Материал: Усовершенствование экскаватора-погрузчика JCB 4 CX

Внимание! Если размещение файла нарушает Ваши авторские права, то обязательно сообщите нам

Расчетная вместимость ковша подсчитывают по формуле:

 м3

1.8. Тяговый баланс и баланс мощности


1.      На тяговом режиме работы погрузчика сумма всех сопротивлений:


где WBH - сопротивление внедрению ковша в штабель

Wf - сопротивление качению колес

Wh - сопротивление при движении на подъем


где KBH - удельное сопротивление внедрению (20 кПа для известняка)

KФ - коэф. формы ковша

В - ширина ковша

LВН - глубина внедрения

a - коэф. учитывающий плотность и аброзивность материала

С - коэф. крупности (1,25 для кусков  200 мм)


где f - коэф. сопротивления качению

G - вес погрузчика

 - угол наклона поверхности движения к горизонту


Расчет ведется при работе погрузчика на горизонтальной площадке.

Сопротивление преодолеваются окружной силой движителя Рк,

Поэтому, приравнивая Рк=, получаю


На преодоление сопротивления внедрению расходуется часть силы тяги движителя, т.е. свободная сила тяги Тс. Тогда, пологая, что Wк=Тс, получается:


Напорное усилие погрузчика по двигателю:


где Ne max - наибольшая эффективная мощность двигателя

Vp - рабочая скорость внедрения погрузчика

 - расчетное буксование

 - КПД трансмиссии

GП - вес погрузчика

f - коэф. сопротивления качению

Напорное усилие по сцепному весу:


где  - коэф. сцепления движителя с опорной поверхностью

Напорное усилие по двигателю Тн=91,4кН

Зависимость между мощностью двигателя Ne и мощностью, подводимой к движителю Nк:


где  - механический КПД трансмиссии привода колесного движителя


где NT - тяговая мощность, расходуемая на внедрение ковша в штабель

Nf - тяговая мощность, расходуемая на преодоление сопротивления качению

Nб - тяговая мощность, расходуемая на буксование движителя

Nh - тяговая мощность, расходуемая на преодоление сопротивления подъему


где VД - действительная скорость ведущих колес (0,8VT)


Где VT - теоретическая скорость ведущих колес


Подставляю значения в общее выражение баланса мощности:


Машина работоспособна

.На транспортном режиме работы погрузчика сумма всех сопротивлений:


где  - сопротивление воздуха движению


где - коэф. обтекаемости =0,06-0,07

F - площадь лобового сопротивления  ширина колеи х высоту машины

++

Баланс мощности на транспортном режиме


где - мощность на преодоление сопротивления воздуха движению


При движении на высшей передаче буксованием можно пренебречь ()

Подставляю значения в общее выражение баланса мощности:


15(л.с)

Вывод: Машина работоспособна.


1.9 Расчет устойчивости

.9.1 Устойчивость по погрузочному оборудованию

Во время рабочего процесса погрузчик перемешается на почти горизонтальных площадках, допустимый уклон которых не должен превышать 3° (СНиП IIIA - 11-70). Расчет продольной устойчивости погрузчиков ведется из условия опрокидывания вперед (рис. 5.26) с учетом того, что деформируются пневматические шины, если ход пневмоколесный.

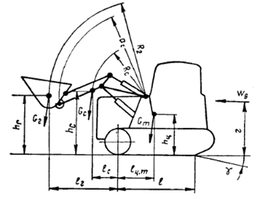
Рис.1.7 - Схема при опрокидывании вперёд

Угол дополнительного наклона погрузчика вперед вследствие деформации опор определяется соотношением


где Gп - сила тяжести погрузчика с грузом;

Сп, С3 - жесткость грунта под передним и задним катками гусеничного    хода либо радиальная жесткость передних и задних пневматических       шин погрузчика на пневмоколесном ходу;

l - база погрузчика;

lц.т - расстояние между центром тяжести погрузчика и вертикальной осью, проходящей через точку опрокидывания.

Обычно наибольшее значение γупр не превышает 1,5°. Поэтому при расчете продольной устойчивости гусеничного и пневмоколесного погрузчиков


Здесь γо - уклон погрузочной площадки;

γупр - дополнительный наклон погрузчика вследствие деформации опор.

Наименьшим запасом продольной устойчивости обладает погрузчик в случае движения под уклон с одновременным торможением машины и рабочего оборудования при его опускании. Положение рабочего оборудования при этом соответствует максимальному вылету (см. рис. 5.26). Тогда


Где Gm - сила тяжести тягача с противовесом и неподвижными частями навесного оборудования погрузчика;

Gг - сила тяжести груза (с учетом веса виброплиты);

Gc - сила тяжести подвижных частей рабочего оборудования (ковш, стрела, тяги, рычаги, гидроцилиндры);

lц.т,lг, lс, hц, hг, hс-плечи соответствующих усилий (см. рис. 5.26);

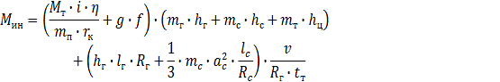
Мин - момент сил инерции относительно ребра опрокидывания;

Мв - момент, вызванный ветровой нагрузкой.


Здесь kз - коэффициент заполнения контура наветренной площади погрузчика, kз = 0,9...0,95;

Fбр - наветренная площадь погрузчика, ограниченная его контуром,м2;

k - коэффициент аэродинамических сопротивлений, k =1,2;

рв - расчетное давление ветра, принимаемое по ГОСТ 1451-77, рв = 450 Па ;

r - плечо приложения ветровой нагрузки.

Момент сил инерции находится по соотношению


где Mт - тормозной момент остановочных тормозов;

i, η - передаточное число и к. п. д. части трансмиссии между тормозом и ведущим колесом;

mп - общая масса погрузчика с рабочим оборудованием и грузом,


rк - радиус ведущего колеса;

f - коэффициент сопротивления движению;

mг, mс, mт - массы груза, подвижных частей рабочего оборудования и

v - скорость опускания груза;

tт -время торможения стрелы, tт = = 0,2...0,3 с.

Тогда

Условие выполнено, монтаж дополнительного противовеса не нужен.

1.9.2 Устойчивость по экскаваторному оборудованию

Выход ковша из забоя

Сила копания при послойном заполнении ковша определяется как сумма трех составляющих сил:

Рк=Р+Рз+Рпр

где Р - сила резания

Рз - сопротивление заполнению ковша грунтом

Рпр - сопротивление призмы волочения

Для определения касательной составляющей сопротивления грунта копанию, в этом случаи, пригодна зависимость:


где С - число ударов динамического плотномера

h - толшина срезаемой стружки , см

B - ширина ковша, м

 - угол резания, град

z - коэф. учитывающий схему установки зубьев на вертикальном профели

 - коэф. учитывающий технологию разработки грунта

Расчетная толщина стружки одинаковой по всей дуге траектории ковша определяют по формуле:


где q - емкость ковша, м3

lр - длина рукояти, м

lк - длина ковша, м

- угловое перемещение рукояти за одну операцию копания, для обратных лопат

 - угловое перемещение рукояти

Силу сопротивления заполнению можно найти как:

=164500*0,69*0,095=10783Н

где  - удельное сопротивление стружки продольному сжатию

где С - число ударов динамического плотномера

Сопротивление призмы волочения зависит от технологических факторов: откоса забоя, направления движения ковша (вверх или вниз). Приближенно его можно определить по формуле:


q=0,3*0,28=0,084 м3

где q - объем призмы, м3

 - плотность рыхлого грунта, кг/м3

 - коэф. внешнего трения грунта о грунт

Ориентировочно объем призмы можно принять равным 0,3…0,4 от геометрической емкости ковша.

Рк=

Рис.1.8. - Схема для расчёта устойчивости по экскаваторному оборудованию


Экскаватор устойчив.

.9.3 Разгрузка



Экскаватор устойчив.

1.9.4 Движение под уклон


Рис.1.9. - Движение под уклон


Экскаватор устойчив

.9.5 Движение на подъем


Рис.1.10. - .Движение на подъем


Экскаватор устойчив

1.10 Определение нагрузок на рабочее оборудование


Выглубляющее усилие Nв - усилие, развиваемое гидроцилиндрами поворота и приложенное на режущей кромке основного ковша, обычно существенно превосходит грузоподъемность машины.

Для погрузчиков на стреле выглубляющее усилие в соответствии с номинальной грузоподъемностью составляет:

Nв = (2,0...3,0)Qн Н.

Принимаем Nв=30000 Н.

Подъемное усилие Nп - усилие на режущей кромке ковша, развиваемое гидроцилиндрами стрелы и определяемое по устойчивости машины, приближенно может быть определено по номинальной грузоподъемности:

п = (1,8...2,3)Qн, Н

Удельное напорное усилие на кромке ковша

,

Где Тсц - наибольшее тяговое усилие по двигателю или сцепному весу;

В - наружная ширина рабочего органа.

Удельное выглубляющее усилие на кромке ковша:

.

Рекомендуемые значения удельных напорных и выглубляющих усилий для основного ковша в зависимости от типоразмеров и типа ходовой части приведены в таблице 1.5

Таблица 1.5. Рекомендуемые значения удельных напорных и выглубляющих усилий.

Параметры

Ходовая часть

Грузоподъемность, кН,



До 30

40..60

Свыше 60

Удельное напорное усилие, кН/см,

Гусеничная Колесная

0,25…0,4 0,15…0,3

0,4…0,6 0,25…0,4

Свыше 0,6 Свыше 0,4

Удельное выглубляющее усилие, кН/см

Гусеничная Колесная

 0,20…0,35

 0,25…0,4

 Свыше 0,3


Рекомендуемые значения qT и qВ, превосходят значения несущей способности материалов и грунтов благодаря чему строительные погрузчики могут быть использованы не только для погрузочных и для землеройно-транспортных работ.