file:///G:/ответы/ангем тема1.html
Ответ: 
Вопрос: Эксцентриситет гиперболы
равен…
Ответ: 
Вопрос: Эллипс касается оси ординат в начале координат, его центр находится в точке 
, а эксцентриситетравен
. Составитьуравнение эллипса, если его фокусы лежат на оси абсцисс.
Ответ: 
Вопрос: Определитель
равен…
Ответ: 
Вопрос: Значение выражения
, где
и
– решения системы
равно…
Ответ: 8
Вопрос: Решением матрицы
, где
, является:
Ответ:
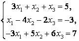
Вопрос: Пусть в системе 
, где с – произвольная постоянная.
Тогда
равно…
Ответ: 
Вопрос: Найдите координаты фокусов гиперболы
.
Ответ: 
Стр. 21 из 37 |
11.10.2010 21:17 |
file:///G:/ответы/ангем тема1.html
Вопрос: Система
является…
Ответ: совместной и неопределенной с общим решением
, 
Вопрос: Элемент
матрицы
равен…
Ответ: 
Вопрос: Основанием перпендикуляра, опущенного из точки
на прямую
, является точка с координатами…
Ответ: 
Вопрос: Угол между прямой
и положительным направлением оси
равен…
Ответ: 
Вопрос: Найдите эксцентриситет гиперболы, если ее асимптоты взаимно перпендикулярны.
Ответ: 
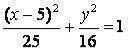
Вопрос: Расстояние между фокусами эллипса
равно…
Ответ: 2
Вопрос: Определитель
равен…
Ответ: 36
Вопрос: Найти все прямые, проходящие через точку
под углом
к прямой
.
Ответ: 
Вопрос: Центр квадрата, две стороны которого лежатна прямых
и
, принадлежит прямой…
Стр. 22 из 37 |
11.10.2010 21:17 |
file:///G:/ответы/ангем тема1.html
Ответ: 
Вопрос: Определитель
равен…
Ответ: 3
Вопрос: Асимптотами гиперболы
являются прямые…
Ответ:
и 
Вопрос: Если матрицу умножитьна
, алгебраические дополнения элементов матрицы
размера
...
Ответ: не изменятся
Вопрос: Фокусы эллипса
расположены в точках с координатами…
Ответ: 
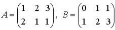
Вопрос: Произведение матриц |
равно… |
Ответ: 
Вопрос: Эксцентриситет гиперболы можетпринимать значения…
Ответ: большие единицы
Вопрос: Пусть
– квадратные невырожденные матрицы, такие, что
,
где
– единичная матрица того же размера. Тогда справедливы равенства…
Ответ: 
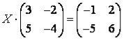
Вопрос: В матричном уравнении
элемент
искомой матрицы равен…
Ответ: это уравнение не имеет решений
Стр. 23 из 37 |
11.10.2010 21:17 |
file:///G:/ответы/ангем тема1.html
Вопрос: Определитель
равен:
Ответ: –138
Вопрос: Длина медианы
треугольника
, где
, равна…
Ответ: 5
Вопрос: Расстояние от точки
до прямой
равно…
Ответ: 1
Вопрос: Определитель равен…
Ответ: 
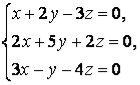
Вопрос: В системе
главный определитель
и значение
равны …
Ответ: 
Вопрос: Имеет ли однородная система
нетривиальное решение?
Ответ: не имеет
Вопрос: Определитель
равен…
Ответ:
Вопрос: В матричном уравнении
элемент
искомой матрицы равен…
Ответ: 
Стр. 24 из 37 |
11.10.2010 21:17 |
file:///G:/ответы/ангем тема1.html
Вопрос: Расстояние от точки, лежащей на эллипсе , до директрисы равно 5. Тогда расстояние от этой точки до фокуса эллипса, одностороннего с данной директрисой, равно…
Ответ: 4
Вопрос: Определитель
равен…
Ответ: 
Вопрос: Уравнением параболы с фокусом
и вершиной
является…
Ответ: 
Вопрос: Определитель
равен…
Ответ: 
Вопрос: Среди перечисленных ниже пар прямых параллельными являются…
Ответ: 
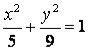
Вопрос: Расстояние между директрисами эллипса
равно…
Ответ: 9
Вопрос: Минор
определителя
равен:
Ответ: 5
Вопрос: Уравнения биссектрис углов, образованных прямыми
и
, имеют вид…
Ответ:
Вопрос: Координаты точки, равноудаленной от точек
и
и лежащей на оси абсцисс, равны…
Ответ: 
Стр. 25 из 37 |
11.10.2010 21:17 |