, но в противоположность горизонтальным их направление будет совпадать. Вследствие этого вибратор получает направленное действие сил инерции, причем линия действия всегда будет перпендикулярна к прямой, соединяющей геометрические центры валов дебалансов.

Неуравновешенные части дебалансов в сечении имеют форму кругового сектора. Значение r0 (расстояние от оси вращения до центра тяжести дебаланса) зависит от угла сектора φ0 внешнего Rв и внутреннего rв радиусов дебаланса.

Угол φ0 по рекомендациям назначается 120˚. Радиус Rв предварительно определяется выражением:

Rв = 0, 36· l - δД - bК

где δД - зазор между дебалансом и стенкой корпуса, м (δД = 0,045 м);

bК - толщина корпуса виброплиты, м (bК = 0,01 м).

Rв = 0,36·0,419 - 0,045 - 0,05 = 0,0554≈ 0,055 м.

Риc. 15 - Схема компоновки дебалансов

Расстояние от оси вращения до центра тяжести дебаланса:


Внутренний радиус дебаланса:


где δст - толщина ступицы, м (принимается конструктивно δст≈0,01 м)

dв - диаметр вала дебаланса, (предварительно принимается dв=0,03м);

Тогда:

Зная необходимую возмущающую силу ≈ 850 кг одного вибратора и расстояние от оси вращения до центра тяжести дебаланса найдем массу дебаланса:


где m - масса одного дебаланса в кГ-сек2/м;

γ - угол при котором возбуждающая сила максимальна, град;

r0 - расстояние от оси вращения до центра тяжести дебаланса в м;

n - частота вращения дебаланса в минуту.

Вес колеблющихся частей существенно влияет на процесс вибротрамбования грунта. Если вес окажется недостаточным, то требуемая плотность грунта не может быть достигнута ни за счет уменьшения толщины уплотняемого слоя грунта, ни за счет увеличения времени вибротрамбования.

Площадь дебаланса, м2 :

Длина дебаланса, м:


где ρ - плотность металла, кг/м3 (ρ =7800 кг/м3).

Мощность, необходимая при вибротрамбовании грунта.

Затраты мощности при вибротрамбовании представлены в виде:

Рв = Рб + Pвс

где Рб - средняя мощность, необходимая для преодоления сопротивлений колебаниям виброплиты от балласта и рессорной подвески, Вт;

Pвс - мощность, необходимая для преодоления внутренних сопротивлений вибровозбудителя, Вт.


где φ - фаза вынужденных колебаний по отношению к фазе возмущающей силы, град;

Fв - максимальная вынуждающая сила, Н (Fв=17·103Н).