Материал: Усовершенствование экскаватора-погрузчика JCB 4 CX

Внимание! Если размещение файла нарушает Ваши авторские права, то обязательно сообщите нам

где h - коэффициент демпфирования, с-1 (h = 14,8 с-1);

ω0 - частота свободных колебаний плиты с учётом жёсткости балласта, с-1 (ω0=87,7 с-1).

По формуле (2.23) находится:

Мощность P’BC находится по формуле:


где P0 - мощность, необходимая для преодоления диссипативных сопротивлений вращению, Вт.

Р0 =0,5·Fв · dв·ω ·fn,

где fn - приведённый коэффициент трения в подшипниках дебелансного вала, fn = 0,001 ( [3] стр.148).

P0 = 0,5·17·103·0,018 ·157·0,001 = 24 Вт

Находится PВМ :

PВМ = 0,02 · P0

PВМ = 0,02 · 24 = 0,5 Вт

Находим Р33 по формуле:


где ηз - КПД зубчатой передачи синхронизатора (ηз = 0,96 - [2] стр. 23);

m - количество зубчатых зацеплений (m=3).

Pзз= (1542,9 +24) · (1 - 0,963) = 180,6 Вт.

Тогда:

Pвс’ = 24 + 0,5 + 180,6 = 205,1 Вт.

В итоге суммарные затраты мощности равны:

Pв = 1542,9 + 205,1 = 1748 Вт.

В некоторые моменты работы виброплиты могут возникнуть ситуации, такие как совпадение фазы вынужденных колебаний с фазой возмущающей силы.

Максимально возможные значения Рб возможно при sin 2 φ0 =1:

Максимально возможные потери мощности в зубчатом зацеплении:

P33max = (3877,8+24)(1-0,963) = 449,7 Вт.

Тогда мощность PВС’ max:

PВС’ max = 24 + 0,5 + 449,7 = 474,2 Вт.

В итоге максимально возможная мощность, затрачиваемая на вибротрамбовку грунта равна:

Pв max = 3877,8 + 474,2 = 4352 Вт.

Для того чтобы учесть возрастание сопротивления на уплотнение грунта, при попадании плиты в резонанс, при выборе двигателя возьмём среднее значение мощности Pв ср:

Pв ср = (1748+4352)/2 =3050 Вт ≈3,1 кВт.

Потребная мощность двигателя вибровозбудителя трамбовочной плиты:

Pв ср = Pв ср / ηn

где ηn - КПД передачи от двигателя до ведущего вала вибровозбудителя (ηn = 0,98).

Pдв = 3,1/0,98 =3,16 кВт.

.14.8 Подбор гидравлического мотора привода виброплиты

В соответствии потребной мощности привода выбирается нерегулируемый аксиально-поршневой мотора МГ.3.12/32.

Рис.16-Габаритные размеры нерегулируемого аксиально-поршневого мотора МГ.3.12/32.

Таблица 6. - Характеристика нерегулируемый аксиально-поршневой мотора МГ.3.12/32

Параметры

МГ.3.12/32

Рабочий объем, см3

12

Номинальная частота вращения, с-1 (об/мин}:

33 (2000)

Номинальный расход, л мин

30

Давление на входе, МПа: номинальное максимальное

 15 20

Номинальная мощность, кВт: эффективная, не менее

 9,3

Крутящий номинальный момент, Н·м.

36

Тонкость фильтрации, мкм

25

Масса, кг

7


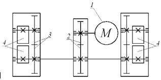
Учитывая разность частоты вращения валов дебалансов и частоты вращения вала двигателя устанавливается дополнительный вал с зубчатым колесом понижающий частоту вращения вала дебаланса (рисунок 3.4).

- гидромотор; 2 - понижающая зубчатая передача; 3 - синхронизирующая зубчатая передача; 4 - дебалансы;

Рис.17- Кинематическая схема привода виброплиты.

1.15 Расчёт цилиндрической зубчатой передачи привода вибротрамбовки.

.15.1 Определение параметров привода

Общее передаточное число привода:


uпр=

uпр=

По ГОСТ 2185-66 возьмём стандартные значения передаточных чисел (uцил=1,35)

Отклонение стандартного значения 0передаточного числа от фактического значения передаточного числа не должно превышать 4%. В данном случаи

Крутящий момент на приводном валу:

Tпр = T2

Крутящий момент на ведущем шкиве ремённой передачи (на валу электродвигателя)

Крутящий момент на входном валу мотора:


T1 = 36∙0,95=34,2 Н·м.

Крутящий момент на выходном валу редуктора:

T2 = 36∙1,35∙0,97=47,14 Н·м.

.15.2 Выбор материалов и определение допускаемых напряжений

По типу производства назначаем вид термообработки: для серийного производства - улучшение для колеса и закалка ТВЧ для шестерни (Токи Высокой Частоты).

Для изготовления колёс принимаем сталь 40Х, как наиболее распространённую в общем редукторостроении.

Шестерня: HRC1 = 45; sв = 1500 МПа; sт = 1300 Мпа.

Колесо: HВ2 = 250; sв = 850 МПа; sт = 550 Мпа.

Определение допускаемых контактных напряжений для шестерни:


Закалка ТВЧ:

sH lim b 1 = 17·+200 = 17·45+200 =965 МПа

(предел выносливости по контактным напряжениям).

SH 1 = 1,2 (коэффициент запаса безопасности).

NHE 1 =

NHE 1 = 60·2000·735·(2,23·10-4+13·0,4+0,63·0,4+0,33·0,2) = 326·106

(эквивалентное число циклов).

m=9 (показатель кривой усталости), так как HB>350.

NHO 1 = 30·(10)2,4 = 30·(10·45)2,4 = 70·106 (базовое число циклов).

Так как NHE1>NHO1, то KHL 1 = 1 (коэффициент долговечности).

= 804 МПа.

Определение допускаемых контактных напряжений для колеса:


Улучшение:

sH lim b 2 = 2·+70 = 2·250+70 =570 МПа.

SH 2 = 1,1.

NHE 2 = = 93·106.

NHO 2 = 30·()2,4 = 30·2502,4 = 17,1·106.

Так как NHE2>NHO2, то KHL 2 ==1.

=578 МПа.

Расчётное значение допускаемых контактных напряжений:

[sH]р = [sH]min

[sH]р = [sH]min = 518 МПа.

Допускаемые контактные напряжения при перегрузке:

[sH]max 2 = 2,8·sТ

[sH]max 2 =2,8·550 =1540 МПа.

[sH]max 1 = 40·HRC

[sH]max 1 =40·45 =1600 МПа.

1.15.3 Допускаемые изгибные напряжения для шестерни и колеса

Определяем допускаемые значения для шестерни:


sF lim b 1 = 650 МПа.

SF1 = 1,75 (коэффициент запаса).

KFC1 = 1, так как передача нереверсивная.

NFO1 = 4·106.

1 =

1 = 60·1500·735·(2.29·10-4+0,4+0.69·0,4+0,39·0,2) = 347·106.

Так как NFE1>NFO1, то KFL1=1.

[sF]1 = 371,4 МПа.

Определяем допускаемые значения для колеса:

sF lim b 2 =1,8∙

sF lim b 2 =1,8∙250=450 МПа.

Допускаемые изгибные напряжения при перегрузке:

[sF]max = 0,6·sв

[sF]max = 0,6·1500 = 900 МПа.

SF2 = 1,75 (коэффициент запаса).

KFC2 = 1, так как передача нереверсивная.

NFO2 = 4·106

2 = 99·106.

Так как NFE2>NFO2, то KFL2=1.

[sF]2 = 260 МПа.

Допускаемые изгибные напряжения при перегрузке:

[sF]мах1=0,6·sв1

[sF]мах1 = 0,6·1500=900 МПа.

[sF]мах2=0,8·sт2

[sF]мах2=0,8·550=440 МПа.

1.15.4 Расчёт цилиндрической прямозубой передачи

1. Проектный расчёт цилиндрической прямозубой передачи

Межосевое расстояние

 = 490 МПа.

KHb = 1,2 (коэффициент, учитывающий концентрацию нагрузки).

yba = 0,315 (коэффициент ширины колеса).

82,4 мм.

По рекомендации выбираем стандартное рекомендуемое межосевое расстояние астω= 80 мм.

. Назначаем нормальный модуль по соотношению:

mn = (0,01…0,02)·аw

mn = (0,01…0,02)·80 = (0,8…1,6) мм

По ГОСТ 9563-80 принимаем стандартный m = 1.

. Определяем число зубьев шестерни и колеса

Число зубьев шестерни:


z1 = 68,08.

Принимаем z1 = 68.

Число зубьев колеса:

z2 = u·z1 = 1.35·68 = 91,8.

Принимаем z2 = 92.

. Уточняем передаточное число

uф =1.35.

Отклонений от требуемого u нет (допускается 4%).

. Определяем диаметры делительных окружностей колёс

d=mn·z

d1 = mn ·z1 = 1·68 = 68 мм.

d2 = mn ·z2 = 1· 92 = 92 мм.

. Проверка межосевого расстояния

аw = 0,5·(d1+d2) = a стω

аw = 0,5·(68+92) = 80 мм = астω.

7. Определяем ширину зубчатых колёс

b2 = yba·aw = 0,315·80 = 25,2 мм.

По ГОСТ 6636-69 округляем до стандартного значения

b2 = 25 мм.

Ширину зубчатого венца шестерни назначим на (5…8) мм. больше

b1 = b2+(5…8) = 25+(5…8) = (30…33) мм. принимаем

b1 = 30 мм.

Проверочный расчёт передачи проводим в соответствии с ГОСТ 21354-75.

Проверка передачи на контактную выносливость:

ZH=

(коэффициент, учитывающий форму сопряжённых поверхностей зубьев).

aw = 20° (угол зацепления).

ZH =1,76.

ZM =

(коэффициент, учитывающий механические свойства материалов сопряжённых колёс, МПа).


(приведенный модуль упругости).

E1 = E2 =2,1·105 МПа.

Eпр=2,1·105 МПа.

m = 0,3 (коэффициент Пуассона).

ZM =271,1 МПа.

Ze = (коэффициент, учитывающий суммарную длину контактных линий).

 (коэффициент торцевого перекрытия).

ea =1,7.

Ze =0,9.

(окружная сила).

Ft =≈1020 Н.

KH = KHb·KHV (коэффициент нагрузки).

KHb - коэффициент концентрации нагрузки.

K- коэффициент начальной концентрации нагрузки, выбирается в зависимости от :

 Þ K= 1,26.

При непостоянной нагрузке KHb = (1-х)∙ K + х

х =

х =10-4∙2,2+0,4∙1+0,4∙0,6+0,2∙0,3=0,7

KHb = (1-0,7) ∙1,26+0,7= 1,08.

Определяем KHV (коэффициент динамичности) в зависимости от V (окружной скорости).


V =7,1 м/с.

Принимаем 8-ю степень точности по рекомендации (тихоходные передачи машин низкой точности). Находим:

KHV = 1,22.

KH = 1,08·1,22 = 1,3.

sH =494,8 МПа.

sH = 494,8 < [sH]min = 578 МПа.

Недогрузка передачи составляет


DsH =14 % >[DsH]=(12…15)%, что указывает на отсутствие возможности уменьшения габаритов передачи и целесообразные геометрические размеры зубчатой передачи.

Проверка передачи на изгибную выносливость:


(условие работоспособности на изгиб для прямозубых колёс).

С достаточной степенью точности можно считать, что KFb = KHb, а KFV = KHV.

YF (коэффициент формы зуба) находим в зависимости от числа зубьев рассчитываемого колеса z и коэффициента смещения режущего инструмента x (x1 = x2 = 0) :

YF1 = 4,07; YF2 = 3,61.

На изгибную выносливость проверяются зубья того колеса, для которого отношение  минимально:


Следовательно, на изгибную прочность проверяем зубья колеса:

sF2 =26 МПа.

sF2 = 26 МПа < [sF]1 = 260 МПа.

Проверяем передачу на прочность зубьев при пиковых (кратковременных) перегрузках:

sH =370 МПа, , =1540 МПа

sH max =550 МПа < [sH]max = 1540 МПа.

Следовательно, контактная пластическая деформация зубьев (бринеллирование) будет отсутствовать:

sF max =816 < [sF]max = 900 МПа.

Следовательно, объёмная пластическая деформация будет отсутствовать.

Геометрические характеристики зацепления.

Определяются только те геометрические характеристики, которые необходимы при вычерчивании зубчатого зацепления передачи и рабочих чертежей зубчатых колёс.

Расчёт геометрических размеров передачи внешнего зацепления производится по ГОСТ 16532-70.

Некоторые размеры и параметры передачи уже определены:

mn = 1 мм; aw = 80 мм; b1 = 25 мм; b2 = 30 мм; d1 = 68 мм; d2 = 92 мм; u = 1,35.

Диаметры окружностей выступов:

da1 = d1+2·(h+x1)· mn; da2 = d2+2·(h+x2)· mn.

h= 1 (коэффициент высоты головки зуба исходного контура).