Материал: Усовершенствование экскаватора-погрузчика JCB 4 CX

Внимание! Если размещение файла нарушает Ваши авторские права, то обязательно сообщите нам

В зависимости от выбранной рабочей схемы время цикла будет различным.

Рассмотрим каждую схему работы фронтального погрузчика.

А) Схема работы с поворотом на угол 45-50˚.

1/2+

Б) Челночная схема работы

+

В) Схема работы с поворотом на угол 45-50˚.

1/2+

Г) Схема работы с поворотом на угол 90˚.

+

Д) При спаренной установке ТС

+

Е)Челночным способом с разгрузкой в сторону (для гусеничных погрузчиков)

+

Далее рассчитаем производительность для каждой схемы работы:


А) Схема работы с поворотом на угол 45-50 град.

Б) Челночная схема работы

В) Схема работы с поворотом на угол 45-50 град.

Г) Схема работы с поворотом на угол 90 град.

Д) При спаренной установке ТС

Е)Челночным способом с разгрузкой в сторону (для гусеничных погрузчиков)

Как видно из расчётов, самая выгодная схема работы для одноковшовых фронтальных погрузчиков с пневматическими шинами - челночная, самая не выгодная - с поворотом на угол 90 град

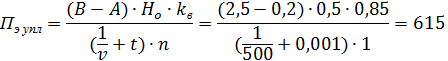
Эксплуатационная производительность уплотнительных работ, м3/ч:


где В - ширина укатываемой полосы в м;

А - величина перекрытия в м(А = 0,2м);

Но - оптимальная толщина слоя грунта в плотном теле в м;

kв - коэффициент использования рабочего времени (кл = 0,85);

v - рабочая скорость в м/ч;

t - время, затрачиваемое на переключение передач в конце участка, в ч ( t = 0,001 ч);

n - необходимое число проходов .

1.16 Предложения по автоматизации рабочих процессов экскаватора - погрузчика


Одноковшовые экскаваторы выполняют до 38% земляных работ в строительстве. Процесс копания у одноковшовых экскаваторов состоит из двух операций - заглубления ковша и его перемещения по забою. При заглублении ковш должен создавать ровную поверхность у подошвы забоя, что ведет к уменьшению затрат на планировку перед передвижкой экскаваторов (при ручном управлении экскаваторами на зачистку и планировку дна котлована после копания остается слой фунта до 20 см). В процессе копания ковш должен быть заполнен при минимальных затратах энергии и за минимальное время. Максимально возможная производительность и лучшие энергетические показатели достигаются при правильном сочетании подъемного и напорного движений. Поэтому внедрение на экскаваторах микропроцессоров и лазерных информационно-измерительных устройств для управления процессом копания позволяет повысить точность и качество выполняемых работ, снизить трудозатраты и численность обслуживающего персонала. В одноковшовых экскаваторах используются различные виды указанных устройств.

В одном случае при автоматизации работы экскаватора с обратной лопатой на рытье траншей приемник лазерного излучения крепится на ковше экскаватор. Лазерный излучатель устанавливается на дне траншеи в начале ее разработки с направлением пучка лазера вдоль оси траншеи с проектным углом наклона. В кабине машиниста располагается информационно-индикаторное устройство, на экране которого по положению (перемещению) лазерного пятна определяет величину и направление отклонения ковша от заданных отметок и устанавливает ковш в требуемое положение.

Другая автономно-копирная система управления одноковшовым экскаватором по лучу лазера состоит из лазерного излучателя, информационно-измерительного устройства с датчиками, установленными в шарнирах крепления рабочего оборудования, механизма перемещения фотоприемного устройства, а также микропроцессорного устройства, реализующего заданный закон управления рабочим процессом машины. Во время работы микропроцессорное устройство по сигналам датчиков вырабатывает управляющие сигналы, поступающие на исполнительные устройства, для поддержания заданной глубины копания и требуемого угла резания. Рабочие параметры высвечиваются на дисплее. При этой системе копание производится вручную но индикатору глубины копания, а на зачистных операциях включается автоматическая система управления, обеспечивающая заданную глубину копания, прямолинейность траектории движения режущей кромки ковша и заданный угол резания.

Наибольшую эффективность использования экскаваторов с лазерными системами дает применение бортовых микрокомпьютеров. В этом случае в память компьютера вносятся все необходимые данные, такие как геометрические размеры котлована, углы откосов, емкость, угол поворота, высота подъема ковша и т.н. Тогда во время работы в компьютер автоматически поступают сигналы с фотоприемника, а затем на исполнительные устройства для «моментальной» корректировки выполняемого процесса по отрывке траншеи или котлована.

Компания Торсоп разработала «спутниковую» систему управления экскаватором (через GPS). Бортовой комплект состоит из бортового компьютера, приемника с двумя антеннами, четырех датчиков-акселерометров, монтажных кронштейнов и соединительных кабелей. Достоинством этой системы является возможность быстрого монтажа и настройки компонентов системы, быстрая установка и калибровка системы. Но существуют и недостатки. Во-первых, данная система предназначена только для гусеничных экскаваторов, во-вторых, необходимо дополнительное оборудование за пределами машины (базовая станция, ведущая в эфир информацию и нескольких опорных точек с известными координатами в системе координат проекта).

Для гидравлических одноковшовых экскаваторов и погрузчиков, выполняющих длительные работы с постоянно повторяющимися циклами, разработана компьютерная система управления погрузочными работами. Наиболее эффективно эта система используется при прокладке траншей, планировке откосов, погрузке разрабатываемых материалов в транспортные средства, в шахтах и т.н. Она позволяет освободить машиниста от ручного управления при многократных повторениях выполняемых операции. Однако при использовании такой системы заполнение ковша происходит в ручном режиме. Кроме того, необходимо каждый раз «переобучать» систему при изменении каких-либо внешних факторов (смена самосвала, перемещение экскаватора и т.д.).

Для повышения эффективности использования гидравлических одноковшовых экскаваторов при выполнении планировочных и зачистных работ на них устанавливается автоматизированная система управления рабочим органом. Эта система выполнена с однопроводной управляющей связью и состоит из датчика положения ковша, датчиков положения рукояти и стрелы, каната управляющей связи, рычага и аппаратуры управления гидрораспределителем ковша. Данная следящая система позволяет сохранить первоначальное положение режущей кромки ковша при изменении положения рукояти.

Все перечисленные выше системы обладают одним общим недостатком: в них нет системы мониторинга текущего состояния экскаватора. А отсутствие же контроля текущего состояния может привести к тяжелым повреждениям (вплоть до аварии). Кроме того, все эти системы не способны отреагировать на появление препятствия на пути рабочего органа. Необходимо разработать математическую модель, которая будет точно описывать текущее состояние экскаватора исходя из входных данных, поступающих с датчиков. Построенная модель сможет служить базой для синтеза системы автоматизации экскаватора, которая сможет не только управлять скоростью и направлением перемещения рабочего оборудования, но и отслеживать текущее состояние машины.

Глава 2. Технологический процесс изготовления детали

.1 Обоснование выбора способа изготовления заготовки


Метод выполнения заготовок для деталей машин определяется назначением и конструкцией детали, материалом, техническими требованиями, масштабом и серийностью выпуска, а также экономичностью изготовления.

В нашем случае втулка сделана из стали 35 ГОСТ 1050-88. Двухзначное число-среднее содержание углерода в сотых долях процента. Заменитель: стали 30,40,35Г.

Данная деталь устанавливается в отверстии корпуса муфты механизма отбора мощности строго перпендикулярно установочной поверхности корпуса посредством 3-х винтов. Отверстие, выполненное по 7 квалитету, является основным, т.е. по нему происходит соединение втулки с другими деталями, т.е. устанавливается подшипник скольжения.

Данная втулка не большого размера. Наибольший наружный диаметр 32мм, наибольшая разница диаметров составляет 14 мм. При изготовлении мелких деталей класса « втулки» (d<50 мм) применяют сортовой прокат (либо пруток, либо труба). Трубу в данном случае применить не удастся, т.к. трубы Ø32 с толщиной стенки 12 мм в сортаменте нет.

Хотя штамповка имеет ряд преимуществ перед ковкой, в единичном и мелкосерийном производствах ковка обычно экономически более целесообразна. Объясняется это тем, что при ковке используют универсальный (годный для изготовления различных поковок) инструмент, а изготовление специального инструмента (штампа) при небольшой партии одинаковых поковок экономически невыгодно. Поковки средней и малой массы изготовляют из блюмов и сортового проката квадратного, круглого или прямоугольного сечения. Однако не тот, не другой способ не обеспечивают получение размеров с необходимой точностью (Ø32-0,15).

Отливки в землю или центробежное литье не подходит т.к. применяется для деталей больших размеров и сложной конфигурации. Стальные отливки сложной формы весом 50 - 500 г рекомендуется отливать по выплавляемым моделям, при этом обеспечиваются 11 - 12 квалитет точности и шероховатость Ra = 20¸40 мкм.

Таким образом, анализируя вышесказанное, принимаю решение провести сравнительный анализ 2-х видов заготовки: сортовой прокат (круг калиброванный, х/катаный ГОСТ 7417-75 Ø32) и отливка по выплавляемым моделям. Оба эти метода позволяют не обрабатывать резанием поверхность Ø32-0,15.

.1.1 Определение стоимости заготовки

Для определения стоимости надо вычислить массу заготовки, а значит, ее размеры, которые назначаются исходя из припусков на размеры.

В этом разделе определяю припуски приближенно табличным методом согласно [(22), стр. 581¸584, табл. 1 - 4]:

Вариант № 1. Прокат.

Диаметр прутка, как уже было сказано выше, принимаю Dз = 32-0,15 мм.

С учетом ширины отрезного резца, а = 3 мм, принимаю длину заготовки

Lз = 28 мм.

Вариант № 2. Отливка.

Поверхность Ø32-0,15: диаметр исходной отливки Dз1 = 32-0,15 мм отливается без последующей механической обработки, длина Lз1 = 8,6 мм;

Поверхность Ø18 h11: диаметр исходной отливки Dз2 = 21-0,52 мм, длина

Lз2 = 8,6 мм;

Поверхность Ø20 h9: диаметр исходной отливки Dз3 = 24-0,52 мм, длина

Lз3 = 8,6 мм.

Определяю объемы заготовок и их массу:

Вариант № 1. Прокат.

Объем заготовки:

;

Масса заготовки


Вариант № 2. Отливка.

Объем заготовки получается как сумма объемов составных частей:


Объем заготовки общий:


Масса заготовки:

Определяю стоимость заготовок:


Вариант № 1. Прокат.

S - цена 1 кг материала заготовки, руб.

q - масса готовой детали, кг;

Sотх - цена 1 тонны отходов, руб.

Принимаю S = 0,16 руб. [(3), стр. 32, табл. 9], Sотх = 14,4 руб. [(18), стр. 33, табл. 10], q = 0,067 кг.

Тогда

Коэффициент использования материала


Вариант № 2. Отливка.


C2 = 1600 руб. - базовая стоимость одной тонны заготовок [(18), стр. 36];

kт = 1,1 - коэффициент, зависящий от класса точности заготовки [(18), стр. 36];

kс = 1,0 - коэффициент, зависящий от группы сложности отливки [(18), стр. 36, табл. 13];

kв = 1,0 - коэффициент, зависящий от массы заготовки [там-же];

kм = 1,0 - коэффициент, зависящий от материала [18), стр. 36];

kп = 1,23 - коэффициент, зависящий объема производства [(18), стр. 37].

Тогда


Коэффициент использования материала


Результаты расчетов свожу в таблицу.

Табл. 6. Сравнение вариантов метода получения заготовки.

Наименование показателей

1-й вариант

2-й вариант

Вид заготовки

Прокат

Отливка

Эскиз

Масса заготовки, кг

0,176

0,108

Коэффициент использования материала

0,38

0,62

Стоимость заготовки, руб.

0,0266

0,2332

Годовая экономия материала, кг.

-

204

Экономический эффект от стоимости, руб.

619,8

-

Наиболее выгодный метод получения заготовки

Прокат