ных нанотрубок в полимерной матрице. Таким образом, задача создания методов распределения углеродных нанотрубок в полимерных материалах, обеспечивающих высокую теплопроводность получаемых композитов, в настоящее время остается актуальной.
Наличие углеродных нанотрубок в жидкости при ее сдвиговом течении вызывает более существенный рост теплопроводности, что может быть использовано при интенсификации процессов теплообмена в различных теплообменных аппаратах.
Литература к главе 5
1.Кабаяси, Н. Введение в нанотехнологию / Н. Кабаяси. – М. : БИНОМ Лаборатория знаний, 2007. – 134 с.
2.Головин, Ю.И. Введение в нанотехнику / Ю.В. Головин. – М. : Машиностроение, 2007. – 496 с.
3.Раков, Э.Г. Нанотрубки и фуллерены : учебное пособие / Э.Г. Раков. – М. : Логос, 2006. – 376 с.
4.Вайнштейн, Б.К. Дифракция рентгеновских лучей на цепных молекулах / Б.К. Вайнштейн. – М. : АН СССР, 1963. – 372 с.
5.Определение размеров кристаллов в высококристаллическом ориентированном полиэтилене / Ю.А. Зубов, В.И. Селихова, В.С.
Ширец, А.Н. Озерин // Высокомолекулярные соединения. – 1974. – Т. 16. – С. 1681 – 1688.
6.Мартынов, М.А. Рентгенография полимеров / М.А. Мартынов, К.А. Вылегжанина. – Л. : Химия, 1972. – 96 с.
7.Елецкий, А.В. Углеродные нанотрубки и их эмиссионные свойства / А.В. Елецкий // Успехи физических наук. − 2002. − Т. 172, №
4.− С. 401 – 438.
8.Кортов, В.С. Экзоэмиссионный контроль поверхности деталей после обработки / В.С. Кортов, А.И. Слесарев, В.В. Рогов. – Киев :
Наук. думка, 1986. − 176 с.
9.Слесарев, А.И. Аппаратно-программное обеспечение термостимулированных измерений для экзоэмиссионного дефектоскопа / А.И. Слесарев // Вестник УГТУ-УПИ. – Екатеринбург, 2006. − Вып. 5(76). − С. 174 – 179.
10.Некоторые свойства твердотельных фрактальных структур углеродных нановолокон / И.В. Золотухин, И.М. Голев, А.Е. Маркова,
Ю.В. Панин, Ю.В. Соколов, А.Г. Ткачев, В.Л. Негров // Письма в журнал технической физики. – 2006. – Т. 32, вып. 5. – С. 28 – 32.
11.Some properties of solid fractal structures in carbon nanofibers / I.V. Zolotukhin, I.M. Golev, A.E. Markova, Yu.V. Panin, Yu.V. Sokolov, A.G. Tka-chev, V.L. Negrov // Technical physics letters. – 2006. – Vol. 32, N 3. – P. 199–200.
12.Определение размера частиц углеродных наноструктурированных материалов, полученных пиролизом пропан-бутановой смеси на металлическом катализаторе / А.И. Букатин, Ю.А. Ферапонтов, М.А. Ульчнова, И.Н. Шубин, А.Г. Ткачев // Вестник Тамбовского госу-
дарственного технического университета. – 2007. – Т. 13, № 1А. – С. 94 – 100.
13. Слуцкер, Е.М. Адсорбционные свойства наноструктурированных углеродных материалов фуллероидного типа : дис. … канд.
хим. наук : 02.00.21 / Е.М. Слуцкер ; РГБ ОД 61:05-2/677. – СПб., 2005. – 118 c.
14.Меметов, Н.Р. Конструкция и методика расчета реактора для получения углеродных наноструктурных материалов в виброожиженном слое : дис. … канд. техн. наук : 05.02.13 / Н.Р. Меметов. – Тамбов, 2006. – 146 с.
15.Черемской, П.Г. Методы исследования пористости твердых тел / П.Г. Черемской. – М. : Энергоатомиздат, 1985. – 112 с.
16.Кадлец, О. Адсорбенты, их получение, свойства и применение / О. Кадлец, М.М. Дубинин. – Л. : Наука, 1985. – 158 с.
17.Ильинский, Г.А. Определение плотности минералов / Г.А. Ильинский. – Л. : Недра, 1975. – 190 с.
18.Кивилис, С.С. Плотномеры / С.С. Кивилис. – М. : Энергоиздат, 1980. – 279 с.
19.Пыль промышленная. Лабораторные методы исследования физико-химических свойств : копия отчета о НИР / СФ НИИОГАЗ ;
ВНТИЦ. – Тамбов, 1986. – 134 с.
20.Технология катализаторов / под ред. И.П. Мухленова. – Л. : Химия, 1979. – 310 с.
21.Булатов, М.И. Практическое руководство по фотоколориметрическим и спектрофотометрическим методам анализа / М.И. Булатов, И.Л. Калинкин. – Л. : Химия, 1968. – 125 с.
22.Пономарев, С.В. Теоретические и практические аспекты теплофизических измерений : в 2 кн. / С.В. Пономарев, С.В. Мищенко, А.Г. Дивин. – Тамбов : Изд-во Тамб. гос. техн. ун-та, 2006. – Кн. 2. – 216 с.
23.Метод и измерительное устройство для исследования теплофизических характеристик жидких полимерных материалов при сдвиговом течении / С.В. Мищенко, С.В. Пономарев, А.Г. Дивин, Г.В. Мозгова, С.В. Ходилин // Вестник Тамбовского государственного технического университета, 2005. – Т. 11, № 1А. – С. 14 – 22.
Гл а в а 6
ОБЛАСТИ ПРИМЕНЕНИЯ УНМ " ТАУНИТ"
6.1. Полимерные композиционные материалы (ПКМ) с применением методов твердофазной экструзии (ТФЭ)
Исследовались ПКМ конструкционного назначения на основе сополимера акрилонитрила, бутадиена и стирола (АБСсополимер) и сверхвысокомолекулярного полиэтилена (СВМПЭ), модифицированных УНМ "Таунит" с использованием ТФЭ.
ТФЭ – новый и перспективный технологический метод переработки широкого класса материалов, в том числе полиме-
ров.
Твердофазное формование ведется в температурном интервале, заключенном между комнатной температурой и температурой стеклования (Tc) для аморфных полимеров или плавления (Tпл) для кристаллизующихся [1, 2]. Применение ТФЭ по сравнению, например, с литьевой технологией позволяет получить повышенные показатели по усадке, текучести и другим реологическим характеристикам; прочности, теплостойкости, уровню внутренних остаточных напряжений и размерной стабильности.
Выбор в качестве полимерных матриц АБС-сополимера (ГОСТ 12851–87) и СВМПЭ (ТУ 6-05-1896–80) объясняется их изначально высокими прочностными, в частности, ударными характеристиками, важными для конструкционных ПКМ.
Совмещение УНМ "Таунит" с гранулированным АБС-сополимером проводили обработкой в шаровой мельнице, экрудированием, измельчением прутка в роторной дробилке. Порошкообразный СВМПЭ смешивали с УНМ в шаровой мельнице, а затем таблетировали горячим прессованием.
Плунжерную ТФЭ осуществляли в экспериментальной установке (рис. 6.1) типа капиллярного вискозиметра с загрузочной камерой диаметром 0,005 м и набором сменных фильер.
Для определения внутренних ориентационных напряжений в экструдатах, полученных твердофазной экструзией полимерных композиций, использовали метод построения диаграмм изометрического нагрева (ДИН). Исследования проводили на специально разработанной экспериментальной установке, принципиальная схема которой изображена на рис. 6.2.
1 |
2 |
|
3
4
D
5
d
6
4
3
|
|
|
АЦП |
|
|
|
|
|
|
|
|
|
|
|
Е-270 |
|
ПЭВМ |
|
2 |
|
Е – 270 |
|
|
|
|
|
|
|
|
|
|
|
|
|
|
5
6
7
8
РПИБ-2Т 





9
1
Рис. 6.1. Экспериментальная ячейка для прямого прессового выдавливания термопластов (малая ячейка):
1 – заготовка термопласта; 2 – пуансон; 3 – термопара; 4 – нагреватель; 5 – матрица; 6 – фильера; D – диаметр ячейки; d – диаметр капилляра фильеры
Рис. 6.2. Установка для определения внутренних ориентационных напряжений в полимерах:
1 – задатчик температуры; 2 – упругий элемент с тензодатчиками; 3 – АЦП Е-270; 4 – ПЭВМ; 5 – тяга; 6 – термопара; 7 – образец; 8 – зажим; 9 – нагреватель
При нагреве ориентированный в режиме твердофазной экструзии образец 1 стремится сократить свою длину вследствие усадки. Упругий чувствительный элемент 4, соединенный с образцом, препятствует этому. Возникающие усилия воспринимаются тензодатчиками, наклеенными на упругий элемент. Для регистрации сигнала использовали аналогово-цифровой преобразователь (АЦП) марки Е-270, который позволяет преобразовать входной аналоговый сигнал, поступающий с тензодатчиков и термопары, в цифровой для дальнейшей обработки его на ПЭВМ с помощью программы PowerGraph.
Установка снабжена термокамерой 5 для нагрева образца со скоростью подъема температуры 1,5…2,0 °С/мин при помощи задатчика температурного режима 9 РПИБ-2Т. Перед экспериментом уп-
ругий элемент тарировали грузами известного веса. Напряжение, возникающее в образце при отжиге, определяли путем деления регистрируемого
Рис. 6.3. Диаграммы изотермического нагрева образцов из АБС (1) и полимерной системы АБС + 0,3 мас. частей УНМ (2), экструдированных при λэкс = 2,07 и температуре Tэкс = 295 К: Ттп – деформационная теплостойкость
усилия на площадь поперечного сечения образца. При каждом фиксированном значении температуры в камере, которую проверяли при помощи контролирующей термопары 6, рассчитывали напряжение в образце и строили диаграмму изометрического нагрева σ = f (T).
Полученные результаты, представленные на рис. 6.3, показывают, что введение даже малых (0,3 %) добавок УНМ "Таунит" способствует формированию структуры полимера с повышенной теплостойкостью и низким уровнем внутренних напряжений σ.
Аналогичные зависимости получены при построении диаграмм изометрического нагрева (ДИН) для СВМПЭ.
Прочность при напряжениях среза исходных и полученных в режиме ТФЭ экструдатов полимерных сплавов и композитов определяли на разрывной машине ЦМГИ-250 при помощи специального приспособления "вилка". Температура испытания 293 К. Испытывали исходные образцы диаметром 5×10–3 м и полученные твердофазной экструзией диаметром 4,1×10–3 м. Срез проводили в направлении, перпендикулярном оси ориентации. Скорость перемещения зажимов составляла 0,83×10–3 м/с. Каждую экспериментальную точку рассчитывали по данным испытания пяти образцов.
Как следует из рис. 6.4, наблюдается существенный в 1,5 – 2 раза рост прочности в условиях среза при использовании СВМПЭ + УНМ-композиции при ТФЭ и повышенной температуре.
Рис. 6.4. Диаграмма изменения прочности в условиях среза τср СВМПЭ + УНМ-композиции, полученной горячим прессованием (1)
и ТФЭ при λэкс = 2,07, Tэкс = 22 °С (2) и Tэкс = 90 °С (3)
Рентгенографические исследования различных образцов сверхмолекулярного полиэтилена с различным про-
центным содержанием добавок УНМ "Таунит". Cверхвысокомолекулярный полиэтилен (СВМПЭ) – относительно новый полимерный материал, обладающий набором качественно новых свойств, обеспечиваемых его высокой молекулярной массой (от 1 до 20 млн. углеродных единиц). СВМПЭ, обладая коэффициентом трения, равным таковому для фторопласта и износостойкостью выше, чем у последнего, в настоящее время рассматривается большинством переработчиков пластмасс как один из основных конструкционных материалов для машиностроения. Однако в отличие от большинства пластополимеров он обладает низкой текучестью, что существенно ограничивает технологические подходы к формированию изделий их него. Несмотря на это, возможность получения изделий и покрытий, обладающих уникальными свойствами прочности и износостойкости, заставляет искать новые подходы как к методам изготовления, что, в свою очередь, связано с изучением процессов структурообразования полимеров, так и методам создания композиционных материалов. В последнем случае актуальной представляется разработка научных основ взаимодействия макромолекул полимера с наноструктурным наполнителем, армирование его нановолокнами, реакционного взаимодействия в системе "полимер– наполнитель– подложка", а также методы оптимизации всех его эксплуатационных характеристик.
Исследования методом рентгеноструктурного анализа (РСА) образцов высокомолекулярного полиэтилена (СВМПЭ) c различным процентным содержанием УНМ "Таунит", полученного в рамках работы, выполненной в ТГТУ под руководством Г.С. Баронина, показали, что увеличение количества добавок в основном отражается на параметрах аморфной фазы СВМПЭ и в меньшей степени на кристаллической полимерной фазе, подобно тому как это происходило с введением добавок
TiC и TiB2 .
Изменения в кристаллической фазе СВМПЭ (рис. 6.5) отражаются в несущественном расширении кристаллической решетки на d = 0,001 нм, при этом полуширина кристаллических рефлексов практически не изменяется, что говорит о том, что размеры кристаллитов и параметры кристаллической составляющей полимера остаются практически неизменными.
С другой стороны, введение добавок в полимерную матрицу в большей степени отражается на изменении рентгеновских параметров аморфной фазовой компоненты. Угловое положение аморфного гало (рис. 6.6) показывает, что даже небольшой процент добавок увеличива-
I,
отн. ед.
2θ, град
0
, град 0
0,70
0
а)
2 |
|
4 |
|
6 |
|
|
|
|
|
б)
2 |
|
4 |
|
6 |
|
|
|
|
|
в)
2 |
|
4 |
|
6 |
|
|
|
|
|
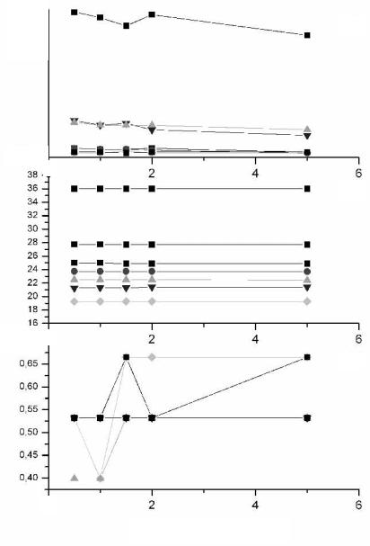
Процент содержания УНМ
Рис. 6.5. Зависимости интенсивности (а), углового положения (б), полуширины (в) основных кристаллических максимумов от процентного содержания УНМ
ет среднее межмолекулярное расстояние в некристаллической фазе на 0,002 нм, что выше изменений в кристаллической фазе. При этом полуширина диффузного максимума также реагирует на введенные добавки УНМ. Введение добавок несколько увеличивает полуширину аморфного гало при малом процентном содержании УНМ компоненты (до ~ 2 %), что говорит о большем возрастании неоднородности аморфной фазы (степень упорядоченности аморфной компоненты уменьшается, что обусловлено непосредственным влиянием добавок).